X Нелинейные цепи(ОТЦМРМ2012).ppt
- Количество слайдов: 99
X Нелинейные цепи
10. 1 Нелинейные элементы и их характеристики
Элемент электрической цепи, параметры которого зависят от значения и направления тока, протекающего через элемент, или напряжения, приложенного к элементу, называется нелинейным
НЭ Нелинейные резистивные элементы Нелинейные индуктивности емкости
Нелинейные резистивные элементы 1. Диоды (двухполюсные элементы) а) выпрямительный диод
б) стабилитрон в) туннельный диод
2. Транзисторы (четырехполюсные элементы) Биполярный транзистор
Транзистор характеризуется семейством входных и выходных характеристик Для анализа работы транзистора построим проходную характеристику по заданным входной характеристике и выходным характеристикам
Параметры нелинейных элементов 1. Статическое сопротивление – сопротивление НЭ постоянному току в рабочей точке
р. т. Статическая проводимость
2. Динамическое (дифференциальное) сопротивление – сопротивление нелинейного элемента переменному току малой амплитуды
р. т.
Дифференциальная крутизна
Пример
Особенности нелинейных цепей 1. Не соблюдается принцип взаимности (обратимости) 2. Для нелинейного элемента не выполняется закон Ома
3. Не выполняется принцип суперпозиции Пусть Подадим на вход
4. Можно получить отрицательное сопротивление
5. На выходе цепи появляются дополнительные спектральные составляющие, которых не было во входном сигнале
10. 2 Нелинейные цепи при постоянном воздействии
Графоаналитические методы – ВАХ нелинейного элемента задана таблицей или графиком
1. Последовательное соединение нелинейного и линейного элементов
Нагрузочная прямая Р. Т.
2. Последовательное соединение НЭ
3. Параллельное соединение НЭ
4. Смешанное соединение нелинейных элементов
5. Расчет цепи, содержащей один нелинейный элемент Решение основано на методе эквивалентного генератора.
Р. Т. Остальные токи определяем, применяя законы Кирхгофа
Аналитические методы – ВАХ нелинейного элемента задана аналитически Пример по законам Кирхгофа
10. 3 Нелинейный элемент в цепи переменного тока
Постановка задачи: на вход нелинейного элемента (НЭ) подается сумма напряжений: постоянного и гармонического, т. е. Найти: • закон изменения тока на НЭ • спектр тока
i i р. т. U ωt ωt
ток i(t) - периодическая функция времени, которая может быть представлена рядом Фурье: - постоянная составляющая - гармоники
Спектр тока в НЭ при гармоническом воздействии является дискретным
Аналитические методы вычисления спектра тока через нелинейный элемент основаны на аппроксимации ВАХ Аппроксимация – представление функции, заданной таблично или графически, в аналитическом виде, т. е. в виде формулы
Этапы аппроксимации 1. Выбор класса функций, которыми аппроксимируется характеристика а) степенной полином б) кусочно-линейная (отрезки прямых) в) экспонента г) гиперболический тангенс
2. Определение коэффициентов аппроксимации а) метод интерполяции (метод выбранных точек) б) метод Тейлора в) метод Чебышева г) метод среднеквадратического приближения
10. 4 Полиномиальная аппроксимация
Применяется для точного воспроизведения ВАХ при работе с сигналами малой амплитуды Пусть функция задана графически или таблично Найдем аппроксимирующую функцию
При работе с напряжениями малой амплитуды нет необходимости аппроксимировать всю ВАХ Достаточно выполнить аппроксимацию в окрестностях рабочей точки Степень полинома выбирают по виду рабочего участка
Обычно
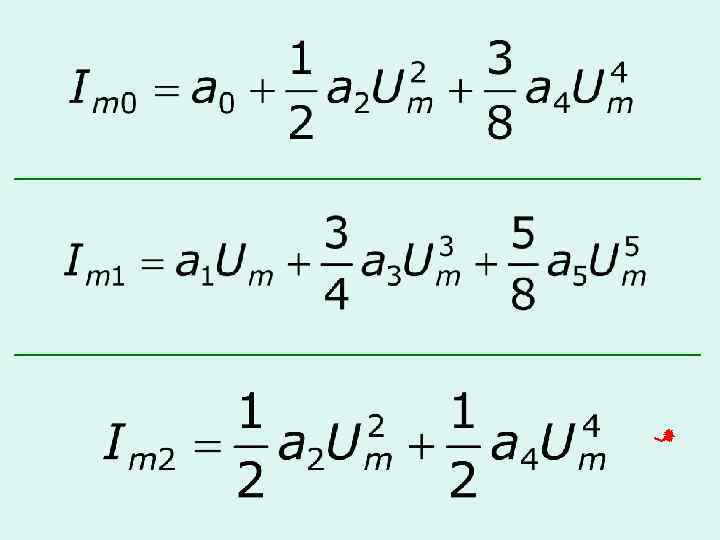
Спектр тока при полиномиальной аппроксимации Пусть ВАХ НЭ выражается полиномом 5 степени
Формулы понижения степени:
Выводы: 1) Нелинейность ВАХ НЭ приводит к искажению формы сигнала и изменению его спектра. 2) Число гармоник тока определяется степенью аппроксимирующего полинома.
3) Постоянная составляющая и четные гармоники определяются четными членами полинома 4) Амплитуды нечетных гармоник зависят от коэффициентов при нечетных степенях
Выбирая при аппроксимации степень полинома, мы тем самым задаем ширину спектра выходного сигнала
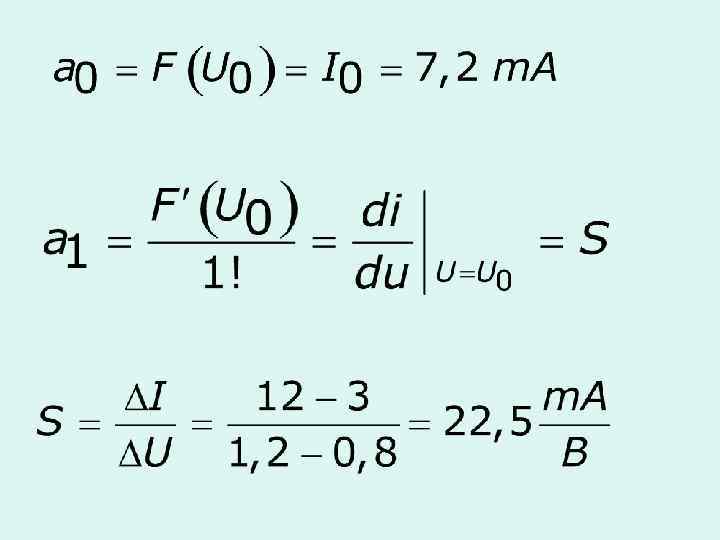
Определение коэффициентов методом интерполяции 1. Выбираем узлы интерполяции 2. Число узлов интерполяции n+1 - на 1 больше степени полинома 3. Функции F(u) и f(u) в узлах интерполяции совпадают
Постановка задачи: Дана ВАХ НЭ: Пример U, B 0 0. 4 0. 6 0. 8 1. 2 I, м. А 0 0. 3 1. 3 3 12
Полином второй степени
Составим систему уравнений:
спектр выходного тока:
Аппроксимация рядом Тейлора
Пример Полином первой степени
спектр выходного тока:
При аппроксимации полиномом первой степени форма выходного тока НЭ повторяет форму входного сигнала
10. 5 Кусочно-линейная аппроксимация
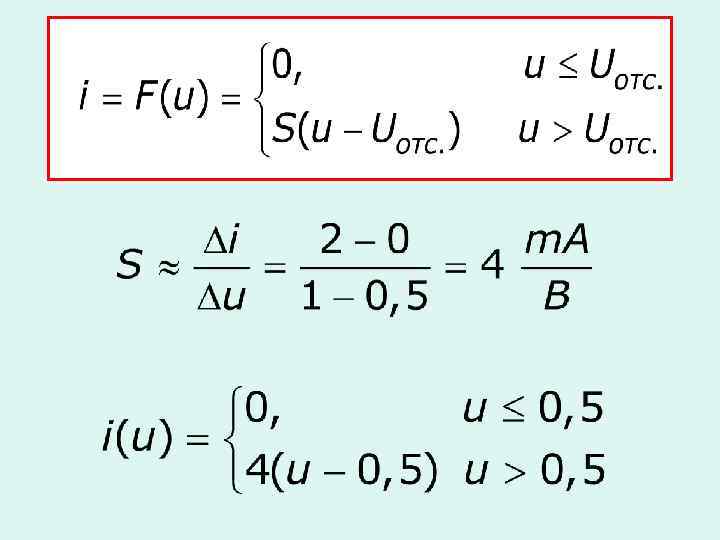
Режим большого сигнала Замена ВАХ отрезками прямых линий, образующих в интервале аппроксимации непрерывную функцию f(x). напряжение отсечки S – крутизна полученной ВАХ в области изменения тока НЭ
Пример U, В 0. 2 ВАХ НЭ: 0. 3 0. 4 0. 5 0. 6 0. 7 0. 8 0. 9 1 I, м. А 0. 05 0. 1 0. 2 0. 4 0. 5 0. 8 1. 2 1. 5 2
Проведем касательную к рабочему участку ВАХ и определим напряжение отсечки:
Спектр выходного тока при кусочно-линейной аппроксимации (метод угла отсечки)
НЭ
Часть полупериода ( в координатах ), в течение которого существует ток в цепи нелинейного элемента, называется углом отсечки Диапазон изменения угла отсечки
Способы изменения угла отсечки Величина угла отсечки не зависит от амплитуды приложенного напряжения
НЭ
С уменьшением амплитуды угол отсечки возрастает
НЭ
С уменьшением амплитуды угол отсечки уменьшается
НЭ
при
Форма тока НЭ имеет вид косинусоидальных периодических импульсов
Ряд Фурье в тригонометрической форме
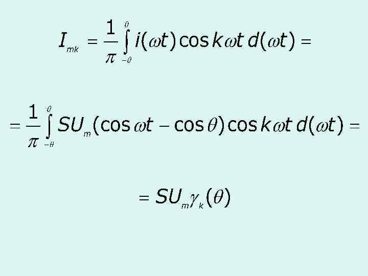
постоянная составляющая спектра тока:
гармоники тока :
- функции Берга.
Расчет γ(θ) ведется в рад.
Чаще всего коэффициенты (функции) Берга представлены либо в графическом виде, либо в виде таблицы:
Оптимальный угол отсечки - позволяет определить угол отсечки для получения максимального значения амплитуды требуемой гармоники k - номер требуемой гармоники
Коэффициенты гармоник: - максимальное значение импульса тока
Амплитуда k-й гармоники тока:
Выводы: 1. При кусочно-линейной аппроксимации число гармонических составляющих реакции бесконечно велико. 2. Чем меньше угол отсечки, тем медленнее убывают амплитуды гармоник.
3. В общем случае амплитуды гармоник нелинейно зависят от амплитуды гармонического воздействия в силу нелинейного характера зависимости угла отсечки от Um
4. В частном случае, когда , амплитуды гармоник прямо пропорциональны амплитуде гармонического воздействия.


