Скачать презентацию Задача III Краевая задача для уравнения Пуассона для Скачать презентацию Задача III Краевая задача для уравнения Пуассона для

7_Zadacha_III_og_ts_kursov_13.ppt

  • Количество слайдов: 7

Задача III Краевая задача для уравнения Пуассона для ограниченной цилиндрической коробки с зарядом, распределённом Задача III Краевая задача для уравнения Пуассона для ограниченной цилиндрической коробки с зарядом, распределённом в соосном цилиндре Пусть внутри цилиндрической коробки радиуса R находится цилиндр радиуса отделенный от нее вакуумным слоем. В цилиндре распределены заряды с объёмной плотностью - нижнее основание цилиндра. - верхнее основание цилиндра - объёмная плотность заряда. (4. 1) (4. 2)

Будем решать задачу, используя подход I - ряд Фурье-Бесселя (4. 3) (4. 4). Будем Будем решать задачу, используя подход I - ряд Фурье-Бесселя (4. 3) (4. 4). Будем искать решение уравнения Пуассона в виде (4. 6) 2

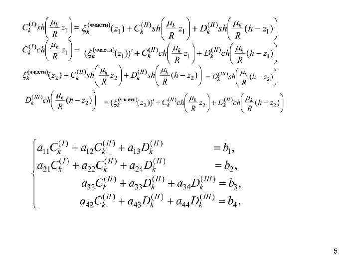
Дифференциальное уравнение для неизвестной функции (4. 7) с граничными условиями (4. 8) Общие решения Дифференциальное уравнение для неизвестной функции (4. 7) с граничными условиями (4. 8) Общие решения для трёх участков. 3

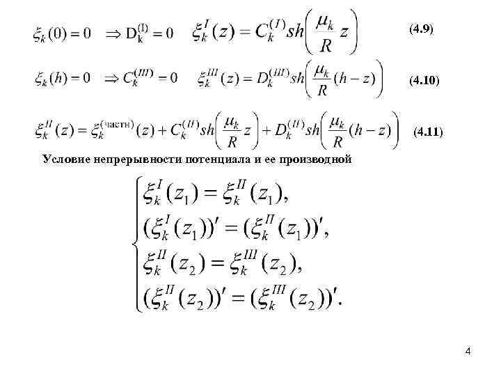
(4. 9) (4. 10) (4. 11) Условие непрерывности потенциала и ее производной 4 (4. 9) (4. 10) (4. 11) Условие непрерывности потенциала и ее производной 4

. 5 . 5

Задача III. Подход II. В этом случае представим функцию рядом Фурье по синусам (5. Задача III. Подход II. В этом случае представим функцию рядом Фурье по синусам (5. 1) -коэффициенты ряда Фурье (5. 2) Будем искать решение задачи III в виде ряда (5. 3) 6

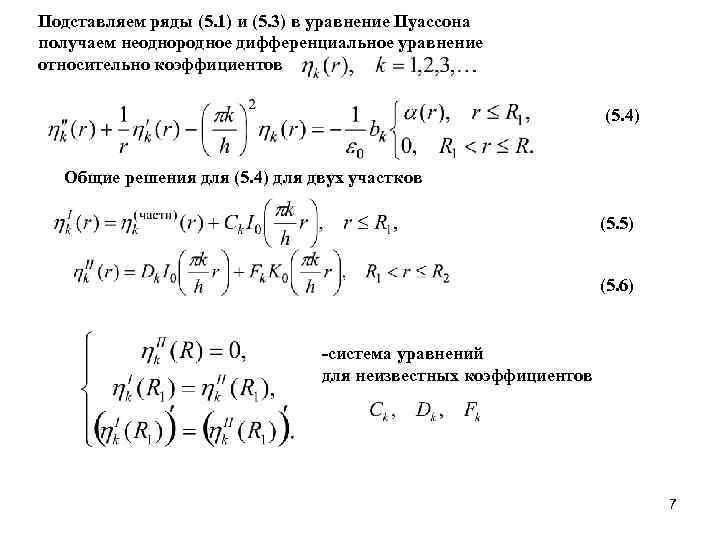
Подставляем ряды (5. 1) и (5. 3) в уравнение Пуассона получаем неоднородное дифференциальное уравнение Подставляем ряды (5. 1) и (5. 3) в уравнение Пуассона получаем неоднородное дифференциальное уравнение относительно коэффициентов (5. 4) Общие решения для (5. 4) для двух участков (5. 5) (5. 6) -система уравнений для неизвестных коэффициентов 7