22.2.ppt
- Количество слайдов: 29
Выражение называется алгебраической формой комплексного числа. 1
С каждой точкой комплексной плоскости связан радиус-вектор точки Длина этого вектора называется модулем комплексного числа z и обозначается Угол, образованный радиус-вектором точки и осью х называется аргументом комплексного числа z и обозначается Из всех значений аргумента главное значение удовлетворяющее условию выделяется
Поскольку
Из рисунка видно, что Тогда
Выражение называется тригонометрической формой комплексного числа. 2
1 При сложении (вычитании) комплексных чисел, их радиус-векторы складываются (вычитаются) по правилу параллелограмма.
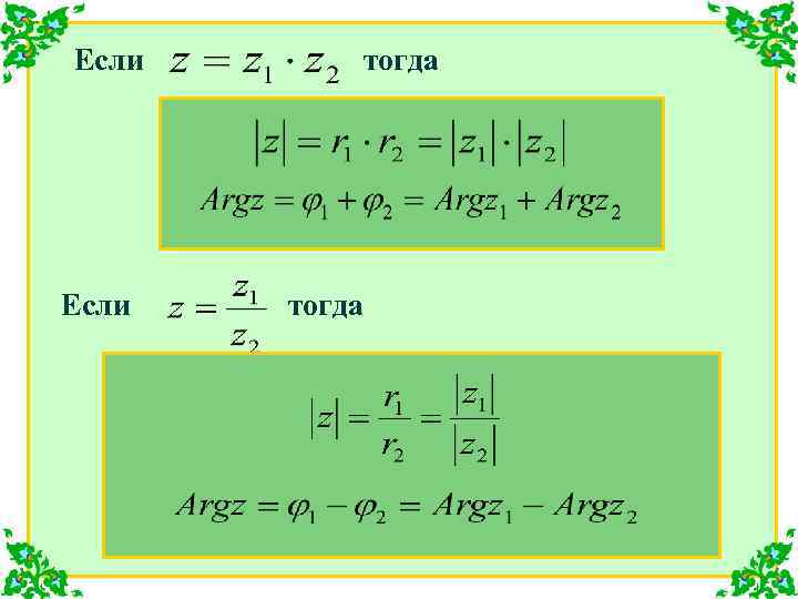
2 Модуль произведения (частного) двух комплексных чисел равен произведению (частному) модулей этих чисел, а аргумент - сумме (разности) аргументов этих чисел.
Если тогда
Геометрически умножение числа z 1 на число z 2 означает изменение длины радиус-вектора r 1 (или r 2) в r 2 (или в r 1) раз и его поворот вокруг точки щ против часовой стрелки на угол φ2 (или φ1).
Комплексные числа представить в тригонометрической форме и найти их произведение и частное.
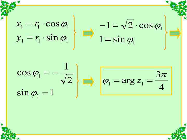
Найдем модули этих комплексных чисел: Теперь найдем аргументы этих комплексных чисел:
Аналогично:
Тогда в тригонометрической форме комплексные числа запишутся в виде:
Находим их произведение: Находим их частное:
Т. к. при умножении комплексных чисел их модули перемножаются, а аргументы складываются, то можно получить формулу возведения комплексного числа в натуральную степень.
Вычислить
Запишем это число форме: в тригонометрической
Рассмотрим операцию извлечения корня из комплексного числа. Пусть тогда следовательно
Вычислить
Следовательно, получается три значения корня:
Изобразим эти точки на комплексной плоскости:
Точки будут равноудалены друг от друга на окружности с радиусом
22.2.ppt