Задания по РГР.pptx
- Количество слайдов: 14
Задания по теме: «Колебания и волны» для студентов 1 курса г. Улан-Удэ, 2015
Задание: Выполнить расчетно—графическую работу по теме «Гармонические колебания и волны» Цель работы: приобретение устойчивых компетенций по работе с измерениями, вычислениями и построение графиков в Excel на примере изучения темы «Гармонические колебания и волны» .
Во всех разделах физики используются законы, описывающие колебательное движение. Поэтому в данной расчетно – графической работе предлагается подробно решить основные задачи, которые позволяют глубоко понять и освоить понятия и законы, описывающие гармонические колебания. Колебательным движением называется периодический процесс отклонения некоторого тела от положения равновесия. Основным колебательным процессом, который используется для изучения всех колебательных процессов, является гармоническое колебание. Sin(x) Cos(x)
Сила любой природу, величина которой пропорциональна величине смещения от положения равновесия, называется квазиупругой силой. Частным случаем квазиупругой силы является сила упругости, возникающая в пружине, при условии выполнения закона Гука. - собственная циклическая частота колебаний - дифф. уравление гарм. незатух. колебаний
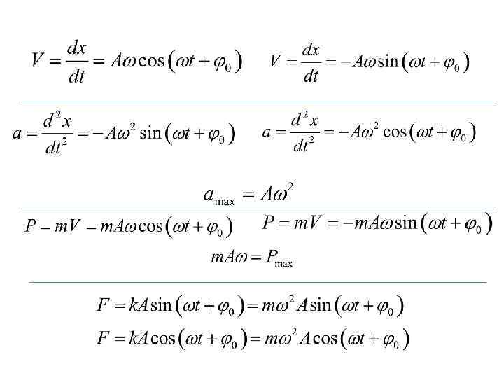
амплитуда фаза колебания циклич. частота начальная фаза
Затухающие колебания. Декремент. Логарифмический декремент. Время релаксации Величина силы сопротивления среды или силы вязкого трения определяется по формуле: Второй закон Ньютона : - дифференциальное уравнение затухающих колебаний.
амплитуда затухающих колебаний в начальный момент времени Уравнение не является уравнением гармонических колебаний, так как амплитуда колебаний уменьшается со временем по закону: Декрементом называется отношение амплитуды колебаний в некоторый момент времени к амплитуде колебаний через время, равное периоду колебаний: (Декремент показывает, во сколько раз изменяется амплитуда колебаний за время, равное периоду колебаний. )
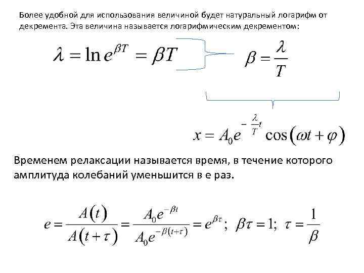
Более удобной для использования величиной будет натуральный логарифм от декремента. Эта величина называется логарифмическим декрементом: Временем релаксации называется время, в течение которого амплитуда колебаний уменьшится в е раз.
Задание. Выполнить только п. 1 Период T принять за 1 секунду. На одном координатном поле построить графики x(t), V(t), a(t), на втором - F(t), на третьем – остальные (по энергиям). Данные для построения графиков выбирать по вариантам на след. слайдах
Таблица. Варианты заданий для решения задачи выбирать согласно двум последним цифрам в зачетке
Задания по РГР.pptx