ff981de2b41086286723a1401de6f685.ppt
- Количество слайдов: 34
Waves and Currents in Coronal Active Regions Leon Ofman* Catholic University of America NASA Goddard Space Flight Center *Visiting, Tel Aviv University
Overview • Recent TRACE and Hinode observations show that some coronal loop oscillations are associated with flows and jet (Aschwanden et al 2002; Ofman and Wang 2008). • The multi-stranded structure of loops suggested by the low filling factors in past observations was confirmed in recent high resolution observations. • Linear models of waves in loops developed in the past are limited to straight cylindrical loops, and to linear interaction between the wave modes. • Recently, oscillations of coronal loops were investigated using 3 D MHD model in straight and curved magnetic field geometry (see, the review by Ofman 2009). • The model allow studying nonlinear interactions of the oscillation model in multi-stranded, the effect of realistic geometry, and resistive dissipation.
3 D MHD Equations and Model In this study: using isothermal or polytropic energy equation.
Impact of the wave Vy(x, z, 0)=V 0 0
Current and density J 2 n
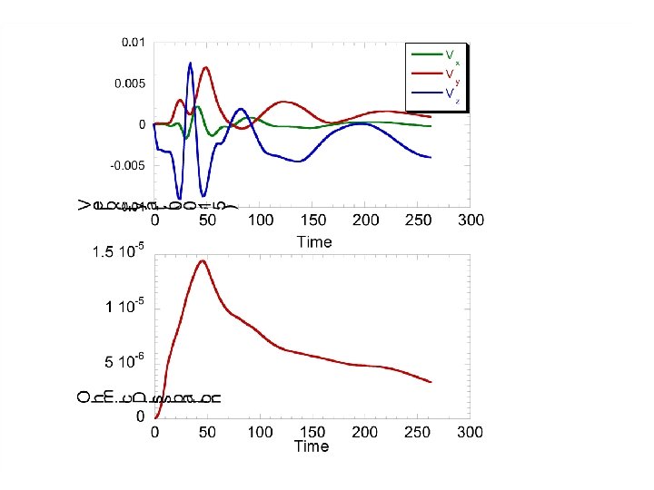
Temporal evolution at a point
CME/EIT wave in quadrature with STEREO (Patsourakos and Vourlidas 2009)
EIT waves animation May 19, 2007 event Schmidt & Ofman 2009
Model results May 19, 2007 event Schmidt & Ofman 2009 Spherical contour plots of plasma velocity Vpar parallel to the solar surface at a heliocentric distance of 1. 2 Rs. The EIT wave shows up as traveling velocity enhancements in Vpar. The identified wave fronts (red bars) are centered around an epicenter of the initial launching site of the CME above the active region.
Phase velocities of simulated EIT wave (II) Point Angle [degree] Meas. Phase Speed [km/s] Sim. Fast Mode Speed [km/s] 1 30 ± 2 190 ± 40 152. 2 ± 40 197 ± 40 2 40 ± 2 205 ± 40 249. 4 ± 40 213 ± 40 3 55 ± 2 230 ± 40 267. 0 ± 40 229 ± 40 4 80 ± 2 280 ± 40 296. 0 ± 40 244 ± 40 This table shows our results for the simulated EIT wave phase speed in the fourth column ``Sim. Phase Speed’’. The angle is measured clockwise from the direction from the coronal hole to the left of the images. ``Meas. Phase Speed’’ is the measured phase speed of an observed EIT wave front propagating at about the same location. ``Sim. Fast Mode Speed’’ is the simulated phase speed of a fast magneto acoustic wave. Within the error limits we find a good agreement between our simulated EIT wave phase speed, the measured EIT wave phase speed, and the simulated phase speed of a fast magneto acoustic wave as well.
Evidence for waves in multithreaded loops Hinode SOT Cut 2 Ofman and Wang 2008 Cut 3 Cut 1 Mean for 6 measurements P=113 ± 2 s Td=560 ± 297 s Am=0. 67 ± 0. 12 Mm =>Vm=Am*2 p/P=37± 7 km/s Cut 1 Cut 2 Cut 3 P=131 ± 14 s P=115 ± 11 s P=114 ± 25 s Td=262 ± 457 s Td=304 ± 540 s Td=425 ± 2335 s Am=1. 02 Mm Am=0. 76 Mm Am=0. 57 Mm
MHD model of loops • • • 3 D Nonlinear, resistive MHD (Cartesian) Background flow No gravity Isothermal energy equation Boundary conditions: – Line tied – Applied twist – Vx 0=110 km/s (left foot), open (right foot) • Initial Conditions: – – Vx 0=110 km/s VA=627 km/s Vm=36 km/s Half wavelength (fundamental mode).
Multi threaded loop with twist 300 x 130 400 x 130
Currents in multithreaded loop No twist Twisted threads z x
Multi-threaded loop with twist Density J 2 y y x x
Induced flows Parallel threads Twisted threads y y x x
Temporal evolution X=-0. 5
Previous 3 D MHD Studies (Ofman 2009) Straight loops with flow and externally excited oscillations: Density Flow Vz Dipole field (curved) loop without flow: Current (Mc. Laughlin and Ofman 2008; Selwa and Ofman 2009; 2010)
Jet: Boundary and Initial conditions density: Dipole field with gravitationally stratified 3 D MHD model Continuous flow injected at a loop’s footpoint along the magnetic field: Z=1 plane: Outside 2 r 0 use V 0=0; linetied boundary conditions. Other boundaries: open Resolution: 2583 (previous runs: 1303) Plasma injected at the footpoint
Numerical Results: loop formation Density isosurface Density cut Inflow at Xp 0=0. 7 z x Inflow at Xp 0=0. 7; V 0=0. 11 VA
Temporal evolution of jet induced loop oscillations V 0=0. 11 VA D D V 0=0. 055 VA
‘Long’ magnetic loop Density isosurface Density cut z x Inflow at Xp 0=1. 2; V 0=0. 11 VA
D Temporal evolution in ‘long’ loop
Magnetic field lines Inflow at Xp 0=0. 7 Inflow at Xp 0=1. 2
Coronal Seismology of a loop • The Alfvén speed for the transverse wave in the loop can be estimated using (Nakariakov et al 1999; Roberts 2000; Nakariakov & Ofman 2001): • Where L is the loop length, and P=1/f is the period, B is the magnetic field and r is the density. • Thus, we can determine the magnetic field from observations: L, P®VA ® B • Effects of flow must be included for V 0 ~ VA:
Mc. Laughlin and Ofman 2008 Selwa and Ofman 2009, 2010
Slow standing waves: 3 D model Selwa, Ofman (2009) Duration of the pulse << wave-period, not sensitive to the spatial/temporal shape (contr. Taroyan, Erdélyi, Doyle, Bradshaw 2005) Propagating wave
Slow standing waves: 3 D model and observations Selwa, Ofman (2009)
Slow standing waves: 3 D model SOHO/SUMER 1 D 2 D Wang et al 2003 3 D Selwa, Ofman (2009)
Loop geometry vs. coronal seismology Height/radius of a loop Closed geometry Open geometry
Loop geometry vs. coronal seismology Direction of Lorentz force Doppler shift oscillations
3 D kink oscillations: damping (tunneling) Leakage (tunneling) mainly in horizontal direction
AR topology and its impact on oscillations Selwa, Ofman (2010)
Summary and Conclusions • High resolution observations indicate that coronal Active Regions contain oscillating loops associated with flares, and jets of heated plasma. • We use 3 D MHD model to study the excitation of various modes of oscillations in coronal loops by different forms of excitation, and the effect of magnetic topology. • We find that the inflow leads to formation of low-beta loops with higher density than the surroundings, and excites coupled transverse and longitudinal oscillations. • The properties of the oscillations (wavelength, damping rate), depend on loop length, structure, and curvature can be used for coronal seismology. • We conclude that the excitation of loop oscillation observed with TRACE and Hinode are due to impulsive events at footpoints of loops. • The inflow of hot material is responsible for loop formation, as seen in observations and in our model.


