лекция 22.ppt
- Количество слайдов: 12
ВЫПУКЛЫЙ АНАЛИЗ ЛЕКЦИЯ 22 7. СУБГРАДИЕНТ И СУБДИФФЕРЕНЦИАЛ ФУНКЦИИ (ПРОДОЛЖЕНИЕ)
7. СУБГРАДИЕНТ И СУБДИФФЕРЕНЦИАЛ ФУНКЦИИ (ПРОДОЛЖЕНИЕ) 7. 3. Основные свойства субдифференциала. 7. 4. Производные по направлению и субдифференциал выпуклой функции.
7. 3. Основные свойства субдифференциала приведены в следующей теореме. Теорема 3. Пусть выпуклая функция. открытое выпуклое множество и Тогда субдифференциал является 1) непустым; 2) выпуклым; 3) замкнутым; 4) ограниченным множеством для всех Доказательство. 1) Не пустота субдифференциала следует сразу из теоремы 2. Теорема 2. функция Пусть - открытое выпуклое множество. Для того, чтобы имела непустой субдифференциал в каждой точке необходимо и достаточно, чтобы эта функция была выпуклой на множестве
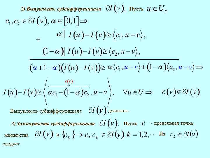
2) Выпуклость субдифференциала 3) Замкнутость субдифференциала множества следует и Пусть доказана. Пусть - предельная точка Из
При отсюда получим, что 4) Ограниченность субдифференциала Из открытости множества для малых Функция и Пусть следует, что выпукла, значит непрерывна на открытом множестве и по теореме Вейерштрасса ограничена на компактном множестве Пусть Положим число не зависит от где В силу
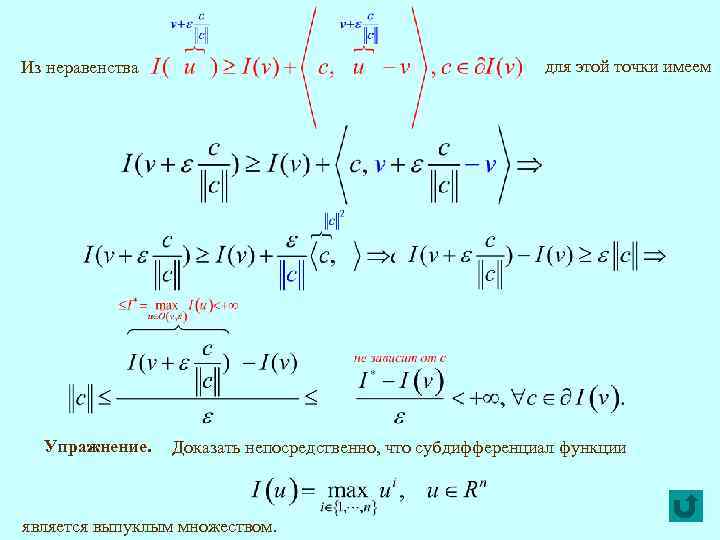
для этой точки имеем Из неравенства Упражнение. Доказать непосредственно, что субдифференциал функции является выпуклым множеством.
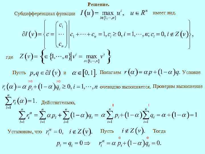
Решение. имеет вид. Субдифференциал функции где Пусть и Полагаем Условие очевидно выполняется. Проверим выполнение Действительно, Установим, что Пусть Тогда
7. 4. Производные по направлению и субдифференциал выпуклой функции. Установим связь между производными по направлению и субдифференциалом выпуклой функции. Теорема 4. Пусть выпуклая функция. - открытое выпуклое множество и Тогда Доказательство. Для всех что имеет место неравенство и достаточно малых таких
При доказательстве теоремы 2, были разделены множества u В результате было получено соотношение (2. 7), имеющее место для любого Полагаем в нем Тогда
В силу(1) Упражнение. из (2) следует Теорема доказана. Проиллюстрировать равенство на примере функции в точке Решение. В примере 3 было установлено, что из пункта 3. 4 — а в упражнении Имеем
лекция 22.ppt