лекция 12.ppt
- Количество слайдов: 16
ВЫПУКЛЫЙ АНАЛИЗ ЛЕКЦИЯ 12 3. ВЫПУКЛЫЕ ФУНКЦИИ (ПРОДОЛЖЕНИЕ )
3. ВЫПУКЛЫЕ ФУНКЦИИ (ПРОДОЛЖЕНИЕ) 3. 3. Непрерывность выпуклой функции. 3. 4. Дифференцируемость выпуклой функции по всем возможным направлениям.
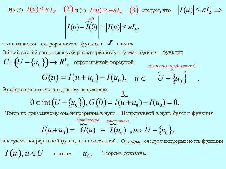
3. 3. Непрерывность выпуклой функции. Неравенство (1. 1), определяющее выпуклую функцию, оказывается столь сильным, что обеспечивает ей непрерывность в каждой внутренней точке области определения. Теорема 6. Пусть функция где выпуклое множество, выпукла. Тогда она непрерывна в любой точке Доказательство. Сначала предположим, что Существует с центром в нуле и содержащийся с вершинами в множестве мерный куб Обозначим Любая точка представлена в виде Тогда в силу выпуклости функции находим может быть
Пусть Тогда Из неравенства (1) следует С другой стороны
Из (2) и (3) следует, что и означает непрерывность функции в нуле. Общий случай сводится к уже рассмотренному путем введения функции определенной формулой Эта функция выпукла и для нее выполнено Тогда по доказанному она непрерывна в нуле. Непрерывной в нуле будет и функция как сумма непрерывной функции и постоянной. Отсюда следует непрерывность функции в точке Теорема доказана.
Для граничных точек доказанная теорема неверна. Пример 4. Функция определенная равенством 8 6 4 выпукла на 2 0. 5 1 1. 5 2 2. 5 3 но терпит разрыв в нуле. Покажем, что эта функция выпукла. Достаточно проверить определение выпуклости только в точке (В случае выполнено в форме равенства). Вычисляем Пусть и неравенство Иесена
3. 4. Дифференцируемость выпуклой функции по всем возможным направлениям. возможным в точке называется Направление Определение 3. Пусть если существует число такое, что Пример 5. Пусть Пример 6. Тогда любое направление Пусть Для точки будет возможным. нет ни одного возможного направления. и Действительно, пусть Тогда, если это направление возможное, для точки выполняться включение должно для достаточно малых Данное включение означает, что Левое неравенство в (1) невозможно, если малых В случае, когда невозможно правое неравенство в (1). Полученное противоречие доказывает отсутствие возможных направлений для точки для
Пример 7. Пусть множество выпукло и содержит не менее двух точек. имеется хотя бы одно возможное направление. Тогда для любой точки Положим Действительно, пусть имеем Полученное включение означает, что направление Определение 4. Пусть по возможному направлению Для всех возможное. Производной функции будем называть величину если этот предел существует. Заметим, что если функция и дифференцируема в ней, причем определена в некоторой окрестности точки то она имеет производные по всем возможным направлениям
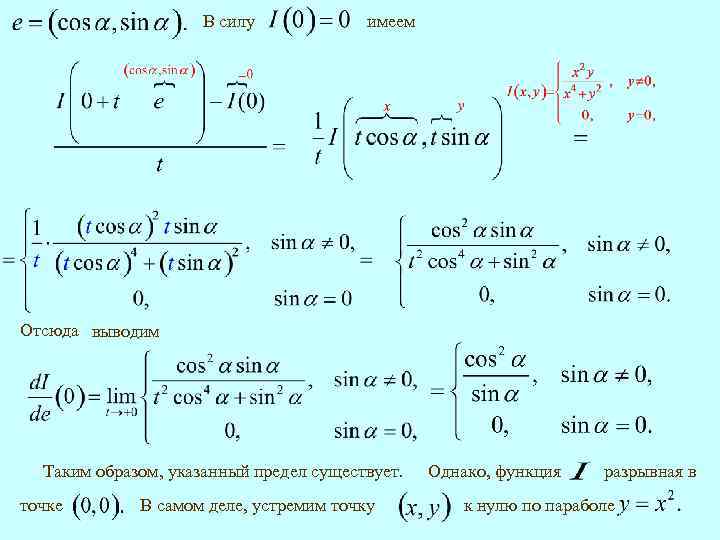
Однако, обратное неверно. Более того, нельзя даже гарантировать непрерывность функции в точке, в которой она имеет производные по всем направлениям. Пример 8. Пусть 0. 5 0. 25 0 -0. 25 -0. 5 -1 1 0. 5 0 -0. 5 0 0. 5 Покажем, что эта функция дифференцируема вдоль любого направления в точке 1 -1 Представим произвольное направление в виде и установим существование предела для любого направления
В силу имеем Отсюда выводим Таким образом, указанный предел существует. точке В самом деле, устремим точку Однако, функция разрывная в к нулю по параболе
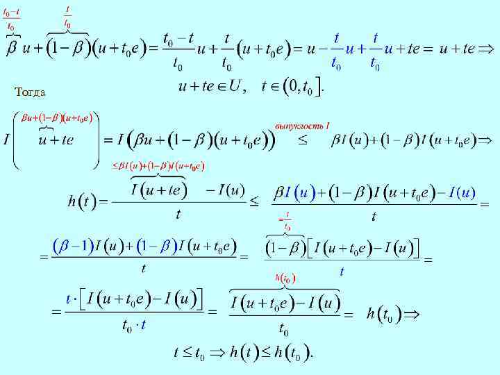
Тогда Теорема 7. Пусть функция где выпуклое множество, выпукла. Тогда в любой точке функция имеет производные по всем направлениям Доказательство. Требуется доказать существование конечного предела Из включения Пусть Имеет место включение следует существование числа такого, что Для полагаем С другой стороны
Тогда
Таким образом, функция монотонно убывает при Имеет место равенство Тогда Полагаем
т. е. функция ограничена снизу при Существование конечного предела следует теперь из монотонного убывания функции Теорема доказана.
Упражнение 1. Найти производную по направлению от функции Решение. Функция нормы выпукла и конечна. Следовательно, ее производная по любому направлению существует. Для всех точек кроме по формуле В точке имеем эта производная вычисляется


