ВИТАМИНЫ — ”амины жизни” (К.Функ) Витамины — это





![Рибофлавин служит структурным элементом простетических групп флавинмононуклеотида [ФМН (FMN)] и флавинадениндинуклеотида [ФАД (FAD)] Рибофлавин служит структурным элементом простетических групп флавинмононуклеотида [ФМН (FMN)] и флавинадениндинуклеотида [ФАД (FAD)]](https://present5.com/presentacii-2/20171208\19636-vitamin.ppt\19636-vitamin_6.jpg)



















19636-vitamin.ppt
- Количество слайдов: 25
ВИТАМИНЫ - ”амины жизни” (К.Функ) Витамины - это необходимые для нормальной жизнедеятельности пищевые низкомолекулярные органические вещества, синтез которых у организмов данного вида отсутствует или ограничен. Источники витаминов у человека - пища и кишечные бактерии. Витамины имеют отличительные особенности: -не включаются в структуры органов и тканей -не используются в качестве источника энергии Классификация Для обозначения каждого витамина существует буквенное обозначение, химическое и физиологическое название 1. Жирорастворимые - А,Е,К,Д витаминоподобные - убихинон(Q), эссенциальные жирные кислоты (F) 2. Водорастворимые группа В, Н,С, витаминоподобные -холин, липоевая кислота, карнитин, оротовая кислота и др. Некоторые витамины поступают в организм в виде предшественников - провитаминов, которые в тканях превращаются в активные вещества. Например, каротиноиды - провитамины А
Дисбаланс витаминов Гиповитаминоз - частичный недостаток витаминов (клинически и биохимически проявляемый) Авитаминоз - крайне выраженный дефицит Гипервитаминоз - избыток витаминов (как правило, жирорастворимые витамины могут накапливаться и оказывать токсическое действие) Все гипо- и авитаминозы имеют конкретные клинические проявления, связанные с нарушением определенных биохимических процессов. Причины дисбаланса витаминов: Экзогенные - нерациональное питание. Эндогенные: нарушение всасывания, высокая потребность заболевания печени, усиление распада поражение микрофлоры кишечника Антивитамины - структурные аналоги витаминов, которые блокируют активные центры ферментов, проявляется клинической картиной гипо- или авитаминоза
Mетаболизм витаминов Жирорастворимые витамины после всасывания в кишечнике депонируются в тканях, водорастворимые – как правило, превращаются в активную форму - кофермент и, соединяясь с апоферментом, образуют сложные белки - холоферменты. После выполнения функции катаболизируют и выводятся из организма. Водорастворимый витамин кофермент апофермент холофермент субстрат продукт
Водорастворимые витамины В1 - тиамин – антиневритный Пиримидин тиазол Активная коферментная форма - тиаминдифосфат ТДФ (кокарбоксилаза), который образуется путем фосфорилирования с помощью тиаминфосфокиназы. Участие в метаболизме. входит в состав пируватдегидрогеназного и альфа-кетоглутаратдегидрогеназного комплексов, т.е. способствует образованию энергии из углеводов и аминокислот входит в состав транскетолазы (неокислительная фаза пентозо-фосфатного пути), необходим для синтеза жиров и нуклеотидов. Гиповитаминоз - полиневрит (бери-бери) - поражается пищеварительная, сердечно-сосудистая и нервная системы.
В2 - рибофлавин – «витамин роста» 6,7-Диметил-9-(D-1-рибитил)- изоаллоксазин Активная форма - ФМН и ФАД - флавиновые коферменты образуются путем фосфорилирования с помощью флавокиназы и АТФ. ФМН и ФАД являются простетическими группами сложных ферментов - флавопротеидов, которые катализируют два типа окислительно-восстановительных реакций: прямое окисление с участием кислорода (оксидазы аминокислот, ксантионоксидаза и др.) перенос электронов и протонов в дыхательной цепи, т.е. участвуют в биологическом окислении. Гиповитаминоз - поражение эпителия слизистых кожи и роговицы глаз. Применяется при дерматитах, кератитах, конъюктивитах.
Рибофлавин служит структурным элементом простетических групп флавинмононуклеотида [ФМН (FMN)] и флавинадениндинуклеотида [ФАД (FAD)]
Восстановленные формы этих кофакторов способны транспортировать водород и электроны к дыхательной цепи митохондрий или иных энергосопрягающих мембран.
Кофермент оксидоредуктаз – обеспечивает перенос 2 атомов водорода в окислительно-восстановительных реакциях.
Восстановленный НАД в дыхательной цепи окисляется НАДН-дегидрогеназой, содержащей железосерный белок (FeS) и ФМН, прочно связанной с дыхательной цепью.
пиридоксол пиридоксаль пиридоксамин Коферментные формы – пиридоксальфосфат - ПАЛФ, пиридоксаминфосфат – ПАМФ B6 АТФ АДФ ПАЛФ ПАЛФ ПАМФ Биологическая роль – входит в состав пиридоксалевых ферментов, катализирующих основные реакции азотистого (белкового) обмена (аминотрансфераз, декарбоксилаз АК), Участвует в активном транспорте АК через клеточную мембрану Витамин В6 — групповое название трех витамеров пиридина: пиридоксаль, пиридоксин и пиридоксамин. Гиповитаминоз – пеллагроподобный дерматит, полиневрит; Пиридоксзависимые энзимопатии
Активной формой витамина В6 является пиридоксаль-5-фосфат (PLP), важнейший кофермент декарбоксилаз в метаболизме аминокислот и аминотрансфераз.
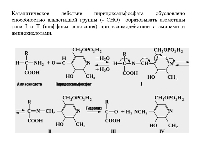
Каталитическое действие пиридоксальфосфата обусловлено способностью альдегидной группы (- CHO) образовывать азометины типа I и II (шиффовы основания) при взаимодействии с аминами и аминокислотами.
Ферменты, катализирующие синтез и распад цистатионина (циста-тионин-β-синтаза и цистатионаза), содержат ПФ.
Биологическая роль : метил-В12 совместно с ТГФК участвует в реакциях трансметилировагния (ресинтез метионина, синтезы адреналина, креатина, пуриновых и пиримидиновых основагний) -ДА –В12 кофермент метилмалонилКоАмутазы (катализирует превращение метилмалонилКоА в сукцинилКоА Гиповитаминоз – мегалобластическая анемия, пернициозная анемия (болезнь Аддисона-Бирмера) Коферментные формы: метилкобаламин (метил-В12) дезоксиаденозилкобаламин (ДА - В12) ВИТАМИН В12 - кобаламин – антианемический
Витамин В12 участвует в двух видах реакций – реакции изомеризации и метилирования. Основой изомеризующего действия витамина В12 является возможность способствовать переносу атома водорода на атом углерода в обмен на какую-либо группу. Общая схема реакции изомеризации
Это имеет значение в процессе окисления остатков жирных кислот с нечетным числом атомов углерода, при утилизации углеродного скелета треонина, валина, лейцина, изолейцина, метионина, боковой цепи холестерола. Участие витамина В12 в метаболизме метилмалонил-SКоА
Участие в трансметилировании аминокислоты гомоцистеина при синтезе метионина. Метионин в дальнейшем активируется и используется для синтеза адреналина, креатина, холина, фосфатидилхолина и др. Участие витамина В12 в метилировании гомоцистеина
В3 - Пантотеновая кислота Коферментная форма - кофермент ацилирования КоА 3-фосфоаденози -5-дифосфат пантотеновая кислота тиоэтиламин-SH Реакционноспособный участок кофермента - группа SH, по которой происходит связывание остатков карбоновых кислот - ацилов Участвует в многочисленных биохимических реакциях: активация ацетата и жирных кислот окисление и синтез жирных кислот синтез холестерина и других стероидов синтез кетоновых тел синтез ацетилхолина синтез гема окислительное декарбоксилирование пирувата и альфа-КГ реакции ЦТК Недостаточность (в эксперименте) проявляется как дерматиты, дистрофические изменения в сердце и почках, параличи, истощение.
В9, Вс - фолиевая кислота – «фактор роста» У беременных потребность в этом витамине увеличивается в 2 раза. Коферментная формаобразуется путем восстановления соответствующим ферментом - редуктазой ФК + НАДФ Н ------> ДГФК + НАДФ ДГФК + НАДФН -------> ТГФК + НАДФ функции - перенос одноуглеродных радикалов: метил оксиметил формил метилен метенил формимин Первичными источниками этих групп являются серин, глицин, метионин, холин, гистидин, триптофан, формальдегид, муравьиная кислота. Фолиевые коферменты участвуют вряде важных метаболических процессов: синтез пуриновых и пиримидиновых нуклеотидов (дУМФ-------->дТМФ) синтез метионина синтез глицина и серина Недостаточность фолиевой кислоты ведет к развитию мегалобластической анемии (нарушение синтеза ДНК и пролиферации кроветворных клеток
Биотин - витамин Н Коферментная форма - N-карбоксибиотин Входит в состав биотиновых ферментов, связываясь с аминогруппой лизина в активном центре этих ферментов. Кофермент биотина способствует усвоению тканями углекислоты, катализируя реакции двух типов: реакции карбоксилирования, сопряженные с распадом АТФ например, а) пируват оксалоацетат (анаплеротическая - поплняющая реакция ) б) ацетилКоА малонилКоА реакции транскарбоксилирования - без участия АТФ Таким образом, биотин обеспечивает течение глюконеогенеза, синтеза ВЖК, восполнение ЦТК и др. В яичном белке содержится гликопротеид - аведин, который обпазует специфический нерастворимый комплекс с биотином, который не расщепляется в ЖКТ, что ведет к дефициту биотина. пируваткарбоксилаза
В5 - РР - никотинамид – «антипеллагрический» В отличие от других витаминов частично может синтезироваться из аминокислоты триптофана. Коферментные формы - НАД и НАДФ, которые входят в состав пиридиновых дегидрогеназ Функции: перенос водорода в окислительно-восстановительных реакциях субстрат для синтетических реакций репликации и репарации аллостерические эффекторы для ферментов энергетического обмена Недостаток витамина - пеллагра: дерматиты, диарея, деменция.
В5 – РР - никотиновая кислота, никотинамид, ниацин, антипеллагрический КОФЕРМЕНТНЫЕ ФОРМЫ – никотинамидадениндинуклеотид – НАД+ никотинамидадениндинуклеотидфосфат -НАДФ+ НАД+ НАДФ+ Биологическая роль никотиновых коферментов– - перенос водорода в окислительно- восстановительных реакциях; - субстраты для синтетических реакций аллостерические регуляторы ряда ферментов Гиповитаминоз – пеллагра: дерматит диаррея деменция
В3 - ПАНТОТЕНОВАЯ КИСЛОТА Коферментные формы – коферментА (коэнзим А) НS-КоА, 4-фосфопантетеин Биологическая роль: НS-КоА участвует в реакциях: - активация ацетата и жирных кислот -окисление и синтез ВЖК --синтез холестерина и других стероидов, -синтез кетоновых тел -ацилирование в синтезах гема и ацетилхолина -окислительгное декарбоксилирование пирувата и -кетоглутарата Всасывание различных веществ в ЖКТ
ФК + НАДФН2 ДГФК + НАДФ+ ДГФК + НАДФН2 ТГФК + НАДФ+ Биологическая роль: участвует в процессах обмена пуриновых и пиримидиновых нуклеотидов, аминокислот (метионина, серина, глицина) Гиповитаминоз
ВИТАМИН Н – Биотин – антисеборейный витамин Биологическая роль - в качестве простетической группы входит в состав биотиновых ферментов, катализирующих реакции карбоксилирования и транскарбоксилирования: биосинтез жирных кислот (ацетил-КоА-карбоксилаза) -превращение пирувата в оксалоацетат (пируваткарбоксилаза) - биосинтез пуриновых нуклеотидов Гиповитаминоз – при нарушении нормальной микрофлоры кишечника (при длительном приеме антибиотиков и сульфаниламидов). В эксперименте на животных при длительном скармливании сырого яичного белка, который содержит белок авидин, препятствующий нормальному всасыванию биотина. Проявляется патологическими изменениями кожи по типу себореи, выпадение волос, поражение ногтей, депрессия Источник – микрофлора кишечника, продукты растительного и животного происхождения

