Дюжева А. И. Микотоксины.pptx
- Количество слайдов: 23
Выполнила: Студентка гр. ХФ-13 м-2 Дюжева А. И.
метаболиты микроскопических плесневых грибов особо опасные токсические вещества, загрязняющие корма и пищевые продукты. Обладают токсическим эффектом в чрезвычайно малых количествах и способны весьма интенсивно диффундировать вглубь продукта.
поликетидный, характерный для афлатоксинов, охратоксинов, патулина и др. ; терпеноидный – для трихотеценовых микотоксинов; через цикл трикарбоновых кислот- для рубратотоксинов; аминокислотный - исходными соединениями являются аминокислоты эргоалкалоиды, циклопиазоновая кислота и др. ; смешанный (сочетание двух и более основных путей) – для производных циклопиазоновой кислоты.
Основные классы плесневых грибков и продуцируемые ими микотоксины: Aspergillus Fusarium афлатоксины (В 1, В 2, М 1, М 2, G 1, G 2 ), охратоксины, патулин, циклопиазоновая кислота, стеригматоцистин. : Penicillium Фумонизины (В 1, В 2, В 3) Охратоксины (А, В, С), Цитринин, Рокофортин, Циклопиазоновая кислота, Патулин. Трихотецены Типа А: Т-2, НТ-2, Диацетоксискирпенол (ДАС); трихотецены Типа В: Дезоксиниваленол (ДОН), Ниваленол, Фузаренон-Х, Трихотецин; Типа С: Кротокол, Кротоцин; типа D: Веррукарины, Роридины; Зеараленон, Монилиформин, Фузарохроманон, Аурофузарион. Claviceps Алкалоиды спорыньи. Клавины, лизергиновая кислота, Эргопептины. Acremonium: токсины высокой овсяницыалкалоиды спорыньи, перамины, лолитремы, эрговалин.
Грибковые формы микотоксинов Полевые (образующиеся в процессе созревания и выращивания культур) Fusarium Амбарные (образующиеся в в процессе хранения культур) Penicillium Aspergillus
Канцерогенные (образование и развитие раковых образований) Мутагенные (количественные и качественные изменения в наследственном аппарате клетки) Тератогенные (функциональные, биохимические, и структурные изменения в организме матери и плода, вызываемые воздействием внешне привнесенных, в данном случае – биохимических факторов).
Афлатоксины
Механизм действия: Цитохром Р 450 оксидаза в печени человека превращает афлатоксины в 8, 9 -эпоксидную форму, которая, в свою очередь, может связываться с ДНК и белками Афлатоксикозы: Острый (смерть) Хронический: подавление работы иммунной системы, энцефалопатия, заболевания внутренних органов (включая рак печени)
Образование токсинов усиливается при содержании свободной воды 0, 90; При температуре около 250 С Aspergillus flavus активно производит афлатоксины. р. Н от 4 до 8; концентрация кислорода и кислотность субстрата не являются существенными для продукции микотоксина. Тип субстрата: растительный субстрат усиливает образование микотоксинов больше, чем животный и животного происхождения.
Penicillium expansum - известный продуцент патулина. Слева - колония, выращенная на питательной среде. Источник - гнилое яблоко . Токсин ингибирует синтез белка, ДНК, РНК, ферменты, содержащие в активном центре SH-группы. Обладает высокими мутагенными свойствами.
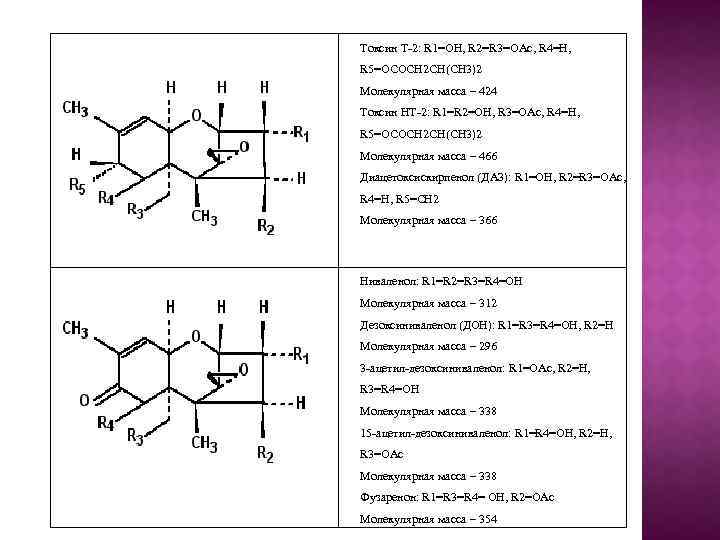
T 2 токсин, HT 2 токсин, деокиниваленон, ниваленон имеют сесквитерпеновые группы в своей структуре и все они имеют некротические воздействие на слизистые оболочки.
Токсин T-2: R 1=OH, R 2=R 3=OAc, R 4=H, R 5=OCOCH 2 CH(CH 3)2 Mолекулярная масса – 424 Токсин HT-2: R 1=R 2=OH, R 3=OAc, R 4=H, R 5=OCOCH 2 CH(CH 3)2 Mолекулярная масса – 466 Диацетоксискирпенол (ДАЗ): R 1=OH, R 2=R 3=OAc, R 4=H, R 5=CH 2 Mолекулярная масса – 366 Ниваленол: R 1=R 2=R 3=R 4=OH Mолекулярная масса – 312 Дезоксиниваленол (ДОН): R 1=R 3=R 4=OH, R 2=Н Mолекулярная масса – 296 3 -ацетил-дезоксиниваленол: R 1=OAc, R 2=Н, R 3=R 4=OH Mолекулярная масса – 338 15 -ацетил-дезоксиниваленол: R 1=R 4=OH, R 2=Н, R 3=OAc Mолекулярная масса – 338 Фузаренон: R 1=R 3=R 4= OH, R 2=OAc Mолекулярная масса – 354
открыт в 1965 г. Описаны охратоксины А, B и С, наиболее опасен – А. Охратоксин А Основные продуценты токсина: Aspergillus spp. (A. ochraceus, A. niger, A. carbonarius и др. ), Penicillium verrucosum Подобно афлатоксинам, охратоксин может накапливаться в молоке - ячмень овес рис пшеница кофе виноград
Механизм действия: Нарушает синтез фенилаланина Основные формы проявления: - почечная недостаточность - подавление иммунной системы - гибель клеток печени - тератогенный и канцерогенный эффект Охратоксин является основной причиной т. н. «эндемической Балканской нефропатии» хронического нефрита у жителей Румынии, Болгарии и бывшей Югославии
Впервые был выделен из Penicillium citrinum как потенциальный антибиотик Цитринин Позже был выявлен у других плесневых грибов: Penicillium spp. , Aspergillus spp. , Monascus spp. Может быть обнаружен в пшенице, ржи, ячмене, овсе, кукурузе и рисе Подавляет синтез РНК в почках Вызывает заболевания почек - нефропатии
Алиментарные заболевания, обусловленные употреблением в пищу продуктов, содержащих микотоксины: пищевые (алиментарные), респираторные (пневмомикотоксикозы), дерматомикотоксикозы.
• Анализ общей токсичности по выживанию простейших микроорганизмов • Методы хроматографии • Иммуноферментный анализ • Поляризационный флуороиммуноанализ
Микотоксин патулин: продуценты, биологическое действие, индикация в пищевых продуктах/ Н. Ф. Стародуб, Л. Н. Пилипенко, А. В. Егорова//Современные проблемы токсикологии – К. , Т 3. – 2008, Микотоксины. [Электронный ресурс] – Режим доступа: http: //www. knowmycotoxins. com D’Mello J. P. F. Food Safety. Contaminants and Toxins. UK: CABI Publishing, 2003. – 469 p. Hodson E. A Textbook of Modern Toxicology. – Canada: John Wiley & Sons, Inc, 2004. – 557 p. Manah Stanley E. Toxicological Chemistry and Biochemistry. – USA, Lewis Publishers, 2003. – 424 p.


