Скачать презентацию Запишем граничные условия первого рода при x 0 t Скачать презентацию Запишем граничные условия первого рода при x 0 t

тепло-стенка1.ppt

  • Количество слайдов: 27

Запишем граничные условия первого рода: при x=0 t= 1, а при x=δ t= 2. Запишем граничные условия первого рода: при x=0 t= 1, а при x=δ t= 2. Интегрируя , после второго интегрирования:

 • Постоянные С 1 и С 2 находим их граничных условий: • при • Постоянные С 1 и С 2 находим их граничных условий: • при x=0 t= 1, следовательно, С 2= 1, • при x=δ t= 2, 2=С 1·δ+ 1, отсюда.

Подставляя значения С 1 и С 2, получим уравнение распределения температуры по толщине стенки: Подставляя значения С 1 и С 2, получим уравнение распределения температуры по толщине стенки:

 • Для определения плотности теплового потока, проходящего через стенку в направлении оси Оx, • Для определения плотности теплового потока, проходящего через стенку в направлении оси Оx, воспользуемся законом Фурье • Учитывая, что

 • тепловая проводимость стенки - термическое сопротивление • тепловая проводимость стенки - термическое сопротивление

м 2∙К/Вт, или м 2∙о. С/Вт. Термическое сопротивление равно перепаду температур между границами плоского м 2∙К/Вт, или м 2∙о. С/Вт. Термическое сопротивление равно перепаду температур между границами плоского слоя, при котором через этот слой проходит тепловой поток единичной плотности

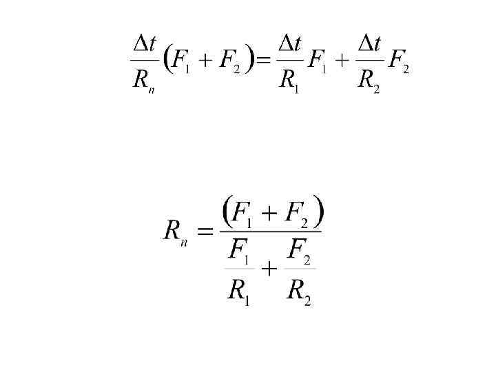
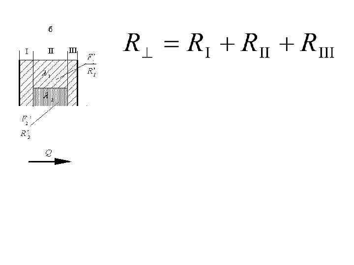
приведенное сопротивление теплопередаче - сопротивление теплопередаче однослойной ограждающей конструкции той же площади, через которую приведенное сопротивление теплопередаче - сопротивление теплопередаче однослойной ограждающей конструкции той же площади, через которую проходит одинаковый с реальной конструкцией поток теплоты при одинаковой разности между температурой внутреннего и наружного воздуха.

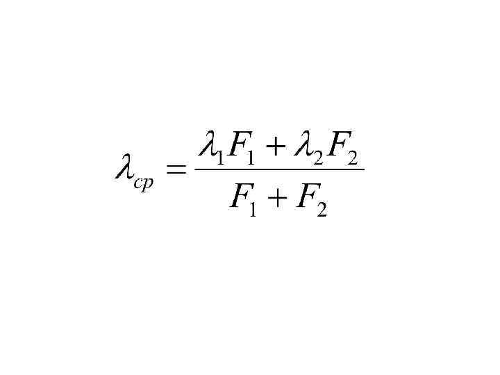
коэффициент теплотехнической однородности коэффициент теплотехнической однородности

коэффициент теплопередачи ограждающей конструкции К, Вт/м 2. о. С Коэффициент теплопередачи ограждения К равен коэффициент теплопередачи ограждающей конструкции К, Вт/м 2. о. С Коэффициент теплопередачи ограждения К равен плотности теплового потока, проходящего через 1 м 2 ограждения, при разности температур сред, которые оно разделяет в 1 о. С.