лекция 21.ppt
- Количество слайдов: 10
ВЫПУКЛЫЙ АНАЛИЗ ЛЕКЦИЯ 21 7. СУБГРАДИЕНТ И СУБДИФФЕРЕНЦИАЛ ФУНКЦИИ (ПРОДОЛЖЕНИЕ)
7. СУБГРАДИЕНТ И СУБДИФФЕРЕНЦИАЛ ФУНКЦИИ (ПРОДОЛЖЕНИЕ) 7. 2. Критерий существование субградиента функции.
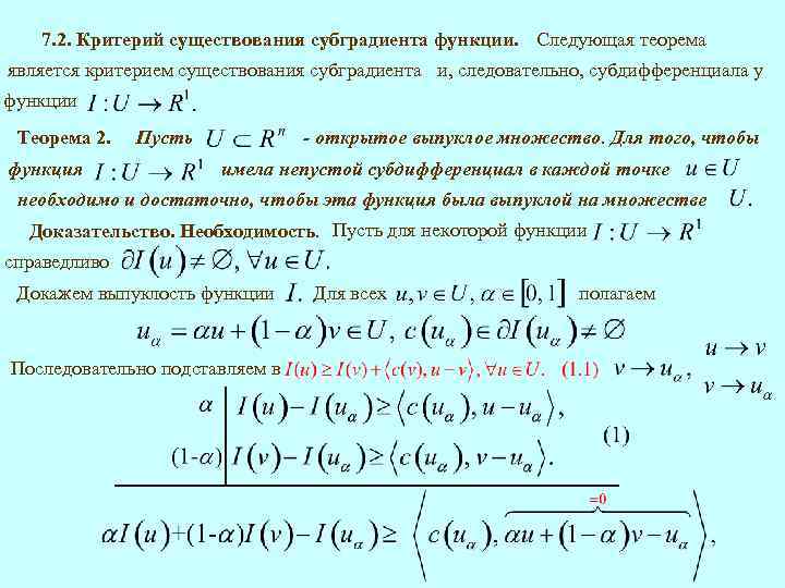
7. 2. Критерий существования субградиента функции. Следующая теорема является критерием существования субградиента и, следовательно, субдифференциала у функции Теорема 2. функция Пусть - открытое выпуклое множество. Для того, чтобы имела непустой субдифференциал в каждой точке необходимо и достаточно, чтобы эта функция была выпуклой на множестве Доказательство. Необходимость. Пусть для некоторой функции справедливо Докажем выпуклость функции Последовательно подставляем в Для всех полагаем
Необходимость доказана. Достаточность. Пусть выпуклая функция и что Для произвольного для достаточно малых открытости множества В силу полагаем будет выполняться Из выпуклости функции по теореме 3. 7 для всех существует производная функции по направлению В пространстве переменных Надо показать, рассмотрим множества
выпукло. Доказательство этого факта аналогично Множество доказательству выпуклости надграфика выпуклой функции теорема 4. 1. представляет собой отрезок прямой, и поэтому Множество тоже выпукло. Покажем что для малых В самом деле, пусть будет выполняться Имеются две возможности 1) 2) По лемме 3. 1 из выпуклости функции выпуклость функции В силу для достаточно малых выводим следует По первому критерию выпуклости
отсюда Из (3) выводим Тогда из определения множества следует, что и (2) Таким образом, действительно имеет место. Тогда существует гиперплоскость отделяющая множества с нормальным вектором и и т. е. для всех имеет место неравенство u
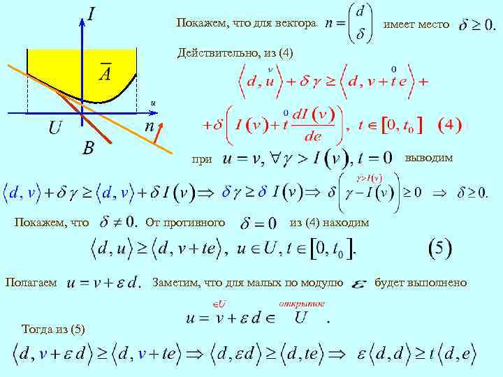
Покажем, что для вектора имеет место Действительно, из (4) u выводим при Покажем, что Полагаем Тогда из (5) От противного из (4) находим Заметим, что для малых по модулю будет выполнено
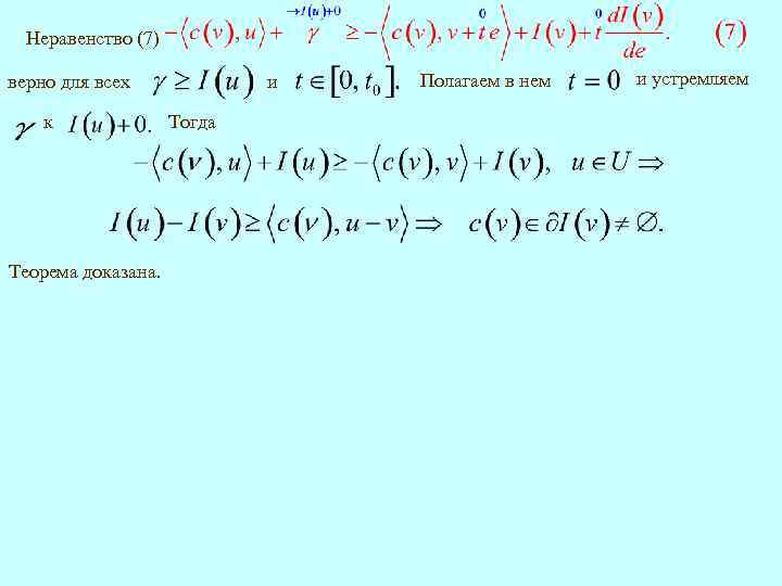
отсюда При получим В силу произвольности знака числа Однако последнее неравенство возможно только если Получили противоречие. Таким образом, Разделим неравенство (4) на величину Обозначим В результате получим и перепишем (6). В результате получим
Неравенство (7) и верно для всех к Теорема доказана. Тогда Полагаем в нем и устремляем
лекция 21.ppt