XVI_Korrektiruyushie_tsepi.ppt
- Количество слайдов: 66
XVI Корректирующие цепи
16. 1 Основные понятия
Любую цепь передачи сигнала принято рассматривать в виде четырехполюсника ЧП В зависимости от строения ЧП сигнал на выходе может претерпевать различные искажения по сравнению с входным.
Данные искажения можно разделить на 2 типа: 1) Линейные искажения Обусловлены наличием в цепях L и С (спектр сигнала на выходе цепи содержит те же гармоники, что и спектр сигнала на входе цепи, но с другими значениями амплитуды и начальной фазы) 2) Нелинейные искажения Обусловлены наличием в цепях НЭ (спектр сигнала на выходе цепи имеет большее число гармоник, чем спектр входного сигнала)
Линейные искажения бывают: 1) Амплитудные (влияют на аудио- и видеоканалы) 2) фазовые(влияют на видеоканалы)
Условие безыскаженной передачи Комплексная передаточная функция неискажающей цепи
Четырехполюсник не вносит амплитудночастотных искажений, если его АЧХ является постоянной, т. е. не зависит от частоты - ослабление сигнала
Четырехполюсник не вносит фазочастотных искажений, если его ФЧХ является линейной функцией Групповое время пробега (ГВП)
Для выполнения условия безыскаженной передачи сигналов в цепях используют корректирующие цепи. Различают: -Амплитудные корректоры АК - Фазовые корректоры ФК -Амплитудно-фазовые корректоры АФК
16. 2 Амплитудные корректоры
Амплитудный корректор (АК) - ЧП постоянного характеристического сопротивления, работающий в режиме согласованного включения. Ослабление, вносимое этим ЧП, дополняет ослабление, вносимое цепью, до постоянной величины в рабочем диапазоне частот. АК включается в разрыв линии связи каскадно, поэтому удобно работать с ослаблением
Требования к АК: 1) Входное сопротивление не зависит от частоты в рабочем диапазоне частот, т. е. 2) Ослабление корректора является изменяющейся величиной, обратной ослаблению искажающей цепи (линии связи)
В основном, используют схему корректора: -хорошее согласование с нагрузкой -сравнительно мало элементов -есть общий провод -возможна передача в обоих направлениях
Основное условие построения АК: - прямое звено корректора - обратное звено корректора
Рассмотрим подробно схему АК, перерисовав ее: уравновешенный мост
Следовательно, узлы 2 и 3 можно либо разорвать, либо закоротить. Найдем входное сопротивление АК, закоротив узлы 2 и 3:
Найдем ослабление корректора, разомкнув узлы 2 и 3.
Выводы: 1) Входное сопротивление АК не зависит от частоты 2) под понимается 2 П RLC 3) Характер ослабления корректора определяется частотной характеристикой 2 П 4) - двухполюсник, обратный 5) Порядок звена определяется количеством реактивных элементов
16. 3 Анализ работы схем корректоров
1) Звено первого порядка
2) Звено второго порядка В прямом звене – параллельный колебательный контур, в обратном – последовательный контур
3) Звенья высокого порядка
Построение схемы корректора по заданной характеристике цепи
16. 4 Синтез АК
Дано: - характеристика ослабления цепи в рабочем диапазоне частот - точность аппроксимации -сопротивление нагрузки в
Этапы синтеза: 1) Определение требуемого ослабления корректора
2) Выбор схемы АК Выбирается схема, которая в заданном диапазоне частот имеет нужный характер частотной зависимости ослабления. Порядок схемы может быть любой, зависит от крутизны ослабления
3) Расчет схемы методом интерполяции 4) Анализ полученных результатов. Если параметры элементов получились отрицательными, то необходимо изменить величину ослабления, или положение точек интерполяции.
5) Проверка точности аппроксимации Необходимо получить равноволновой характер погрешности
Если проверки точности аппроксимации, условие не выполнено, то: - изменить точки интерполяции - увеличить порядок двухполюсника - изменить корректор (каскадное соединение 2 -х четырехполюсников)
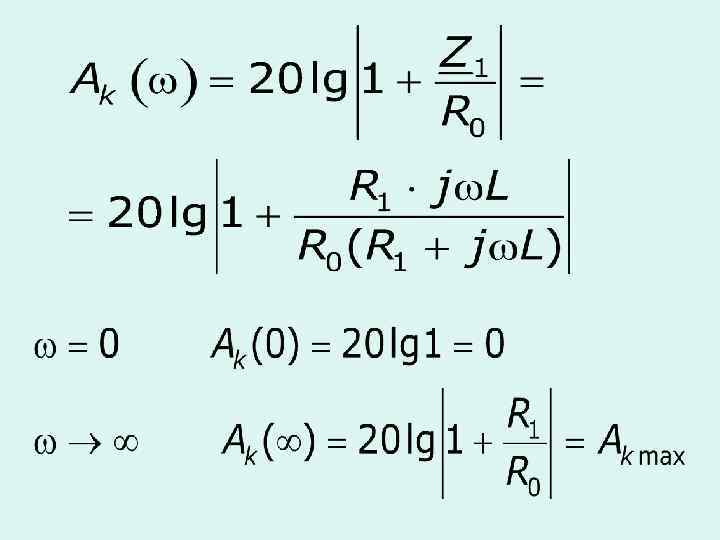
Пример: Задана характеристика ослабления цепи Задаем ослабление А. Определяем
Выбираем корректор первого порядка: Т. к. обратные 2 П, то расчет производится только для - неизвестны
Сопротивление прямого звена найдем из условия: Емкость прямого звена найдем:
Где - сопротивление реактивного элемента прямого звена на частоте А 1 - ослабление корректора на частоте Исходя из условия обратимости, значения элементов обратного плеча определяются:
16. 5 Активные корректоры
Активные корректоры создаются на основе ARC и ARLC цепей. Существует большое разнообразие активных звеньев, эквивалентных пассивным амплитудным корректорам.
ARC-звено второго порядка
Преимущества активных корректоров 1. Число реактивных элементов вдвое меньше 2. Сквозная характеристика ослабления близка к нулю
16. 6 Фазовые корректоры (ФК)
Фазовый корректор – линейный четырехполюсник с частотно-независимыми ослаблением и входным сопротивлением, но с частотно-зависимой фазовой характеристикой.
Основные требования к ФК: - постоянное входное сопротивление - постоянное ослабление ГВП – функция частоты
Мостовая схема ФК
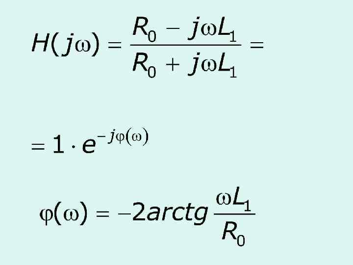
Фазовый корректор 1 -го порядка
Рабочая фаза ФК ГВП ФК
Корректор рассчитывается т. о. , чтобы ГВП ФК компенсировало ГВП цепи до определенного значения Максимальное значение фазы фазового звена 1 -го порядка равно
16. 7 Цифровой корректор
Проблема коррекции искажений просто решается при обработке дискретного сигнала
Пример


