• • • What is energy? What energy is producing in animals? Why do we need energy for living organisms?
The structure and function of ATP. The formation of ATP in the aerobic and anaerobic respiration.
Learning objectives • to know the structure and function of ATP • compare the formation of ATP in the aerobic and anaerobic respiration
Success criteria 1. 2. 3. Know the structure of ATP Describe the function of ATP Explain the process of ATP formation 1. 2. 3. Explain anaerobic and aerobic respiration Expect the formation of ATP in aerobic and anaerobic respiration Compare the productivity of aerobic and anaerobic respiration
Terminology ATP, adenine, ribose, phosphate, adenosine triphosphate, ADP and P, AMP, ATP synthetase, cellular perspiration, aerobic and anaerobic respiration, mitochondria, energy currency
Adenosine Triphos. Phate • Adenosine triphosphate (ATP) is a complex organic chemical that participates in many processes. Found in all forms of life, ATP is often referred to as the "molecular unit of currency" of intracellular energy transfer.
ATP • When consumed in metabolic processes, it converts to either the di- or monophosphates, respectively ADP and AMP. Other processes regenerate ATP such that the human body recycles its own body weight equivalent in ATP each day.
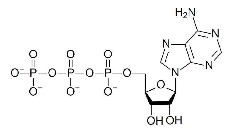
ATP structure ATP consists of an adenine attached by the 9 -nitrogen atom to the 1′ carbon atom of a sugar (ribose), which in turn is attached at the 5′ carbon atom of the sugar to a triphosphate group. In its many reactions related to metabolism, the adenine and sugar groups remain unchanged, but the triphosphate is converted to di- and monophosphate, giving respectively the derivatives ADP and AMP. The three phosphoric groups are referred to as the alpha (α), beta (β), and, for the terminal phosphate, gamma (γ).
The possible functions of ATP • Intracellular signaling • DNA and RNA synthesis • Amino acid activation in protein synthesis • Photosynthesis • Movement • Respiration • Growth • Reproduction
The energy produced during respiration is used in many different ways, some examples of what it is used for are: • Working your muscles • Growth and repair of cells • Building larger molecules from smaller ones i. e. proteins from amino acids • Allowing chemical reactions to take place • Absorbing molecules in active transport • Keeping your body temperature constant • Sending messages along nerves
How energy is release? When a phosphate group is removed from ATP, adenosine diphosphate (ADP) is formed and 30. 5 k. Jmol− 1 of energy is released. Removal of a second phosphate produces adenosine monophosphate (AMP), and 30. 5 k. J mol− 1 of energy is again released. Removal of the last phosphate, leaving adenosine, releases only 14. 2 k. J mol− 1. In the past, the bonds attaching the two outer phosphate groups have been called high-energy bonds, because more energy is released when they are broken than when the last phosphate is removed.
The reactions are all reversible.
ATP synthase • The cell’s energyyielding reactions are linked to ATP synthesis.
ATP, ADP and AMP
ATP The ATP is then used by the cell in all forms of work. ATP is the universal intermediary molecule between energy-yielding and energy-requiring reactions used in a cell, whatever the type of cell. In other words, ATP is the ‘energy currency’ of the cell. The cell ‘trades’ in ATP, rather than making use of a number of different intermediates.
What do you know about aerobic and anaerobic respiration?
Aerobic Respiration • Aerobic means “with air”. This type of respiration needs oxygen for it to occur so it is called aerobic respiration. The word equation for aerobic respiration is
The chemical equation is:
Aerobic Respiration In the above equations we see that glucose is broken down by oxygen to release energy with carbon dioxide and water being produced as by -products of the reaction. Approximately 2900 k. J of energy is released when one mole of glucose is broken down. The released energy is used to make a special energy molecule called Adenosine triphosphate (ATP). ATP is where the energy is stored for use later on by the body.
Anaerobic Respiration Anaerobic means without air (“an” means without). Sometimes there is not enough oxygen around for animals and plants to respire, but they still need energy to survive. Instead they carry out respiration in the absence of oxygen to produce the energy they require this is called anaerobic respiration.
Anaerobic Respiration As you can see anaerobic respiration is not as efficient as aerobic and only a small amount of energy is released. This is because glucose can only be partially broken down. As well as this inefficiency a poisonous chemical, lactic acid is also produced, if this builds up in the body it stops the muscles from working and causes a cramp. To rid the body of lactic acid oxygen is needed, the amount of oxygen required to break down the lactic acid is referred to as the oxygen debt.
Anaerobic Respiration in the plants The oxygen supply to plants can also run out, this happens for example if the soil gets waterlogged. In this case they have to obtain their energy via anaerobic respiration. Below is the word and chemical equation for anaerobic respiration in plants:
Aerobic Respiration C 6 H 12 O 6 + 6 O 2 => 6 CO 2 +6 H 2 O + 38 ATP (Energy)
Anaerobic Respiration C 6 H 12 O 6 => 2 Ethanol + 2 CO 2 + 2 ATP (Energy) C 6 H 12 O 6 => 2 Lactate + 2 ATP (Energy)


