99184a99d9ef3242f713fa07b6537470.ppt
- Количество слайдов: 54
ЗАПОРОЖСКИЙ ГОСУДАРСТВЕННЫЙ МЕДИЦИНСКИЙ УНИВЕРСИТЕТ Кафедра клинической лабораторной диагностики КЛИНИЧЕСКАЯ БИОХИМИЯ ВИТАМИНОВ кандидат медицинских наук, доцент Беленький Сергей Андреевич ЗАПОРОЖЬЕ 2016
УЧЕБНЫЕ ВОПРОСЫ 1. Общая характеристика и история изучения витаминов. 2. Биологическая роль и биохимические аспекты действия основных витаминов. 3. Нарушение переваривания основных нутриентов в ЖКТ.
«Витамины проявляют себя не своим присутствием, а своим отсутствием» В. А. Энгельгардт
Витамины – это незаменимые минорные компоненты пищи (микронутриенты), не обладающие пластическими и энергетическими функциями, но участвующие в регуляции многих биохимических и физиологических процессов и, вследствие этого, необходимые для поддержания жизненно важных функций организма.
Большинство витаминов не образуется в организме человека вообще или образуется в недостаточном количестве. Источники витаминов у человека пища и кишечные бактерии. Только витамины А и D могут синтезироваться в организме человека, но и для их «производства» необходимы так называемые провитамины.
Витамины играют важнейшую роль в обеспечении всех видов обмена веществ: Ø являясь коферментами разнообразных ферментов (водорастворимые витамины); Ø обладая детоксикационными и антиоксидантными свойствами; Ø выступая посредниками в реали -зации сигналов биологически активных веществ (жирорастворимые витамины).
В 12 С К В 9 В 2 РР ТГФК В 2 В 6 РР В 1 В 2 пантотенат В 1 В 2 карнитин
СУБСТРАТ КОНЕЧНЫЙ ПРОДУКТ ВИТАМИНКОФЕРМЕНТ ДРУГИЕ ЭНЗИМЫ ПЕРВИЧНЫЙ ПРОДУКТ ПОБОЧНЫЕ ПРОДУКТЫ Ко. Е 2 Ко. Е 4 ПРОДУКТ 3 Ко. Е 3 ПРОДУКТ 2
Господствующая теория в ХІХ веке (Рубнер, Фойт, Петтенкофер) – пищевая ценность продуктов питания определяется содержанием в них белков, жиров, углеводов, минеральных солей и воды. Многовековые наблюдения несомненно указывали на существование ряда специфических заболеваний каким-то образом непосредственно связанных с дефектами питания, даже если последнее полностью отвечало указанным выше требованиям (цинга, бери-бери, пелла- гра, рахит, куриная слепота и др. ).
ИСТОРИЯ ИЗУЧЕНИЯ ВИТАМИНОВ Важность некоторых видов еды для предотвращения определённых болезней была известна с глубокой древности. Древние египтяне знали, что печень помогает от куриной слепоты. Гиппократ для лечения кровавого илеоса рекомендовал сок огурцов и мед. В 1330 году в Пекине главный императорский лекарь Ху Сыхуэй опубликовал трёхтомный труд «Важные принципы пищи и напитков» ( «Иньшань-чжэнъяо» )
ИСТОРИЯ ИЗУЧЕНИЯ ВИТАМИНОВ Цинга (скорбут, староголл. scorbec – язвы во рту) – многовековая неизменная спутница войн, эпидемий и голода. Описание цинги Гиппократом: „Изо рта скверно пахнет; дёсны отделяются от зубов; из ноздрей вытекает кровь. Иногда на ногах развиваются язвы; одни заживают, другие появляются. Цвет чёрен. Кожа истончается. Больной не расположен ни ходить, ни трудиться“
ИСТОРИЯ ИЗУЧЕНИЯ ВИТАМИНОВ В эпоху больших географических открытий от цинги моряков погибало намного больше, чем в сражениях и при кораблекрушениях !!! Из-за её широкого сведения о цинге Первые достоверные распространения врачи массовом заболеванииотносили к как о очень долго цингу – времена инфекционным заболеваниям, хотя крестовых походов и длительных осад возбудителя выделить не могли. крепостей (XIII век). С 1556 по 1857 г. г. в Европе зафиксировано 114 эпидемий цинги !
ИСТОРИЯ ИЗУЧЕНИЯ ВИТАМИНОВ В 1753 году основатель морской гигиены и предупредительной медицины в Англии Джеймс Линд опубликовал трактат «Лечение цинги» , в котором указал на полезность использования цитрусовых плодов и свежих овощей для ее предотвращения и лечения.
ИСТОРИЯ ИЗУЧЕНИЯ ВИТАМИНОВ В 1768 -78 г. г. Джеймс Кук на практике доказал роль растительной пищи в предотвращении цинги, введя в корабельный рацион кислую капусту
УЧЁНЫЕ – ИССЛЕДОВАТЕЛИ ВИТАМИНОВ Николай ЛУНИН – российский врач-педиатр. Впервые в своей диссертационной работе (1880) показал, что, кроме белков, жиров, углеводов, солей и воды, для нормального развития и жизни животных необходимы ещё особые неизвестные в то время вещества.
УЧЁНЫЕ – ИССЛЕДОВАТЕЛИ ВИТАМИНОВ В 1889 году голландский врач Христиан Эйкман в Нидерландской Индии обнаружил, что куры при питании варёным белым рисом заболевают бери, а при добавлении в пищу рисовых отрубей – излечиваются.
УЧЁНЫЕ – ИССЛЕДОВАТЕЛИ ВИТАМИНОВ В 1906 году английский биохимик Фредерик Гоуленд Хопкинс предположил, что помимо белков, жиров, углеводов и т. п. пища содержит ещё какие -то вещества, необхо-димые для человеческого организма, которые он назвал «accessory factors» .
УЧЁНЫЕ – ИССЛЕДОВАТЕЛИ ВИТАМИНОВ Казимеж ФУНК – польский Впервые выделил (1912) из рисовых отрубей вещество, излечивающее от бери-бери. Ввел термины «витамин» ( «vitamine» ) и «авитаминоз» . Показал, что витамины входят в состав многих ферментов. Предложил методы лечения и профилактики авитаминозов биохимик.
УЧЁНЫЕ – ИССЛЕДОВАТЕЛИ ВИТАМИНОВ Большая заслуга Функа состоит также в том, что он обобщил данные по таким болезням, как бери-бери, цинга, пеллагра и рахит, и заявил, что каждая из этих болезней вызывается отсутствием специфического вещества. В июне 1912 г. он написал статью "Этиология болезней недостаточности" (The etiology of the deficiency diseases), а 2 года спустя издал монографию под названием "Витамины» .
ЛАУРЕАТЫ НОБЕЛЕВСКИХ ПРЕМИЙ Адольф ВИНДАУС – немецкий химик и биохимик. 1928, «За изучение свойств и строения витамина D» . Христиан ЭЙКМАН – голландский врач и Фредерик ХОПКИНС – английский биохимик, 1929, «За открытие витаминов, стимулирующих процессы роста» . Пауль КАРРЕР – швейцарский химик и биохимик, 1937, «За исследование каротиноидов и флавинов, а также за изучение витаминов А и В 2» . Альберт СЕНТ-ДЬЁРДЬИ – венгерский врач, 1937, «Исследование процессов биоокисления, связанные с изучением витамина С» .
Уолтер Норман ХОУОРС – английский биохимик, 1937, «За исследования углеводов и витамина С» . Рихард КУН – немецкий химик и биохимик, 1938, «В знак признания проделанной работы по каротиноидам и витаминам» . Карл Петер Хенрик ДАМ – датский биохимик, 1943, «За открытие витамина К» . Эдуард Аделберт ДОЙЗИ – американский биохимик, 1943, «За расшифровку химической структуры витамина К» . Джордж УОЛД – американский биохимик, 1967, «За исследования первичных физиологических и химических зрительных процессов и роль в них изоформ витамина А» .
ХАРАКТЕРИСТИКА ВИТАМИНОВ В настоящее время насчитывается около 80 витаминов и витаминоподобных веществ. В большинстве случаев – это низкомолекулярные органические вещества. Обозначение – заглавные латинские буквы А, В, С, D, Е, F, G, Н, K, L, M(В 9), N, O, P, T, Q, U или буква с индексом А 1, А 2, В 1, В 2, В 3(PP), В 6, D 2, D 3, K 1, K 2, В с, В т , В х
Витамин Названия витамина В 1 Тиамин В 2 Рибофлавин В 3 , (РР) Никотинамид В 4 Холин, В 5 Пантотеновая В 6 Пиридоксин, В 7, (Н) Биотин В 8 Инозит, В 9, В с Фолиевая кислота, витамин М В 10 Пара-аминобензойная В 11 L-карнитин, В 12 Кобаламин, цианокобаламин, метилкобаламин В 13 Оротовая В 14 Тетрагидробиоптерин, аденин кислота, витамин Вх пиридоксаль, пиридоксамин миоинозит, аденозин, кислота, витамин Т, витамин U витамин Н 1 Вт, витамин О кислота Липоевая кислота
КЛАССИФИКАЦИЯ ВИТАМИНОВ 1. По способности растворяться в воде или в жирах: водорастворимые (группа В и Vit С, Р) жирорастворимые (А, D, Е, К). 2. По характеру их специфических функций: витамины-коферменты (В 1, В 2, В 6, РР, К) витамины-прогормоны (D, A) витамины-антиоксиданты (С, Е)
Коферментная форма – В 1 - ТИАМИН - антиневритный тиаминпирофосфат - ТПФ АТФ АМФ B 1 ТПФ тиаминфосфокиназа Биологическая роль – входит в состав: транскетолазы (ПФП окисления глюкозы) пируватдегидрогеназы -кетоглутаратдегидрогеназы декарбоксилазы -кетокислот с разветвленной цепью
Транскетолазные реакции
Пируватдегидрогеназный комплекс ацетил-Ко. А
-кетоглутаратдегидрогеназа декарбоксилаза -кетокислот с разветвленной цепью
Гиповитаминоз: бери-бери поражение пищеварительной, сердечнососудистой и нервной систем
В 2 – РИБОФЛАВИН – витамин роста КОФЕРМЕНТНЫЕ ФОРМЫ – флавинмононуклеотид - ФМН флавинадениндинуклеотид – ФАД в качестве простетических групп входят в Тип катализируемой реакции – окислительно-восстановительные состав флавиновых ферментов
Биологическая роль: кофермент дыхательной цепи (участие в биологическом окислении – перенос Н+ и е-) прямое окисление с участием О 2 (МАО, ксантиноксидаза, оксидазы Dаминокислот, пиридоксиноксидаза; дигидрофолат-, глутатион- и метгемоглобин-редуктазы) Авитаминоз – задержка роста, анемия, дерматит, хейлоз (поражения слизистой губ с вертикальными трещинами), стоматит, глоссит, конъюнктивит, катаракта.
кофермент дыхательной цепи
Прямое окисление с участием О 2 R-CH 2 -NH 2+ Е-ФАД + H 20 -> R-CHO + NH 3+ Е-ФАДН 2 (1) Е-ФАДН 2 +02 -> Е-ФАД + Н 202 (2)
В 3 (РР) - никотиновая кислота, никотинамид, ниацин - антипеллагрический КОФЕРМЕНТНЫЕ ФОРМЫ – никотинамидадениндинуклеотид – НАД+ никотинамидадениндинуклеотидфосфат - НАДФ+
Биологическая роль: коферменты дегидрогеназ (перенос Н+ и е-) НАДФ-Н – донор протонов в реакциях биосинтеза (источник ПФШ) аллостерические регуляторы ряда ферментов Гиповитаминоз – пеллагра: дерматит диаррея деменция
В 6 – пиридоксин – антидерматитный Коферментные формы – пиридоксаль-фосфат пиридоксамин-фосфат
Биологическая роль: кофермент трансаминаз кофермент декарбоксилаз аминокислот участие в трансмембранном переносе аминокислот Гиповитаминоз – пеллагроподобный дерматит, полиневрит; Пиридоксальзависимые энзимопатии
ТРАНС(дез)АМИНИРОВАНИЕ 42
МЕХАНИЗМ ТРАНСАМИНИРОВАНИЯ
ДЕКАРБОКСИЛИРОВАНИЕ Синтез гема 44
Витамин С – аскорбиновая кислота Биологическая роль: окислительное гидроксилирование пролина и лизина (при синтезе коллагена) образование кортикостероидов, катехоламинов, серотонина, карнитина антиоксидант обеспечение всасывания железа
Гиповитаминоз – цинга (скорбут) Scorbec (голланд. ) – язвы во рту Кровоточивость десен, язвы на слизистой рта, расшатываются и выпадают зубы. Точечные и пятнистые кровоизлияния на туловище и конечностях. Кости хрупкие, артралгии. Малокровие, резко снижен иммунитет.
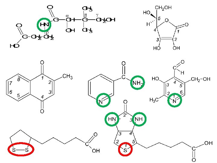
В 5 - ПАНТОТЕНОВАЯ КИСЛОТА Коферментные формы – коэнзим А, 4 -фосфопантетеин Биологическая роль: - активация ацетата и жирных кислот - окисление и синтез ВЖК - синтез холестерина и других стероидов, - синтез кетоновых тел - ацилирование в синтезах гема и ацетилхолина - Окислительгное декарбоксилирование пирувата и -кетоглутарата Всасывание различных веществ в ЖКТ
В 9 или Вс - ФОЛИЕВАЯ КИСЛОТА фактор роста (антианемический) птеридиновый цикл п-аминоглутаминовая бензойная кислота
КОФЕРМЕНТНАЯ ФОРМА тетрагидрофолиевая кислота (ТГФК) ФК + НАДФ-Н 2 = дигидро. ФК + НАДФ+ ДГФК + НАДФ-Н 2= тетрагидро. ФК + НАДФ+ Тип катализируемой реакции – перенос одноуглеродных фрагментов: метил -СН 3 метилен -СН 2 - метенил =СНформил –СНО формамин –СНNН
ФОЛИЕВАЯ КИСЛОТА КОФЕРМЕНТНАЯ ФОРМА фактор роста (антианемический) тетрагидрофолиевая кислота (ТГФК) Биологическая роль: участвует в процессах обмена пуриновых и пиримидиновых нуклеотидов, аминокислот (метионина, серина, глицина) Гиповитаминоз – злокачественные анемии (макроцитарная, Аддисона. Бирмера), тромбоцитопения
В 12 - кобаламин – антианемический Коферментные формы: метил- и дезоксиаденозил-кобаламин
В 12 - кобаламин – антианемический Биологическая роль : - метил-В 12 совместно с ТГФК участвует в реакциях трансметилирования -дезоксиаденозил- В 12 - кофермент метилмалонил. Ко. Амутазы (катализирует превращение метилмалонил. Ко. А в сукцинил-Ко. А) Гиповитаминоз – мегалобластическая анемия, пернициозная анемия (болезнь Аддисона-Бирмера)
ВИТАМИН Н – Биотин – антисеборейный витамин Источник – микрофлора кишечника, продукты растительного и животного происхождения Биологическая роль - в качестве простетической группы входит в состав биотиновых ферментов, катализирующих реакции карбоксилирования и транскарбоксилирования: - биосинтез жирных кислот (ацетил-Ко. Акарбоксилаза) --превращение пирувата в оксалоацетат (пируваткарбоксилаза) -- биосинтез пуриновых нуклеотидов Гиповитаминоз – при нарушении нормальной микрофлоры кишечника (при длительном приеме антибиотиков и сульфаниламидов). В эксперименте на животных при длительном скармливании сырого яичного белка, который содержит белок авидин, препятствующий нормальному всасыванию биотина. Проявляется патологическими изменениями кожи по типу себореи, выпадение волос, поражение ногтей, депрессия
Биотин - витамин Н Коферментная форма - N-карбоксибиотин Входит в состав биотиновых ферментов, связываясь с аминогруппой лизина в активном центре этих ферментов. Кофермент биотина способствует усвоению тканями углекислоты, катализируя реакции двух типов: üреакции карбоксилирования, сопряженные с распадом АТФ например, а) пируваткарбоксилаза пируват оксалоацетат (анаплеротическая - поплняющая реакция ) б) ацетил. Ко. А малонил. Ко. А üреакции транскарбоксилирования - без участия АТФ Таким образом, биотин обеспечивает течение глюконеогенеза, синтеза ВЖК, восполнение ЦТК и др. В яичном белке содержится гликопротеид - аведин, который обпазует специфический нерастворимый комплекс с биотином, который не расщепляется в ЖКТ, что ведет к дефициту биотина.
99184a99d9ef3242f713fa07b6537470.ppt