ВЫПУКЛЫЙ АНАЛИЗ ЛЕКЦИЯ 8 2. ВЫПУКЛЫЕ МНОЖЕСТВА (ПРОДОЛЖЕНИЕ)



















lekciya_8.ppt
- Размер: 1.8 Мб
- Автор: Progressive Sound
- Количество слайдов: 19
Описание презентации ВЫПУКЛЫЙ АНАЛИЗ ЛЕКЦИЯ 8 2. ВЫПУКЛЫЕ МНОЖЕСТВА (ПРОДОЛЖЕНИЕ) по слайдам
ВЫПУКЛЫЙ АНАЛИЗ ЛЕКЦИЯ 8 2. ВЫПУКЛЫЕ МНОЖЕСТВА (ПРОДОЛЖЕНИЕ)
2. ВЫПУКЛЫЕ МНОЖЕСТВА (ПРОДОЛЖЕНИЕ) 2. 6. Замыкание и внутренность выпуклых множеств(продолжение). 2. 7. Внутренность и относительная внутренность выпуклых множеств.
и Теорема 15. Пусть n. U R выпуклое множество иint. U Тогда 0 int , , 0, 1 u U v U 1) Для всех справедливо включение 01 v u v 2. 6. Замыкание и внутренность выпуклых множеств(продолжение). утверждение усиливает теорему 14. Следующее имеет место 0 0. 4 w u y u U U 0 u vv Доказательство. 1) Из включения Uu int 0 следует существование окрестности 0, O u 0. n u R u u U U v 0 u 0, O u 2) Для всех 0 int , 1 u U y U U 0 u yw 0 int. 3 v u v U
. 5 1 v w Полагаем 0 1 w u w и оценим по норме разность между точками v и : w. Из включения Uv 1 1. } } 0 0 1 1 u v u w v w 0 01 1 wu uv 1 1 v w 6 7 8 Пусть 0, 1. 01. v u v Полагаем точки , w Uследует существование будет для которой выполняться неравенство Таким образом , , , v O w при чем 0, v w т. е. точка v лежит строго внутри окрестности, . O w U v w , O w w v 0 u 0, O u ( v предельная точка )U множества U v 0 u 0, O u 0 0 1 1 v w 6 7 8 ww v
Покажем, что справедливо вложение , . 6 O w U С этой целью для всех , w. Ou положим wu ua 0 и установим, что 0, . a O u U 0 a u С другой стороны из } } 1. U U a w U } 0 0 w u a u w 0 ua a w w , u O w u w Для завершения доказательства первого пункта теоремы требуется установить, входит в множество Uw. O, вместе соv что точка Действительно, 0 u w a u 0 uw w Вложение (6) доказано. 0, a O u U v U w , O w w 0 u 0, O u vu a
своей окрестностью , , O v В самом деле, если , , u O v то v w , u O v u v v w и пункт 1) теоремы доказан. 2) Пусть теперь 0 1, int. u U y U 0 0, w u y u От противного примем, что Uw при каком-либо 1. находим 0 0. w u y u Полагаем 1 1 0, 1. u w vu wv v w Из представления для 0 0 w u y u Таким образом, 6 , , u O w U , . u O w где 0. v w U 0 u yw U v w , O w w v 0 u 0, O u u v входит в U вместе с окрестностью , O v
Тогда} 0 0 1 y u w u где 00, 1 , , int. w U u U По доказанному первому пункту теоремы тогда должно выполняться int , y U что противоречит условию Следовательно, Uw при всех 1. Очевидно, что из доказанной теоремы сразу следует справедливость теоремы 14. }}} 0, 1 i t 0 0 n , U U u w u Теорема доказана полностью. int. y U Упражнение 1. Из утверждения теоремы 15 Тогда для всех 0, 1 справедливо 01 int. 3 v u v U Пусть n. U R выпуклое множество , 0 int , . U u U v U вывести утверждение теоремы 14: внутренность выпуклых множеств выпукла. Решение. Пусть 1 2, int , 0, 1. u u U }}}} 0, 1 int i 1 n 2 t 1 int. U U U u u u U В силу int. U U из (3) следует
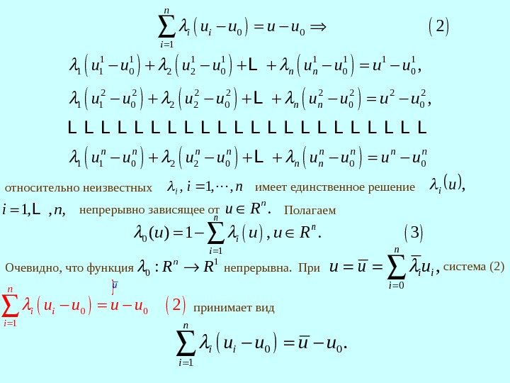
2. 7. Внутренность и относительная внутренность выпуклых множеств. Выясним условия не пустоты внутренности выпуклого множества. Выпуклое множество может иметь и не иметь внутренних точек. Например, круг в 2 R внутренние точки имеет, а отрезок прямой – нет. Лемма 1. Пусть 0 1, , , n n. S u u u RL — симплекс, натянутый на точки 0 1, , , nu u u. L 1 0 0, . , /mu u u uл нз L 0 1 0 0 , , , 0, 1 , m m m i i i S u u u L Тогда 0 1 int , , , . n. S u u u L Доказательство. Для доказательства достаточно построить хотя бы одну точку u из множества 0 1 int , , , . n. S u u u. L Полагаем 0 1, 0, 0, 1, , . 1 n i i n L 0 , n i i i u u Покажем, что 0 1 int , , , . nu S u u u L Действительно, в силу линейной независимости векторов 001 , , uuuu n для всех n Ru система линейных алгебраических уравнений
0 0 1 2 n i i i u u 1 1 1 1 1 0 2 2 0 0 0 2 2 2 2 1 1 0 2 2 0 0 0 , , n n n n u u u u u u L L L L L L Lотносительно неизвестных ni i , , 1, имеет единственное решение , ui 1, , , i n. L непрерывно зависящее от. n u R Полагаем 0 1 ( ) 1 , . 3 n n i i u u u R Очевидно, что функция 1 0: n R R непрерывна. При 0 , n i i i u u u } 0 0 1 2 un i i i u u система (2) принимает вид 0 0 1. n i i i u u
} 0 0 1. in i i i u u Для niii, , 1, Действительно, 0 1 1 n n i i i u u }0 0 0 1 n i i in i i u iu u 0 0 1 0 0 n i i i u iu n i i u u 6 7 8 соотношение превращается в тождество. 0 0. 0 11 n i i ii i n u u 1 0 0 0 n i i i u uu 0 0 1 n i i u u u 0 0 0 1 1 n i i u u 64 7 48 Таким образом, набор чисел niii, , 1, является решением системы (2)
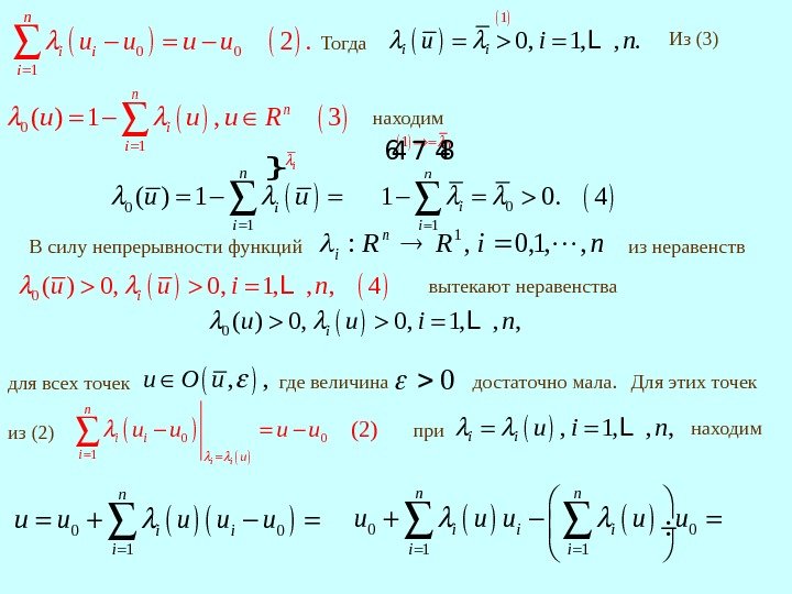
Тогда 1 0, 1, , . i iu i n L } 0 1 ( ) 1 in i i u u 0 0 11 1 0. 4 n i i 64 7 48 0 1 ( ) 1 , 3 n n i i u u u R Из (3) находим 0 0 1 2. n i i i u u В силу непрерывности функций ni. RR n i, , 1, 0, : 1 где величина 0 достаточно мала. для всех точек , , u O u 0 0 1 n i i iu u u 0 0 1 1 n n i i iu u u 0( ) 0, 0, 1, , , iu u i n L из неравенств 0( ) 0, 0, 1, , , 4 iu u i n L вытекают неравенства 0 0 1 (2) i i n i i iu u u Для этих точек из ( 2 ) находим при, 1, , , i iu i n L
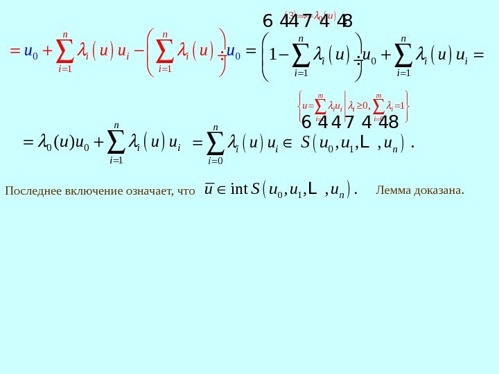
0 0 0, 0 1 1 0, , , . m m i i iu u n i i n iu u S u u u 6 4 4 7 4 48 L Последнее включение означает, что 0 1 int , , , . nu S u u u L Лемма доказана. 10 0 1 n n i i iu u u uu 0 0 1 13 1 u n n i i i u u 6 44 7 4 48 0 0 1( )n i i iu u
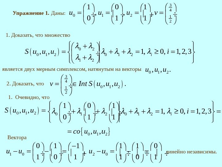
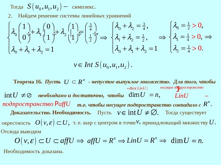
Упражнение 1. Даны: 3 4 0 1 21 2 1 0 1 , , , 0 1 1 u u u v 1. Доказать, что множество 0 2 0 1 2 1 2 , , 1, 0, 1, 2, 3 i. S u u u i является двух мерным симплексом, натянутым на векторы 0 1 2 , , . u u u 2. Доказать, что 3 4 0 1 21 2 , , . v Int S u u u 1. Очевидно, что 0 1 2, , S u u u 0 1 2, , co u u u 1 0 2 0 0 1 1 0 , 1 0 1 u u Вектора линейно независимы. 0 1 2 1 0 1 1, 0, 1, 2, 3 0 1 1 ii
0 1 2, , S u u u. Тогда симплекс. 2. Найдем решение системы линейных уравнений 3 4 0 1 21 2 0 1 2 1 0 1 , 0 1 1 1 0 1 2, , . v Int S u u u 3 0 24 1 1 22 0 1 2 , , 1 1 02 1 14 1 24 , , 0 0. 0 Теорема 16. Пусть n. RU — непустое выпуклое множество. необходимо и достаточно, Uint Для того, чтобы dim , Lin. U U n чтобы т. е. чтобы несущее подпространство совпадало с . n. R } несущее подпространство Lin. U подпространство aff. U P Доказательство. Необходимость. Пусть int. v U Тогда существует окрестность , , O v U dim. U n Отсюда выводим, O v U aff. U n aff. U R n Lin. U R т. е. шар с центром в точке , v принадлежащий множеству. U Необходимость доказана.
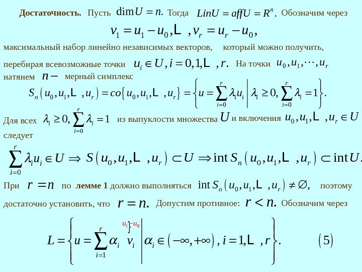
Достаточность. Пусть dim. U n Тогда . n Lin. U aff. U R Обозначим через 1 1 0 0 , , , r rv u u L максимальный набор линейно независимых векторов, На точки r uuu , , , 10 натянем n мерный симплекс 0 1 0 0, , , 0, 1. r r n r r i i i. S u u u co u u u L Lперебирая всевозможные точки , 0, 1, , . iu U i r L который можно получить, 0 1, , , r. S u u u U L 0 r i i iu U следует из выпуклости множества U 0 1 , , , ru u u U L и включения 00, 1 r i i i Для всех При nr по лемме 1 должно выполняться 0 1 int , , n r. S u u u L достаточно установить, что . r n поэтому Допустим противное: . r n Обозначим через } 0 1 , , 1, , . 5 ir i i i u u i L u v i r L 0 1 int , , , int. n r. S u u u UL
подпространство, натянутое на вектора / 1, , . н r л v v 64 7 48 L. r n Размерность этого подпространства равна Из максимальности набора линейно независимых векторов 0011 , , uuvuuvrr для всех Uu имеет место равенство 1 0 1 , r L i iu u v R 6 7 80. 6 u u L выполняется. В силу (6) и произвольности u U 0 aff. U L u 0 U u L 0 афинное множество U L u 64 7 48 Lin. U L dim. 7 Lin. U L r 0 0 Lin. U u U aff. U u L 6 4 4 7 4 4 8 Теорема доказана. . r n Остается признать, что dim. n U Lin. U По условию теоремы. n r Тогда из (7) выводим Получили противоречие с. r n
Пример 9. Выпуклое множество 3 2 2, , 1, 0 , U u x y z R x y z представляющее собой единичный круг в плоскости 3 2, , 0 , u x y z R z не имеет внутренних точек. В тоже время, если рассматривать это множество как подмножество 2 2, R то его внутренность не пуста. Рассмотренный пример приводит к следующему определению. Определение 12. Точка n RUv называется относительно внутренней точкой множества , U что , . O v aff. U UI , v. O точки если существует , v открытая окрестность . ri. U и обозначается символом называется относительной Множество всех относительно внутренних точек. U внутренностью множества O U x y z Lin. U v aff. U
Например, множество, состоящее из двух различных точек. Теорема 17. Для любого выпуклого множества n. RU его относительная внутренность не пуста. Доказательство. Не теряя общности, будем считать, что 0. U Тогда 0. aff. U Lin. U U и доказательство теоремы сводится к доказательству предыдущей теоремы. Множество Lin. U подпространство, которого совпадает с размерностью множества U размерность. Существуют множества, для которых относительная внутренность пуста. (В противном случае надо перейти к множеству , , U v v U при этом множество {}aff. U v- будет являться аффинной оболочкой для множества {}. U v- )Для единичного круга из примера 9 справедливо 3 2, , 0 aff. U Lin. U u x y z R z 3 2 2, , 1, 0. ri. U u x y z R x y z O U x y z aff. U Lin. U v


