e72d46e8dac0f91baf00c45e2b1af18b.ppt
- Количество слайдов: 93
UEE 3504: Introduction to Communication Systems Po-Ning Chen, Professor Dept. of Electrical and Computer Eng. National Chiao Tung University
Background and Preview To give you a basic understanding of communications
Figure-1 Theory o The next figure is always the “Figure 1” in every book regarding communications. © Po-Ning Chen@ece. nctu Background 3
Communications o What is communication (or more specifically, communication engineering)? n The transmission of information from one point to another through a succession of certain processes. © Po-Ning Chen@ece. nctu Background 4
Basic Elements Regard Communications o Source of information n Voice, music, picture, or computer data © Po-Ning Chen@ece. nctu Background 5
Basic Elements Regard Communications o Transmitter n Source → Source Symbol (i. e. , Source Word) o Symbolize the information from a source n Source Symbol → Code Word o Encode the source symbol so that the other sources (i. e. , noise and interfering signal) can hardly interfere the information transmission. n Code Word → Channel Symbol (i. e. , Transmitted Signals) o Modulate the code word into a form that is suitable for transmission over the channel, which involves varying some parameter of a carrier wave in accordance with the message signal. © Po-Ning Chen@ece. nctu Background 6
Basic Elements Regard Communications o Noise/Interference n Unwanted waves that tend to disturb the transmission and processing of messages. n Could be internal or external to the system. n Could be additive or multiplicative (or both) to the information-bearing signals. © Po-Ning Chen@ece. nctu Background 7
Basic Elements Regard Communications o Receiver n Hard Decision o Channel Symbol → Code Bit o Decode from Code Bits to Code Word → Source Symbol → Source n Soft Decision o Decode from Channel Symbol to Code Word → Source Symbol → Source © Po-Ning Chen@ece. nctu Background 8
Example: Basic Elements Regard Communications o Source = An alphabet “A” © Po-Ning Chen@ece. nctu Background 9
Example : Basic Elements Regard Communications o Transmitter n Source “A” → Binary Source Symbol (01000001) o Symbolize the information from a source n Source Symbol (01000001) → Code Word (000 111 000 000 000 111) o Encode the source symbol by the three-times repetition code so that the other sources (i. e. , noise and interfering signals) can hardly interfere the information transmission. o 001, 010, 011, 100, 101, 110 are not code words. Hence, their appearance is possible only when noise is introduced. © Po-Ning Chen@ece. nctu Background 10
Example : Basic Elements Regard Communications n Code Word (000 111 000 000 000 111) → Channel Symbol (000 555 000 000 000 555 ) o Modulate the code word into some channel-permissible (physical-medium permissible) symbols. n Due to Channel Interference, we receive: 010 442 222 033 011 020 032 434 © Po-Ning Chen@ece. nctu Background 11
Example : Basic Elements Regard Communications o Receiver n Hard Decision o Channel Symbol 010 442 222 033 011 020 032 434 → Code Bit (Threshold 2. 5) 000 110 000 011 000 010 111 o Decode from Code Bits to Code Word (Majority Rule) 000 111 000 000 111 o Code Word 000 111 000 000 111 → Source Symbol 01010001 → Source “Q” © Po-Ning Chen@ece. nctu Background 12
Example : Basic Elements Regard Communications o Receiver n Soft Decision o Decode from Channel Symbol 010 442 222 033 011 020 032 434 to (channel-symbolized) Code Word 000 555 000 000 000 555 n By finding the minimum distance to legitimate codewords 000 and 111. n E. g. , d(033, 000) = (0 -0)2+(3 -0)2 = 18 d(033, 555) = (0 -5)2+(3 -5)2 = 33 o Code Word 000 111 000 000 000 111 → Source Symbol 01000001→ Source “A” © Po-Ning Chen@ece. nctu Background 13
Basic Modes of Communications o Broadcasting n Often, uni-directional. n A single powerful transmitter to numerous (inexpensive) receivers n Example. Radio and TV. o Point-to-point communication n Often, bi-directional. n Two entities exchange information. n Example. Telephone. © Po-Ning Chen@ece. nctu Background 14
Feature of Communications o Statistics n n n The source is statistical in nature. The noise and interference are naturally random. Principles of Communication Engineering: How to design a communication system only based on the knowledge of the statistics of the source and interferences (without knowing exactly what the true source and interference are)? © Po-Ning Chen@ece. nctu Background 15
Feature of Communications o Example n Source o We do not know if the next source symbol is 0 or 1. o But, we do know the probability of the next source symbol being 0, and also, the probability of the next source symbol being 1. n Noise/Interference o We do not know what value the noise/interference will take? o But, we do know the noise is, say, Gaussian distributed. © Po-Ning Chen@ece. nctu Background 16
Feature of Communications o This is the reason why “Probabilities” (Chapter 1) is considered an important background to communication study. © Po-Ning Chen@ece. nctu Background 17
Primary Communication Resources o Primary Communication Resources are something “known” at the design stage. n As aforementioned, source and noise/interference are (often) something “unknown” at the design stage. © Po-Ning Chen@ece. nctu Background 18
Primary Communication Resources o Examples of Primary Communication Resources n Transmission Power o Specifically, it’s the average power of the transmitted signals. o A more useful measure than the absolute transmission power is the signal-to noise (power) ratio (SNR), defined as the ratio of the average signal power to the average noise power. This quantity is often expressed in decibel (d. B), which is defined as 10 log 10(SNR). n Channel Bandwidth o The band of frequencies for use of transmitting messages. © Po-Ning Chen@ece. nctu Background 19
Primary Communication Resources o Design principle of a communication system n How to efficiently use (usually in a tradeoff fashion) the communication resources! © Po-Ning Chen@ece. nctu Background 20
Sources of Information o “Sources” can sometimes be viewed as one kind of Communication Resources. n For example, there are systems designed specifically for “exchanging voices. ” n Such a system may not be apt to transmit computer data. n This introduces the subjects of “Source-Specific Communication. ” n Next, we brief several sources commonly seen in the literature. © Po-Ning Chen@ece. nctu Background 21
Sources of Information: (1) Speech o Features n Voice spectrum extends well beyond 10 k. Hz. n Most of the average power is concentrated in the range of 100 to 600 Hz. Pitch Name Freq (Hz) Do Re Mi Fa So 261. 6 293. 7 329. 6 349. 2 392. 0 La Si Do 440 493. 9 523 n A band of 300 to 3100 Hz gives good articulation. n The sound wave propagates through the air at a speed of 300 meter/second. © Po-Ning Chen@ece. nctu Background 22
Schematic representation of the vocal system © Po-Ning Chen@ece. nctu Background 23
Sources of Information: (1) Speech o The speech-production process may be viewed as a form of filtering: n A sound source excites a vocal tract filter. Excitation + Vocal Tract a 9 + © Po-Ning Chen@ece. nctu + + Glottal Volume a 1 D a 10 Speech Lips D Background 24
Sources of Information: Speech o As the sound propagates along the vocal tract, the spectrum (i. e. , frequency content) is shaped by the frequency selectivity of the vocal tract — a resonance phenomenon observed in organ pipe. o So the hearing mechanism is (and should be) sensitive to frequency. © Po-Ning Chen@ece. nctu Background 25
Source of Information: Music o Originate from musical instruments, such as piano, violin, and flute. o It consists of: n Melody: A time sequence of sounds. n Harmony: A set of simultaneous sounds. o Different from speech, the spectrum of a music source may extend up to about 15 KHz. n Accordingly, a much wider bandwidth resource is demanded. © Po-Ning Chen@ece. nctu Background 26
Source of Information: Pictures o Two dimensional information. o Classifications n Dynamic pictures – Video, such as North American Audio TV (NAA-TV) n Still pictures – Facsimile. o To transmit still picture over a telephone channel. © Po-Ning Chen@ece. nctu Background 27
Source of Information: NAA-TV o North American Analog TV n 525 horizontal lines, decomposed into two 262. 5 line interlaced fields (See the next slide. ) n Completion of each interlaced field takes 1/60 second o Horizontal line-scanning frequency is 262. 5/(1/60) = 15. 75 KHz. n Hence, 30 still pictures are shown per second. n The human “persistence of vision” phenomenon will perceive these still pictures to be moving pictures. © Po-Ning Chen@ece. nctu Background 28
Source of Information: NAA-TV Interlaced raster scan. © Po-Ning Chen@ece. nctu Background 29
Source of Information: NAA-TV n In the NTSC (National Television System Committee) system, a total of 4. 2 MHz bandwidth is demanded for TV transmission. © Po-Ning Chen@ece. nctu Background 30
Source of Information: Computer Data o The first code developed specifically for computer communication (1967) – ASCII (American Standard Code for Information Interchange). © Po-Ning Chen@ece. nctu Background 31
Source of Information: Computer Data © Po-Ning Chen@ece. nctu Background 32
Source of Information: Computer Data o ASCII (American Standard Code for Information Interchange) Bit originates from “Binary Digit. ” n 7 -bit code for alphabetic numerical characters n Bit 8 is sometimes used as parity-check bit or used to form the extended ASCII code o Even parity: Total number of 1’s is even. o Odd parity: Total number of 1’s is odd. n Extended ASCII code can be displayed but cannot necessarily be printed out. © Po-Ning Chen@ece. nctu Background 33
Source of Information: Computer Data o Since ASCII is defined for communication, it also includes some symbols for communication purpose such as n ENQ (enquiry) – 05 X n ETB (end of transmission block) – 17 X © Po-Ning Chen@ece. nctu Background 34
Source of Information: Computer Data o RS (Recommended Standard) -232 Transmission n Synchronous n Asynchronous © Po-Ning Chen@ece. nctu Background 35
Source of Information: Computer Data o Asynchronous Serial Data n n n No clock or timing signal required. ST : start bit S : stop bit P : parity bit D 6~D 0 : data bits (often, exact one ASCII character) Usually, 10 bit frame with even-parity/7 -data-bit or no-parity/8 -data-bit. frame © Po-Ning Chen@ece. nctu Background 36
Source of Information: Computer Data o Synchronous Serial Data n n n No start and stop bits required. P : parity bit D 6~D 0 : data bits (ASCII) Clock : Timing signal. Note that it requires sync character (after a certain number of frames) to avoid losing synchronization. If two sync characters are used. it is called bi-sync. Data Clock © Po-Ning Chen@ece. nctu Background 37
Source of Information: Computer Data o Windows 98 n Baud rate : 110 baud~921600 baud (The # is different for different computers) n (E)ven parity, (O)dd parity, (N)one -parity, Mark, Space n 4~8 Data-bit n 1, 1. 5, 2 Stop-bit The name of “mark” and “space” for 1 and 0 comes from the days of telegraphy. © Po-Ning Chen@ece. nctu Background 38
Source of Information: Computer Data © Po-Ning Chen@ece. nctu Background 39
Source of Information: Computer Data © Po-Ning Chen@ece. nctu Background 40
Source of Information: Computer Data o The computer data stream so formed is then applied to a device called a modem (modulatordemodulator). o Unlike source traffic from speech or video, the computer data is often bursty rather than continuous. © Po-Ning Chen@ece. nctu Background 41
Missed Part of Figure-1 in Textbook o Source before entering the transmitter is often compressed (in order to save time or space). o This part is missing in Figure 1 of the textbook. © Po-Ning Chen@ece. nctu Background 42
With a source encoder, a digital communication system (rather than an analog communication system) is formed. © Po-Ning Chen@ece. nctu Background 43
Data Compression o Lossless Data Compression (or Data Compaction) n Completely reversible (or asymptotically reversible). n E. g. , Lempel-Ziv algorithm (PKZIP, compress, etc), which will be introduced in Chapter 9. o Lossy Data Compression n Non-reversible with loss of information in a controlled manner. n E. g. , JPEG, MPEG, etc. © Po-Ning Chen@ece. nctu Background 44
Lossy Data Compression for Images o JPEG (Joint Photographic Experts Group) n An image coding standard n Pixels are grouped in 8 -by-8 block. n DCT (discrete cosine transform) is then applied to each block. n Quantize each of the 64 DCT coefficients according to a pre-specified table. n Huffman-encode (introduced in Chapter 9) the quantization results. © Po-Ning Chen@ece. nctu Background 45
Lossy Data Compression for Images n DCT where © Po-Ning Chen@ece. nctu Background 46
Lossy Data Compression for Video o MPEG-1 (Motion Photographic Experts Group) video coding standard n A video coding standard primarily for 30 fps (frames per second) video n Result in a bit-stream rate of 1. 5 megabits per second © Po-Ning Chen@ece. nctu Background 47
Lossy Data Compression for Video n Design objective : To reduce four kinds of redundancies: o Interframe (temporal) redundancy n Its reduction is achieved through the use of prediction to estimate each frame from its neighbors. n The resulting prediction error is transmitted for motion estimation and compensation. o Interpixel redundancy within a frame o Psychovisual redundancy o Entropic coding redundancy © Po-Ning Chen@ece. nctu Background 48
Lossy Data Compression for Video n As with JPEG, the last three redundancies are reduced through the combined use of DCT, quantization and lossless entropic coding. © Po-Ning Chen@ece. nctu Background 49
Lossy Data Compression for Audio o MPEG-1 audio coding standard n A perceptual (waveform) coder, as contrary to a vocoder o The amplitude-time waveform of the decoded audio signal closely approximates that of the original audio signal. © Po-Ning Chen@ece. nctu Background 50
Lossy Data Compression for Audio n Encoding process o Time-Frequency Mapping (sub-band decomposition) o Psychoacoustic modeling (operates according to the psychoacoustic behavior of the human auditory system) o Quantization and coding o Frame-packing (format the quantized audio samples into a decodable bit stream) © Po-Ning Chen@ece. nctu Background 51
Lossy Data Compression for Audio n Why Psychoacoustic modeling? o Human ears have a perceptual phenomenon known as auditory masking. o Specifically, the human ear does not perceive quantization noise in a given frequency band if the average noise power lies below the masking threshold o The masking threshold varies with frequency across the band. o Hence, a perceptual weighting filter is applied to waveforms before quantization. © Po-Ning Chen@ece. nctu Background 52
OSI (Open System Interconnection) model; the acronym DLC in the middle of the figure stands for data link control. o OSI © Po-Ning Chen@ece. nctu Background 53
Communication Networks o OSI reference model was developed by ISO (International Organization for Standardization) in 1977. o Figure 1 only concerns PHY layer. o Now we take a quick look of its relation with higher layers, such as Network layers. © Po-Ning Chen@ece. nctu Background 54
Communication Networks Network Layer : Routers © Po-Ning Chen@ece. nctu Background 55
Communication Networks o Routing mechanisms n Circuit Switching o Uninterrupted, exclusively use of links o E. g. , Telephone. n Packet Switching o Shared-on-demand links © Po-Ning Chen@ece. nctu Background 56
Communication Networks o Why OSI reference model? n Each layer can perform its related subset of primitive functions without knowing the implementation details of the next lower layer. n The adjacent layers communicate through welldefined interfaces, which defines the services offered by the lower layer to the upper layer. © Po-Ning Chen@ece. nctu Background 57
Communication Networks o The entities that comprise the corresponding layers on different systems are referred to as peer processes. o Two peer entities then communicate through a well-defined set of rules of procedures, named Protocol. o Again, this text/course primarily considers PHY layer. © Po-Ning Chen@ece. nctu Background 58
Internet o Internet – A special communication network, as contrary to an Intranet. o Features of Internet n Applications are carried out independently of the technology employed to construct the network. n The network technology is capable of evolving without affecting the applications. © Po-Ning Chen@ece. nctu Background 59
Internet o Architecture of Internet Cross-Router Data Exchange Direct Data Exchange © Po-Ning Chen@ece. nctu Background 60
Internet Protocol (IP) © Po-Ning Chen@ece. nctu Background 61
Internet Service o Internet Service is “Best Effort” in nature. o As a consequence, no guarantees of timely transmission, and even delivery. © Po-Ning Chen@ece. nctu Background 62
Communication Channels o Channels, where the noise/interference resides, can be roughly divided into two groups: n Guided propagation channels o E. g. , telephone channels, coaxial cables, and optical fibers n Free propagation channels o E. g. , broadcast channels, mobile radio channels, and satellite channels © Po-Ning Chen@ece. nctu Background 63
Communication Channels: (i) Telephone Channel o Features of telephone channel n A channel performs “voice → electrical signal → sound” n Band-limited channel o A speech signal (male or female) is essentially limited to a band from 300 to 3100 Hz. © Po-Ning Chen@ece. nctu Background 64
Communication Channels: (i) Telephone Channel o Measures used in characterizing channel n Insertion loss = 10 log 10 (P 0/PL) d. B o PL = power delivered to a load from a source via the channel o P 0 = power delivered to the same source not via the channel Channel PL P 0 © Po-Ning Chen@ece. nctu Background 65
Communication Channels: (i) Telephone Channel n Envelope delay o The negative of the derivative of the phase response with respect to the angular frequency w = 2 pf. o Example. Envelope delay = a for the next channel. The phase response of a channel filter H(f) is b(f), where © Po-Ning Chen@ece. nctu Background 66
Communication Channels: (i) Telephone Channel Insertion Loss © Po-Ning Chen@ece. nctu Envelope Delay Background 67
Communication Channels: (ii) Coaxial Cable o A coaxial cable offers a greater degree of immunity to electromagnetic interference (EMI), and a much higher bandwidth than twisted pair telephone lines. o Example of its applications n Local area network in an office environment n Cable television © Po-Ning Chen@ece. nctu Background 68
Communication Channels: (iii) Optical Fiber o Features n Enormous potential bandwidth o The bandwidth is roughly equal to 10% of the carrier frequency (2 1014 Hz). o Notably, the transmission attainable limit (for additive white Gaussian noise with SNR=10 d. B) is around © Po-Ning Chen@ece. nctu Background 69
Communication Channels: (iii) Optical Fiber n Low transmission loss o 0. 1 d. B/km n Immunity to EMI n Small size and weight (thinner than human hair) n Ruggedness and flexibility o Possibility of being bent or twisted without damage © Po-Ning Chen@ece. nctu Background 70
Communication Channels: (iv) Wireless Broadcast Channels o Transmission n Up-convert the modulated baseband informationbearing signal to Radio Frequency (RF) passband signal n Transmit the RF passband signal via antenna o Reception n Pick up the radiated waves by an antenna. n Down-convert the received passband signal to baseband signal (perhaps through an intermediate step called the intermediate frequency (IF) band). © Po-Ning Chen@ece. nctu Background 71
Communication Channels: (v) Mobile Radio Channels o The main difference between this channel and the previous channel is the consideration of mobility. n Due to mobility, there is no “line-of-sight” path for communication; n rather, radio propagation takes place mainly by way of scattering from the surfaces of the surrounding buildings and by diffraction over and around them. n This results in a multipath fading transmission. © Po-Ning Chen@ece. nctu Background 72
Communication Channels: (v) Mobile Radio Channels Transmitter Receiver Notably, aj and tj can also be functions of time. © Po-Ning Chen@ece. nctu Background 73
Communication Channels: (vi) Satellite Channels o Satellite communications n The satellite is placed in geostationary orbit. o Geostationary orbit 1. The satellite orbits the Earth in exactly 24 hours (geosynchronous). 2. The satellite is placed in orbit directly above the equator on an eastward heading. n It acts as a powerful repeater in the sky. n It often uses 6 GHz for the uplink and 4 GHz for the downlink. © Po-Ning Chen@ece. nctu Background 74
Communication Channels: (vi) Satellite Channels n The 6/4 -GHz band offers the following attributes: 1. Relatively inexpensive microwave equipment 2. Low attenuation due to rainfall n Rainfall is a primary atmospheric cause of signal loss. 3. Insignificant sky background noise n The sky background noise due to random noise emissions from galactic, solar and terrestrial sources reaches its lowest level between 1 and 10 GHz. © Po-Ning Chen@ece. nctu Background 75
Communication Channels: (vi) Satellite Channels n A typical satellite in the 6/4 -GHz band is assigned a 500 MHz bandwidth, which is divided among 12 transponders. o Each transponder can carry at least one color television signal, 1200 voice circuits, or digital data at a rate of 50 Mb/s. © Po-Ning Chen@ece. nctu Background 76
Classifications of Communication Channels (according to the natures or resources) o Linear or non-linear n A wireless radio channel is linear whereas a satellite channel is usually non-linear. o Time invariant or time varying n An optical fiber is time invariant, whereas a mobile radio channel is typically time varying. o Band limited or power limited n A telephone channel is band limited, whereas an optical fiber link and a satellite channel are both power limited. © Po-Ning Chen@ece. nctu Background 77
Classification of Modulation Process o Continuous-wave modulation n A sinusoidal wave is used as the carrier. n It can be further classified as: o Amplitude modulation (AM) : Amplitude of the carrier is varied in accordance with the message. o Frequency modulation (FM) : Frequency of the carrier is varied in accordance with the message. o Phase modulation (PM) : Phase of the carrier is varied in accordance with the message. © Po-Ning Chen@ece. nctu Background 78
Classification of Modulation Process o Pulse modulation n The carrier consists of a sequence of rectangular pulses. n It can be sub-divided to: o Analog pulse modulation o Digital pulse modulation © Po-Ning Chen@ece. nctu Background 79
Classification of Modulation Process n Analog pulse modulation o Pulse-amplitude modulation (PAM), pulse-duration modulation (PDM), pulse-position modulation (PPM) o The amplitude, duration, position of the pulses varies in accordance with the message signals. n Digital pulse modulation o Pulse-code modulation (PCM) © Po-Ning Chen@ece. nctu Background 80
Example of PAM (Telephone System) Sampling the voice according to some clocks. © Po-Ning Chen@ece. nctu Background 81
Example of PCM o Originate from PAM, but with the following modifications. n Convert the (sampled) pulse into bits, e. g. , 8 bits. n All 8 bits of the input PCM signal are gated to the output port in parallel. n The gate can now be designed using “truth table” which facilitates system integration or multiplexing. © Po-Ning Chen@ece. nctu Background 82
What is multiplexing? o To combine (several modulated) signals for their simultaneous (or concurrent) transmission. n n Frequency-division multiplexing (FDM) Time-division multiplexing (TDM) Code-division multiplexing (CDM) Wavelength-division multiplexing (WDM), specifically for use of optical fibers. o Some treats WDM as a special case of FDM, since c = f l. © Po-Ning Chen@ece. nctu Background 83
Shannon’s Information Capacity Theorem o The underlying limit for digital communications © Po-Ning Chen@ece. nctu Background 84
Transmission Rate = Source code bit per second (Information bit per second) © Po-Ning Chen@ece. nctu Background 85
Shannon’s Information Capacity Theorem o Reliable transmission rate (for pre-specified modulator, channel and demodulator). n The rate for which a proper design of channel encoder-decode pair can fulfill arbitrarily small error requirement. o Shannon finds the general formula for the largest reliable transmission rate, which he baptized as “(coding) channel capacity. ” © Po-Ning Chen@ece. nctu Background 86
Shannon’s Information Capacity Theorem o For additive white Gaussian noise as demodulator output = modulator input + Gaussian the channel capacity is equal to C = B log 2(1+SNR) bits/second, where B is the bandwidth. o It took 45 years (1948~1993) of research to reach this “capacity!” © Po-Ning Chen@ece. nctu Background 87
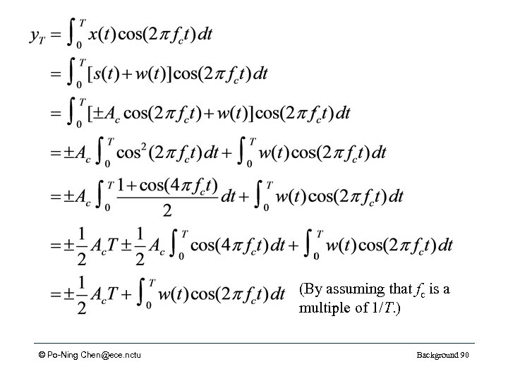
An Exemplified Ideal Digital Communication Problem – Phase Shift Keying Channel Encoder … 0110 …, -m(t), -m(t) Modulator m(t) No IF here because this is an ideal system. 0110… >0 < T Local carrier cos(2 pfct) y. T x(t) w(t) Carrier wave Accos(2 pfct) s(t) correlator © Po-Ning Chen@ece. nctu Background 88
An Exemplified Ideal Digital Communication Problem – Phase Shift Keying o Assume that the local carrier (at the receiver end) is exactly the same as the transmitter carrier. o Assume that the correlator is completely synchronized with the transmitter. n So the integration inside correlator covers a complete message signal m(t). In other words, it will not happen that the integration inside correlator covers 80% of the current m(t) but 20% of the previous m(t). © Po-Ning Chen@ece. nctu Background 89
(By assuming that fc is a multiple of 1/T. ) © Po-Ning Chen@ece. nctu Background 90
An Exemplified Ideal Digital Communication Problem – Phase Shift Keying o Some interesting issues to consider: n What if the local carrier does not equal the transmitter carrier. n What if fc is not a multiple of 1/T. n What if the receiver does not synchronize with the transmitter? n What is the BER of this system? © Po-Ning Chen@ece. nctu Background 91
An Exemplified Ideal Digital Communication Problem – Phase Shift Keying n Is the correlator receiver optimal in the sense of BER? n Is the “sign-decision” optimal in the sense of BER? n Is the above combination optimal in the sense of BER? n Is the BER robust for imperfect system, such as timing and carrier mismatch? n Is the rectangular m(t) a fine choice? Moreover, is PSK a fine choice? If affirmative, in what sense? n …. © Po-Ning Chen@ece. nctu Background 92
An Exemplified Ideal Digital Communication Problem – Phase Shift Keying o All these problems will be hopefully answered in this course (and subsequent courses). © Po-Ning Chen@ece. nctu Background 93


