5 Показатели вариации 2.ppt
- Количество слайдов: 10
Вопрос 5. Показатели вариации в статистике: особые случаи применения и расчета.
1. Дисперсия альтернативного признака Пример: В городе Тьму-Тараканске проживает 25000 мужчин и 62800 женщин (28, 5% и 71, 5% соответственно). Рассчитать дисперсию по признаку «пол» . Решение: p. M = 0, 285 q (p. Ж) = 0, 715 σр2 = 0, 285 ∙ 0, 715 = 0, 2038
Задание из тестов по статистике: Дисперсия =. . . (с точностью до 0, 0001), если при осмотре партии деталей среди них оказалось 2 % бракованных. Решение: р = 0, 02 q = 0, 98 σ2 = 0, 02 ∙ 0, 98 = 0, 0196 Важно! 0 0, 25
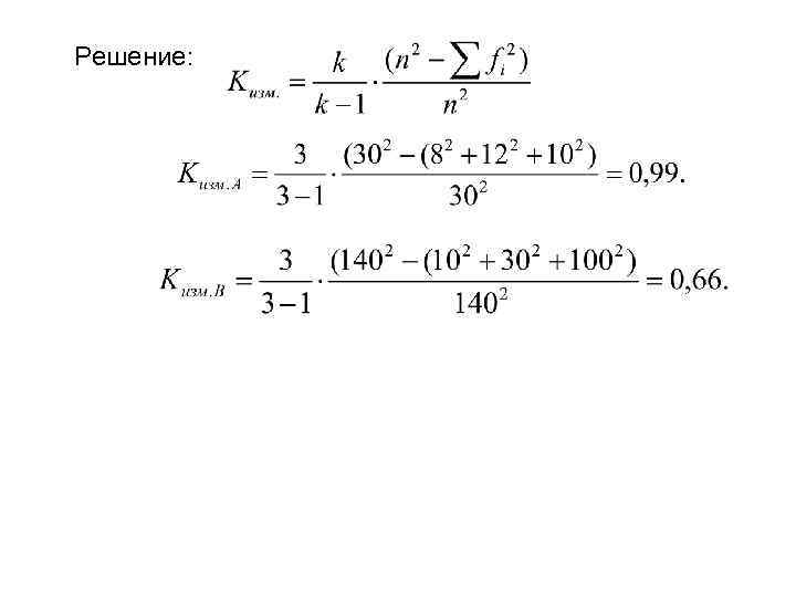
2. Вариация атрибутивного признака Коэффициент изменчивости категорий Пример: по данным таблицы оценить степень неоднородности уровней образования сотрудников в фирмах Образование сотрудников фирмы Образование общее среднее профессиональное высшее Численность сотрудников Фирма А Фирма Б 8 10 12 30 10 100
Решение:
3. Правило сложения дисперсий – дисперсия внутри каждой группы (внутригрупповая дисперсия) – дисперсия между группами (межгрупповая дисперсия)
Пример: По имеющимся данным ( табл. 1) рассчитать общую дисперсию распределения рабочих по заработной плате: Таблица 1 – Заработная плата работников предприятия Группа рабочих Число рабочих Средняя з/п одного рабочего Дисперсия з/п Работающие на одном станке 40 22 400 180 000 Работающие на двух станках 60 23 200 000
Решение:
4. Дисперсия и диагностика выбросов (правило « 3 -х сигм» ) f 34, 13% 13, 59% 2, 14% M-3σ M-2σ 2, 14% M-σ M M+σ M+2σ 68, 27% 95, 45% 99, 73% Рис. 1 – Нормальное распределение. M+3σ xi
Спасибо за внимание!
5 Показатели вариации 2.ppt