ВИТАМИНЫ низкомолекулярные органические вещества различной химической природы и







































































































19628-lektsia_11_vitamin_i.ppt
- Количество слайдов: 103
ВИТАМИНЫ низкомолекулярные органические вещества различной химической природы и различного строения; в организме не синтезируются, являются незаменимыми факторами пищи ; требуются в очень малых количествах; выполняют важные функции в процессе метаболизма. не включаются в структуру тканей, т.е. не являются пластическим материалом ; не используются организмом в качестве источника энергии.
ВИТАМИНЫ источники витаминов (пища, синтез микрофлорой кишечника вит. К, биотина, фолиевой, пантотеновой кислот и др.); потребность в них (суточная потребность – мг или доли мг, для вит. С – 100 мг);
Классификация витаминов водорастворимые витамины (вит.В1, В2, В6, В12 РР, С, Р, фолиевая кислота, пантотеновая кислота, биотин); жирорастворимые витамины (А, Д, Е, К); витаминоподобные вещества (холин, инозит, липоевая кислота, пангамовая кислота, убихинон, парааминобензойная кислота и т.д.).
Номенклатура витаминов а) буквенная (вит. А, С, К и т.д.); б) химическая (тиамин, амид никотиновой кислоты и др.); в) по названию авитаминоза с добавлением приставки “анти”, например, антиневритный, антирахитический и т.д.).
Провитамины – предшественники витаминов, способные в организме превращаться в витамины. (7-дегидрохолестерол вит Д3, каротины витамин А и др.).
Антивитамины – вещества, вызывающие снижение или полную потерю биологической активности витамина. 2 группы антивитаминов: антивитамины, имеющие структуру, сходную с витамином и оказывающие действие, основанное на конкурентных взаимоотношениях с ним (сульфаниламиды и ПАСК являются аналогами ПАБК и др.). неспецифические антивитамины, вызывающие расщепление и связывание витамина (тиаминаза, аскорбатоксидаза, авидин).
Гипо и – авитаминозы. Экзогенные причины гиповитаминозов: недостаточное поступление витаминов или полное их отсутствие в пище. Эндогенные причины: повышенная потребность в витаминах при некоторых физиологических и патологических состояниях; нарушение всасывания витаминов при заболеваниях ЖКТ, печени и поджелудочной железы; дисбактериоз кишечника; действие структурных аналогов витаминов - антивитаминов;
Гипо – авитаминозы. Врожденные нарушения обмена и функции витаминов - витаминзависимые и витаминрезистентные состояния. Причина - генетические дефекты в обмене витаминов. Биохимические механизмы этих расстройств: нарушения всасывания витаминов, их транспорта, образования активных форм, взаимодействия с белками-апоферментами. Витаминзависимые и витаминрезистентные состояния развиваются независимо от поступления в организм витаминов.
Гипервитаминозы Жирорастворимые витамины не выделяются с мочой, их избыток в организме оказывает токсический эффект, особенно вит. А и Д.
Водорастворимые витамины. Основной механизм действия водорастворимых витаминов они - предшественники коферментов, т.е. их производные являются коферментами.
Витамин В1 (тиамин, антиневритный витамин) Химическая структура – пиримидиновое и тиазоловое кольца, соединенные метиленовой связью.
Тиаминдифосфат (ТДФ, ТПФ)
Биороль витамина В1 активная форма витамина – ТПФ (ТДФ) входит в состав ферментов: -пируват – и α-кетоглутаратдегидрогеназных комплексов, катализирующих окислительное декарбоксилирование ПВК и α -кетоглутарата; - транскетолазы пентозного цикла; - Авитаминоз: - полиневрит– нарушения в периферической нервной системе (бери-бери); - кардиальная форма болезни; - нарушения секреторной и моторной функции ЖКТ.
Витамин В2 (рибофлавин) Химическая структура – изоаллоксазин, к которому в положении 9 присоединен спирт Д- рибитол.
Биороль витамина В2 – участие в построении ФМН и ФАД – коферментов флавиновых ферментов (НАДН-дегидрогеназы дыхательной цепи, ацилКоА-дегидрогеназы, МАО, сукцинатдегидрогеназы, ксантиноксидазы, оксидаз L и D-аминокислот и др). Гипо- и авитаминоз - нарушения ЦТК, ЦПЭ, β-окисления, обмена ЖК, биогенных аминов и т. д. Признаки авитаминоза – ангулярный стоматит, кератиты, катаракта.
Витамин В2. ФАД
Флавинадениндинуклеотид
Витамин В6 (пиридоксин, антидерматитный) Химическая структура – в основе структуры кольцо пиридина. 3 формы витамина: пиридоксин (пиридоксол), пиридоксаль и пиридоксамин.
Пиридоксальфосфат
Витамин В6. Пиридоксальфосфат
Биороль витамина В6 Пиридоксальфосфат (ПФ) и фосфопиридоксамин являются коферментами: - аминотрансфераз (трансаминаз), - декарбоксилаз аминокислот, - серин-и треониндегидратаз (неокислительное дезаминирования серина и треонина), - δ-аминолевулинатсинтазы (синтез гема) и др. Гипо- и авитаминоз вит. В6 - нарушение биосинтеза заменимых аминокислот, биогенных аминов, ГАМК, гема и т.д. признаки авитаминоза – специфический дерматит.
Роль вит. В6 в метаболизме
Витамин РР
Витамин РР (ниацин, вит. В3, никотиновая к-та, никотинамид) может синтезироваться из незаменимой АК триптофан. Хим. структура – пиридиновое кольцо, содержащее карбоксильную группу, у никотинамида – амидная группа. Биороль: в составе НАД и НАДФ входит в состав глутаматдегидрогеназы, лактатдегидрогеназы, малатдегидрогеназы, изоцитратдегидрогеназы глюкозо-6-фосфатдегидрогеназы и др. Авитаминоз – пеллагра (дерматит, диарея, деменция)
Витамин РР может синтезироваться из незаменимой АК триптофан. Хим. структура – пиридиновое кольцо, содержащее карбоксильную группу, у никотинамида – амидная группа. Биороль: в составе НАД и НАДФ входит в состав ферментов глутаматдегидрогеназы, лактатдегидрогеназы, малатдегидрогеназы, изоцитратдегидрогеназы, глюкозо-6-фосфатдегидрогеназы и др. Авитаминоз – пеллагра (дерматит, диарея, деменция)
НАД+ и НАДН+Н+
Витамин РР. НАD
Фолиевая кислота (птероилглутаминовая кислота, фолацин, фолат, вит. В9, Вс) Химическое строение – 3 структурные единицы: остаток 2 – амино - 4 окси - 6 метил-птеридина, парааминобензойная кислота и L-глутаминовая кислота.
Структура фолиевой кислоты
Биороль ФК входит в состав кофермента ТГФК (Н4-фолат). Все производные Н4-фолата –промежуточные переносчики одноуглеродных фрагментов [C1]. 6 одноуглеродных групп, включающихся в превращения в составе ТГФК: формильная ( -СНО), метенильная (-СН=), метильная ( -СН3) оксиметильная (-СН2ОН), метиленовая ( -СН2-) формиминовая ( -СН=NН).
Структура фолиевой кислоты
Фолиевая кислота и Н4-фолат Фолиевая (птероилглутаминовая) кислота 2 NАДРН+Н+ 2 НАДФ+ 5,6,7,8- тетрагидрофолиевая кислота ( ТГФК, Н4 – фолат) фолат редуктаза
Фолиевая кислота. ДГФК. ТГФК
Биороль Н4-фолата ТГФК образует коферменты, содержащие одноуглеродные фрагменты, присоединенные к атому N в положении 5 или к атому N в положении 10 (или к обоим). Коферменты ТГФК, содержащие одноуглеродные фрагменты, присоединенные к 5 атому N: - N5-формил-ТГФК (N5 СНО-Н4-фолат); - N5-метил-ТГФК (N5-СН3-Н4-фолат) — регенерация мет из гомоцистеина. N5-метил-Н4-фолат Н4-фолат Гомоцистеин метионин гомоцистеинметилтрансфераза
Биороль Н4-фолата к 10 атому N – - N10-формил-ТГФК (N10-СНО-Н4-фолат) — синтез пуриновых нуклеотидов (атом С во 2 положении); - синтез тРНКфМет у прокариот; к 5 и 10 атомам N : - N5,N10-метилен-ТГФК (N5,N10-СН2-Н4-фолат) — синтез тимидиловых нуклеотидов, синтез серина из глицина; - N5,N10-метенил-ТГФК (N5, N10=СН-Н4–фолат) — синтез пуриновых. нуклеотидов (атом С в положении 8). Гиповитаминоз – нарушение синтеза белка и нуклеиновых кислот — макроцитарная анемия.
Производные фолата
Антибактериальное действие сульфаниламидов
Антибактериальное действие сульфаниламидов. Аналоги ФК - цитостатики Антибактериальное действие сульфаниламидов основано на их способности включаться вместо ПАБК (из-за сходства в строении) в структуру ФК, что ведет к блокаде синтеза нуклеиновых кислот у бактерий. Структурные аналоги ФК - 4-аминоптерин и метотрексат (-СН3 у N10) – конкурентные ингибиторы фолатредуктазы, блокируют синтез дТМФ и ДНК, являются цитостатиками, используются в химиотерапии рака.
Структура кобаламина - витамина В12
Витамин В12 (кобаламин, антианемический) Вит.В12 - единственный витамин , содержащий в составе Ме и единственный витамин, синтезирующийся исключительно микроорганизмами. Химическая структура – 2 части: - планарная – порфириноподобное корриновое кольцо с центральным атомом Со; - нуклеотидная часть, содержащая 5,6- диметилбензимидазол, рибозу и остаток фосфата у 3 атома углерода.
Вит. В12 и его производные
Витамин В12 (кобаламин, антианемический) Производные кобаламина – оксикобаламин, хлоркобаламин, цианокобаламин, аквакобаламин, нитритокобаламин, дезоксиаденозилкобаламин и метилкобаламин Два В12–кофермента (кобамидных кофермента) - метилкобаламин (СН3- В12) и дезоксиаденозилкобаламин
Производные вит. В12
Витамин В12 (кобаламин, антианемический)
Участие витамина В12 в обмене метилкобаламин - кофермент в реакциях трансметилирования (регенерация метионина из гомоцистеина), участвует в переносе метильных групп с N5-метил-Н4-фолата на гомоцистеин с образованием метионина и Н4-фолата. Метионин необходим для метилирования различных соединений, например, синтез креатина, адреналина, превращение фосфатидилэтаноламина в фосфатидилхолин. Реакции трансметилирования происходят при синтезе нуклеотидов и нуклеиновых кислот, при недостатке вит. В12 нарушается синтез нуклеиновых кислот, страдает кроветворная система, развивается мегалобластическая анемия.
Участие витамина В12 в обмене 5 дезоксиаденозилкобаламин – кофермент, необходимый для внутримолекулярного переноса водорода в реакциях изомеризации (изомеризация метилмалонил-КоА в сукцинил-КоА с участием метималонил-КоА-мутазы). Метилмалонил-Коа образуется из жирных кислот с нечетным числом атомов С и аминокислот с разветвленным радикалом. При недостатке вит.В12 накапливается метилмалонил-КоА, который токсичен для нервной ткани, возникает поражение задне-боковых столбов спинного мозга.
Изомеризация метилмалонил-КоА в сукцинил-КоА L- метилмалонил КоА сукцинил-КоА
Биологическая роль витамина В12
Гиповитаминоз витамина В12 Наиболее частая причина нарушения всасывания вит. В12 в тонком кишечнике – недостаток гликопротеида внутреннего фактора Касла, который синтезируется париетальными клетками слизистой желудка. транспорт в крови вит. В12 в составе транскобаламина I и II. Транскобаламин I - депо вит. В12. Гиповитаминоз вит. В12 - развитие макроцитарной (мегалобластической) анемии с неврологическими нарушениями.
Витамин С (аскорбиновая кислота, антискорбутный витамин) Химическая. структура – производное L-гулоновой кислоты Авитаминоз – цинга. В основе – торможение синтеза коллагена, связанное с нарушением его посттрансляционной модификации (гидроксилирование про и лиз). Клинические проявления - повышение проницаемости сосудистой стенки, ведущее к появлению кровоизлияний, петехий, нарушение связочного аппарата - выпадение зубов и т.д.
Биороль витамина С Участие в окислительно-восстановительных реакциях; участие в реакциях гидроксилирования: - гидроксилирование про и лиз в проколлагене (синтез коллагена), - синтез норадреналина из дофамина, образующегося из тирозина, - синтез кортикостероидов, - гидроксилирование триптофана в положении 5 (синтез серотонина), - в обмене тирозина (синтез гомогентизиновой кислоты); обладает антиоксидантным действием, предотвращая ПОЛ; в кишечнике восстанавливает Fе3+ в Fе2+, способствуя его всасыванию, ускоряет освобождение Fе из ферритина; способствует освобождению Fе из связанной транспортной формы (из комплекса с трансферрином),
Участие вит.С в окислительно-восстановительных реакциях
Участие вит.С в окислительно-восстановительных реакциях
Биотин (витамин Н) Химическое строение: производное мочевины и тиофенового кольца с валериановой кислотой в боковой цепи. Биотиновые ферменты, содержащие в качестве кофермента биотин, катализируют 2 типа реакций: - реакции карбоксилирования (с участием СО2 или НСО3-), сопряженные с распадом АТФ; - реакции транскарбоксилирования (без участия АТФ), при которых субстраты обмениваются карбоксильными группами.
Биотин (витамин Н) входит в состав ферментов: - карбамоилфосфатсинтетазы I и II (синтез мочевины, пиримидинов), - пируваткарбоксилазы (ПВК → ЩУК → ФЭП → глю), - ацетил-КоА-- карбоксилазы (ацетил-КоА → малонил-КоА), - пропионил-КоА-карбоксилазы (пропионил-КоА → метилмалонил-КоА → сукцинил-КоА). Антагонист биотина – авидин (гликопротеид). Авитаминоз – нарушение синтеза нуклеиновых кислот, мочевины, ВЖК, а также глюконеогенеза. Клинические проявления - дерматит
Биотин Антагонист биотина – авидин (гликопротеид). Авитаминоз – нарушение синтеза нуклеиновых кислот, мочевины, ВЖК, а также глюконеогенеза. Клинические проявления -дерматит
Пантотеновая кислота (витамин В5) Хим. структура – соединение β-аланина и 2,4 диокси-3,3- диметилмасляной кислоты.
Пантотеновая кислота (Витамин В5)
Коэнзим А
Коэнзим А
Биороль пантотеновой кислоты входит в коэнзим А и 4 фосфопантетеина -простетическую группу АПБ (синтез ЖК). НS-КоА содержит тиоэтаноламин, пантотеновую кислоту, 3фосфоаденозин – 5 дифосфат, участвует в: - окислительном декарбоксилировании α-кетокислот (пирувата и α-кетоглутарата), - активации ЖК, - в окислении и биосинтезе ВЖК, - синтезе холестерина и кетоновых тел и др, Признаки авитаминоза – дерматиты, дистрофические изменения ЖВС и нервной системы, депигментация волос, алопеция и т.д.
Структура витаминов А, Д, Е, К
Витамин А ( ретинол, антиксерофталмический витамин) Хим. строение – циклический непредельный одноатомный С20 спирт, состоит из шестичленного кольца (β - ионон), двух остатков изопрена и первичной спиртовой группы. В организме ретинол окисляется при участии ферментов с образованием цис и– транс-альдегидов – ретиналей, при окислении которых получаются ретиноевые кислоты.
Провитамины вит. А – каротины Наибольшей биологической активностью обладает β-каротин, при расщеплении которого под действием β-каротин-диоксигеназы образуются 2 молекулы ретиналя по схеме: β-каротин 2 ретиналь → ретиноевая кислота тонкий кишечник, печень ↓ ретинол в крови ретинол связан с ретинолсвязывающим белком и преальбумином.
Структура вит. А и его производных
Структура 11-цис-ретиналя, полностью транс-ретиналя и полностью-транс-ретинола (витамина А).
Витамин А ( ретинол)
Витамин А ( ретинол, антиксерофталмический витамин) Цис-ретиналь Транс-ретиналь Биороль – влияние вит. А и ретиноевой кислоты на рост и дифференцировку тканей. Механизм их действия, как и у всех липофильных гормонов - связываясь с внутриклеточными рецепторами, регулируют транскрипцию определенных генов. участие в восприятии света (11 цис- ретиналь - компонент родопсина палочек сетчатки глаза). Гиповитаминоз вит. А - гемералопия, ксерофталмия, кератомаляция, фолликулярный гиперкератоз и т. д. У молодых - остановка роста костей.
Роль вит. А в восприятии света
Ретиноевая кислота
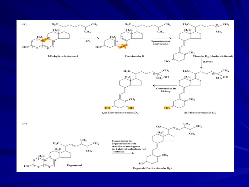
Витамин Д3 - кальциферол, антирахитический витамин Химическое строение - вит. Д2 (эргокальциферол ) и вит. Д3 (холекальциферол) – производные циклопентанпергидрофенантрена. Провитамины: - эргостерол (растения, дрожжи) УФ → витамин Д2. - 7-дегидрохолестерол (кожа) УФ → витамин Д3.
Провитамины вит. Д2 и Д3. 25(ОН)2 Д3 и 1,25(ОН)2Д3
Активные метаболиты вит Д3 Печень — холекальциферол 25-гидроксилаза25(ОН)Д3 (кальцидиол), Почки - 25(ОН)Д3 24-гидроксилаза 24,25 (ОН)2 Д3 и 25(ОН) Д3 1α-гидроксилаза 1,25 (ОН)2 Д3 (кальцитриол) Активные метаболиты вит. Д3 – 1,25 (ОН)2 Д3 и 24,25(ОН)2 Д3 — гормоны.
Превращение 7-дегидрохолестерола в вит.Д3
Синтез вит Д3
Превращение 7-дегидрохолестерола в вит.Д3
Превращение 7-дегидрохолестерола в вит.Д3
7-дегидрохолестерол
25-гидроксихолекальциферол
1,25 (ОН)2 Д3
Витамин Д - кальциферол, антирахитический витамин Биороль – органы- мишени 1,25(ОН)2Д3: кишечник, почки, кости; тонкий кишечник – увеличение всасывания солей Са и Р; почки – усиление реабсорбции солей Са и Р в дистальных отделах почечных канальцев; кости – увеличение резорбции солей Са и Р при пониженном уровне Са2+ в крови . Итоговый эффект– увеличение уровня Са и Р в плазме крови. 24,25(ОН)2Д3 стимулируют остеогенез.
Активные метаболиты витамина Д3 7-дегидрохолестерол кожа ↓ УФ Витамин Д3 (холекальциферол) печень ↓ 25-гидроксилаза 25 (ОН) Д3 (кальцидиол) почки ↓ 1α-гидроксилаза ПТГ 1,25 (ОН)2 Д3 (кальцитриол).
Органы –мишени 1,25(ОН)2Д3 1,25 (ОН)2 Д3
Механизм действия вит. Д3 влияние на генетический аппарат клетки, индукцию синтеза мРНК для кальцийсвязывающих белков. Рецепторы для вит.Д – не только в тканях-мишенях, но и в клетках других тканей, где влияют на рост и дифференцировку тканей.
Витамин Д3 – гипо – и гипервитаминозы Гиповитаминоз вит. Д у детей – рахит – искривление позвоночника, конечностей, деформация костей черепа, грудной клетки, гипотония мышц, повышение нервно--мышечной возбудимости. Причины рахита: ↓ вит. Д3 в рационе; нарушение всасывания вит. Д3 в тонком кишечнике; ↓ синтеза предшественников 1,25(ОН)2Д3 из-за недостаточного пребывания на солнце; дефект 1α гидроксилазы; дефект R кальцитриола в клетках-мишенях.
Витамин Д3 – гипо – и гипервитаминозы При вит. Д – резистентном рахите нарушен синтез гидроксилаз, переводящих вит. Д3 в активное состояние. У взрослых при недостатке вит. Д – остеомаляция. Гипервитаминоз вит. Д – деминерализация костей, повышение уровня Са в крови, отложение его в мягких тканях, образование камней в мочевых путях.
Рахит
Витамин Е, токоферолы Химическое строение- производные токола. α-токоферол Биороль–жирорастворимые антиоксиданты, предотвращают аутоокисление липидов биомембран. Дефицит вит Е – дистрофия мышц и гемолитическая анемия, в результате активации ПОЛ в мембранах эритроцитов и мембранах лизосом мышечных клеток. Выходящие в цитозоль ферменты разрушают мышечную ткань, увеличивая креатинурию.
Структура и биороль вит.Е Вит. Е - антиоксидант, липофильная молекула, способна инактивировать свободные радикалы непосредственно в гидровофобном слое мембраны и т.о.предотвращать развитие цепи ПО ненасыщенных ЖК в липидах мембран клеток и т.о.стабилизировать мембраны.
α-токоферол
Вит. Е (α-токоферол)
Витамин К (антигеморрагический) Вит. К1 и К2 - 2 типа хинонов с боковыми цепями, представленными изопреноидными звеньями. В основе структуры — кольцо 1,4- нафтохинона. Вит. К1 (филлохинон) содержится в растениях. Вит. К2 (менахинон) синтезируется микрофлорой кишечника. Вит. К3 - синтетический аналог вит. К. Викасол – синтезированная натриевая соль бисульфитного производного вит. К.
Cтруктура витаминов К2 и К1 Витамин К1 (филлохинон) Витамин К2 (менахинон)
Витамин К3 Викасол
Витамины К1 и К2
Биороль вит. К кофермент γ-глутамил-карбоксилазы, (превращение глутамата в γ-карбоксиглутамат, необходимый для биосинтеза 4 факторов свертывания крови – факторов II (протромбина), VII, IX, X. -карбоксиглутаминовая кислота образуется из глутамата в результате посттрансляционной модификации 4 указанных факторов свертывания крови. Дополнительные отрицательно заряженные СООН группы облегчают связывание ионов Са с молекулами белков.
Участие вит. К в карбоксилировании глутамата
Участие вит. К в карбоксилировании глутамата
Витамин К Антивитамины вит. К – природный антикоагулянт дикумарол и синтетические аналоги вит. К — конкурентные ингибиторы γ-глутамилкарбоксилазы, препятствуют тромбообразованию. дефицит вит.К - при нарушении всасывания жиров, применении антибиотиков, нарушающих нормальный состав микрофлоры кишечника; возможны нарушения свертывания крови.
Липоевая кислота

