Яды_рыб_и_амфибий.ppt
- Количество слайдов: 22
ЯДЫ РЫБ
Обыкновенный усач (Вarbus barbus L), довольно крупная рыба, в длину до 85 см и массой 4 кг. Предпочитает глубокие места с каменистым дном. Питается икрой рыб и молодью, но может, выпрыгивая из воды, заглатывать пролетающих насекомых.
Химический состав и механизм действия яда. Ядовитое начало — ципринидин — имеет, по видимому, небелковую природу. Ципринидин экстрагируется из икры метанолом, осаждается ацетоном. Хорошо растворим в воде. Химическая структура не установлена. Температурная обработка лишь частично инактивирует ципринидин. У экспериментальных животных, отравленных ципринидином, наблюдается гипотензия, адинамия, гипотермия, затруднение дыхания. В летальных дозах ципринидин вызывает паралич скелетной и дыхательной мускулатуры. На вскрытии — переполнение кровью внутренних органов.
Картина отравления. Отравление вызывает икра и брюшина. В пределах первого часа после употребления в пищу икры развивается тошнота, рвота, диарея, головная боль и общая слабость, цианоз кожи лица и слизистых. Прогрессирующая адинамия заставляет пострадавшего лечь. Дыхание затруднено. В тяжелых случаях развивается паралич нижних конечностей и диафрагмы. Смерть наступает от остановки дыхания. На вскрытии — застойные явления во внутренних органах. Первая помощь. В основном помощь сводится к удалению остатков пищи из желудка. После того как у больного последует рвота и стул, полезно дать внутрь теплый раствор марганцево кислого калия 1: 100. Лечение симптоматическое. В тяжелых случаях необходима квалифицированная медицинская помощь.
Род – Fugu niphobles
Рыба фугу содержит смертельную дозу тетродотоксина во внутренних органах, в основном в печени и икре, желчном пузыре и коже. Печень и икру рыбы фугу нельзя употреблять в пищу вообще, остальные части тела после тщательной специальной обработки. Яд обратимо (способен метаболизироваться) блокирует натриевые каналы мембран нервных клеток и парализует мышцы и вызывает остановку дыхания. Несмотря на лицензирование работы поваров, готовящих фугу, ежегодно некоторое количество людей, съевших неверно приготовленное блюдо, погибает от отравления. В настоящее время не существует противоядия, единственная возможность спасти отравившегося человека состоит в искусственном поддержании работы дыхательной и кровеносной систем до тех пор, пока не закончится действие яда. В Японии с 2004 по 2009 годы 15 человек погибло, отравившись фугу, и около 120 человек были госпитализированы. [
Характеристика Ядов семейства Амфибии (Amphibia)
Фармакологически активные компоненты яда бесхвостых амфибий представлены биогенными аминами и их дериватами, физио логически активными пептидами (бради и тахикинины, опиоидные пептиды), гемолитическими белками, нейротоксическими алкалои дами (лягушки) и кардиотропными стероидами. Содержание серотонина в коже лягушек зависит от их местообитания. Так, у лягушек, ведущих полусухопутный образ жизни, содержание этого биогенного амина выше, чем у водных форм, что может иметь защитное значение. Жабы рода Bufo, имеющие монотонную окраску, являются сухопутными животными и обладают паротидами, которые могут выбрызгивать свое содержимое при надавливании.
Биогенные амины Этот класс веществ встречается у многих амфибий. Содержание аминов иногда доходит до 100 мг/г кожи, а их качественный состав может быть основой для химической таксономии амфибий. Наиболее типичными являются серотонин и его N метильные дериваты: N метилсеротонин, буфотенин и буфотенидин. Этот тип соединений найден у квакш Hyla, свистунов Leptodactylus, лягушек Rana, жаб Bufo, причем у L. pentadactilus и Н. pearsoniana уровень 5 гидроксииндолэтиламинов может достигать 1— 10 мг/г кожи. Эти соединения найдены Также и у других амфибий: Rhinoderma, Odontopfirynus, Discoglossus, Вот. Ыпа, Xenopus, Pleurodema и др. У жаб наблюдается широкий спектр этих аминов — дегидробуфотенин, его сернокислый эфир буфотионин и др. Галлюциноген 5 метокси N, N диметилтриптамин (буфотенин) содержится в большом количестве в яде Bufo alvarius. Фенольный четвертичный амин — лептодактилин, найден у бесхвостых амфибий Pleurodema Leptodactylus.
Буфотенин
Лептодактилин
Пептиды и белки • Большая группа фармакологически активных пептидов, в том числе брадикинин, физалемин, церулеин и др. , найдены в коже различных лягушек. Некоторые из них в отличие от брадикинина вызывают быстрое сокращение внесосудистой мускулатуры и получили название тахикининов.
Брадикинин Арг Про Гли Фен Сер Про Фен Арг Ранакинин R Арг Про Гли Фен Тре Про Фен Арг Иле Ала Про Глу Иле Вал Филлокинин Арг Про Глн Фен Сер Про Фен Арг Иле Тир (SОз. Н) • Опиоидные пептиды Дерморфин Тир D Ала Фен Гли Тир Про Сер — NН 2
Нейротоксические алкалоиды яда лягушек Батрахотоксин
ВТХ стойко и необратимо повышает проницаемость покоящейся мембраны для ионов натрия. Это повышение натриевой проницаемости связано с появлением модифицированных каналов, которые характеризуются отсутствием инактивации во время депо ляризациимембраны. Кроме того, модифицированные каналы практически полностью открыты при потенциале покоя для интактного волокна. __________________
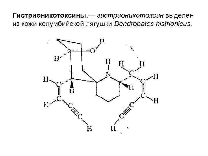
Гистрионикотоксины. — гистрионикотоксин выделен из кожи колумбийской лягушки Dendrobates histrionicus.
Он сравнительно низкотоксичен и в дозе 5 мг/кг вызывает небольшое снижение двигательной активности у мышей. Гистрионикотоксин обратим, блокирует действие ацетилхолина на Н холинорецепторы скелетных мышц позвоночных. __________________
Кардиотоксические стероиды яда жаб (Bufonidae) • Наиболее изучен секрет надлопаточных желез амфибий, относящихся к роду Bufo (жабы). Свежеполученный яд жаб представляет собой вязкую жидкость белого цвета. При высыхании на воздухе он превращается в тонкие пластинки желтовато коричневого цвета и сохраняет физиологическую активность в течение многих лет. Токсичность яда жаб по сравнению с другими амфибиями низка.
В восточной медицине жабий яд издавна применялся с лечебными целями при геморрагиях, язвах, как мочегонное при водянке. Высушенный яд китайской жабы в виде круглых, гладких, темно коричневых чешуек до сих пор применяется в Китае и Японии под названием «Чан су» как лекарственное средство.
Химический состав и механизм действия • Физиологически активные вещества яда жаб по своей химической природе могут быть отнесены к нескольким группам соединений: Первая из них — производные индола (триптамин, серотонин, буфотенин). Буфотенин представляет собой алкалоидоподобное основание — диметильное производное триптамина, а также его четвертичная соль — буфотенидин. • Вторая группа—кардиотоническпе стероиды, которые представлены в яде жаб свободными и связанными генинами (агликонами). По своей химической природе генины жабьего яда — производные циклопентанпергидрофенантрена, имеющие в качестве боковой цепи шестичленное ненасыщенное лактонное кольцо (так называемые буфодиенолиды). •
Буфотоксин
Еще в 1904 г. выдающийся русский фармаколог Н. П. Кравков обратил внимание на дигиталисоподобное действие яда жаб, вызывающих усиление деятельности сердца. • Биостимулирующие свойства позволили успешно применить яд при экспериментальных шоках различной этиологии (пептоновом, ожоговом). Весьма интересным является радиозащитное действие яда жаб, связанное с его стимулирующим влиянием на систему кроветворения. Кроме того, он предотвращает повреждение стенок кровеносных сосудов в острый период лучевой болезни. Положительные результаты были получены при использовании жабьего яда и его препаратов в экспериментальной терапии злокачественных опухолей. • Таким образом, жабий яд является природным источником соединений с выраженными биостимулирующими и антибиотическими свойствами, что позволило уже сегодня в ряде стран освоить выпуск лекарственных препаратов на его основе.
Яды_рыб_и_амфибий.ppt