лекция 20.ppt
- Количество слайдов: 23
ВЫПУКЛЫЙ АНАЛИЗ ЛЕКЦИЯ 20 7. СУБГРАДИЕНТ И СУБДИФФЕРЕНЦИАЛ ФУНКЦИИ
7. СУБГРАДИЕНТ И СУБДИФФЕРЕНЦИАЛ ФУНКЦИИ 7. 1. Определение субградиента и субдифференциала функции. Примеры.
7. СУБГРАДИЕНТ И СУБДИФФЕРЕНЦИАЛ ФУНКЦИИ 7. 1. Определение субградиента и субдифференциала функции. Примеры. и Определение 1. Пусть называется субградиентом функции в точке Множество всех субградиентов функции субдифференциалом этой функции в точке Вектор если в точке называют и обозначают символом Геометрический смысл неравенства (1) состоит в том, что график функции линейной функции лежит не ниже графика определенной равенством При этом Понятие субградиента и субдифференциала определено для произвольной функции Однако естественным это понятие является для выпуклых функций.
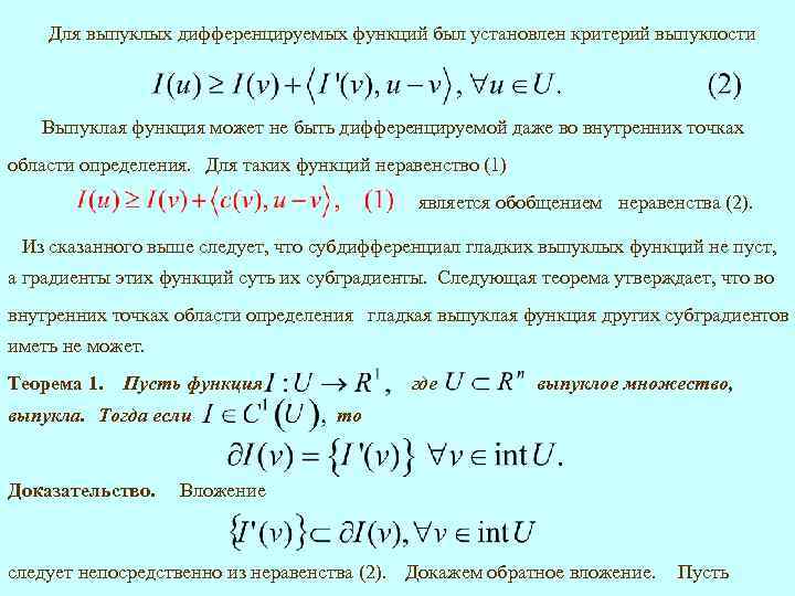
Для выпуклых дифференцируемых функций был установлен критерий выпуклости Выпуклая функция может не быть дифференцируемой даже во внутренних точках области определения. Для таких функций неравенство (1) является обобщением неравенства (2). Из сказанного выше следует, что субдифференциал гладких выпуклых функций не пуст, а градиенты этих функций суть их субградиенты. Следующая теорема утверждает, что во внутренних точках области определения гладкая выпуклая функция других субградиентов иметь не может. Теорема 1. Пусть функция выпукла. Тогда если Доказательство. где выпуклое множество, то Вложение следует непосредственно из неравенства (2). Докажем обратное вложение. Пусть
В силу Условие справедливо равенство влечет за собой включение для всех достаточно малых Теорема доказана. для любых В неравенстве (3) полагаем Имеем
Пример 1. Пусть справедливо включение произвольная функция и Тогда для функции имеем Действительно, для всех Полученное неравенство в силу (1) и означает, что Существуют не дифференцируемые в точке функции, субдифференциал которых не пуст. Пример 2. Функция в точке определенная равенством не дифференцируема, но в силу предыдущего примера Более того, для этой функции из неравенства справедливо следует, что при
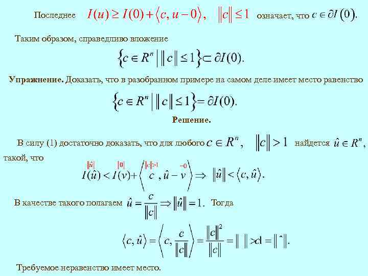
Последнее означает, что Таким образом, справедливо вложение Упражнение. Доказать, что в разобранном примере на самом деле имеет место равенство Решение. найдется В силу (1) достаточно доказать, что для любого такой, что В качестве такого полагаем Требуемое неравенство имеет место. Тогда
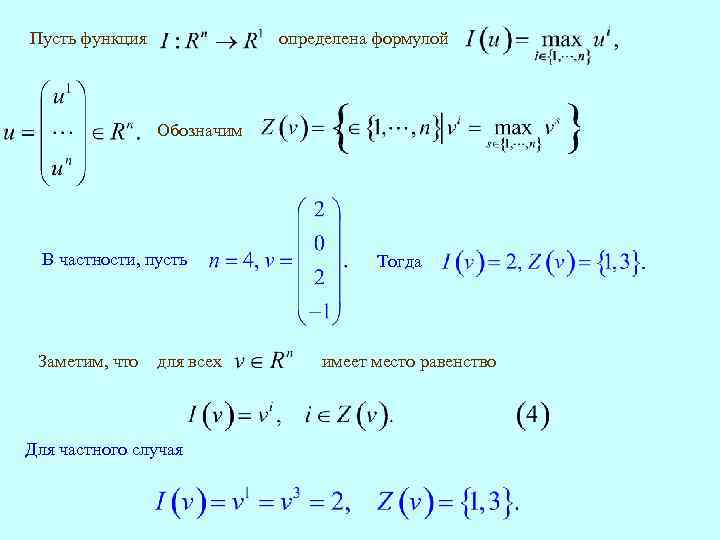
Пусть функция определена формулой Обозначим В частности, пусть Заметим, что для всех Для частного случая Тогда имеет место равенство
Упражнение. Доказать, что функция Решение. Пусть является выпуклой. Полагаем Тогда Выпуклость функции доказана. Пример 3. Доказать, что для всех В частности, если то справедливо где стоит на месте.
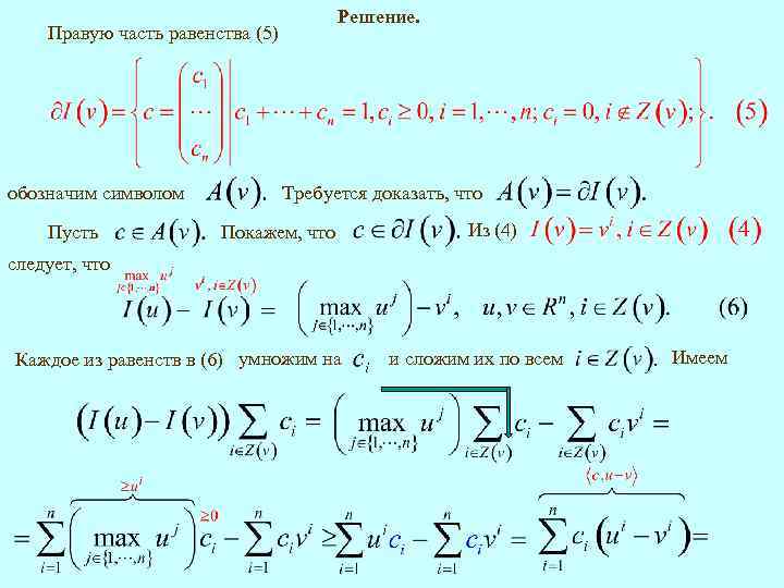
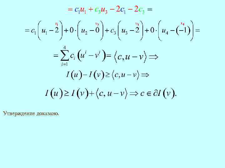
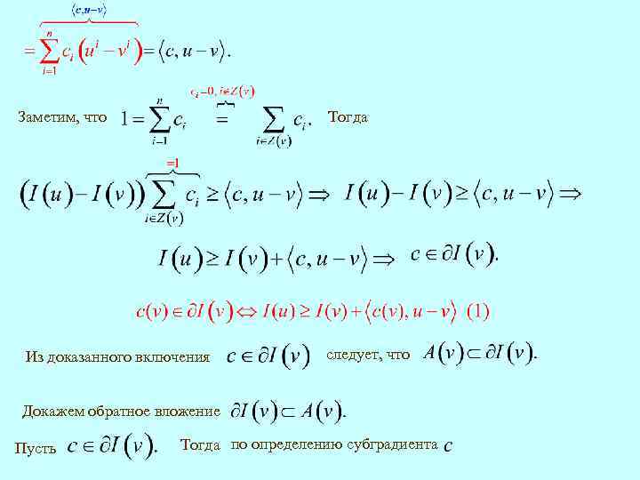
Решение. Правую часть равенства (5) обозначим символом Пусть Требуется доказать, что Покажем, что Из (4) следует, что Каждое из равенств в (6) умножим на и сложим их по всем Имеем
Заметим, что Тогда Из доказанного включения следует, что Докажем обратное вложение Пусть Тогда по определению субградиента
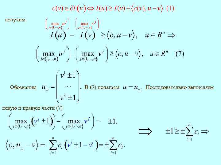
получим Обозначим левую и правую части (7) В (7) полагаем Последовательно вычисляем
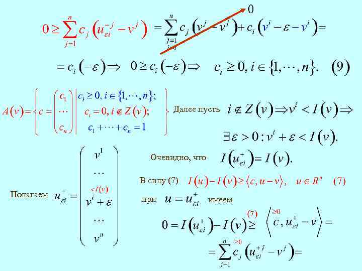
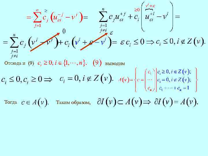
Для и всех полагаем По определению субградиента при имеем Очевидно, что в силу (7)
Далее пусть Очевидно, что В силу (7) Полагаем при имеем
Отсюда и (9) Тогда выводим Таким образом,
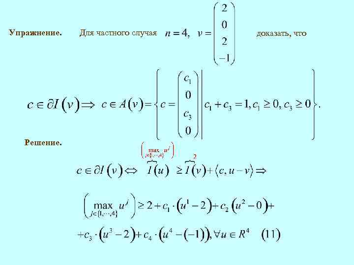
Упражнение. Для частного случая Решение. Требуется доказать, что Для любого и имеем
Утверждение доказано.
Упражнение. Решение. Для частного случая доказать, что
Обозначим: Подставим в (11) Из (12) и (13) следует
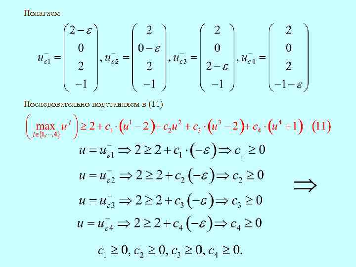
Полагаем Последовательно подставляем в (11)
Полагаем Утверждение доказано. Последовательно подставляем в (11) Таким образом, для частного случая доказано
Упражнение. в точках Решение. Для функции найти ее субдифференциал Построить эти множества на плоскости
лекция 20.ppt