70f4187fe9ac47d910ca37cb42a2e6be.ppt
- Количество слайдов: 40
Учитель физики СОШ № 5 г. Павлодара Хренова Ольга Юрьевна
Решение:
Задача. На рисунке дан график зависимости координаты от времени х(t) прямолинейно движущегося тела. Участок графика, соответствующий движению, с ускорением (рис. 7186 в. 25)
Задача Эскалатор метрополитена поднимает неподвижно стоящего на нем пассажира в течение одной минуты. По неподвижному эскалатору пассажир поднимается за три минуты. Пассажир по движущемуся эскалатору будет подниматься Решение.
Задача: Человек спускается на парашюте с высоты 200 м с постоянной скоростью 4 м/с. Ветер сносит его в горизонтальном направлении со скоростью 3 м/с. Путь, пройденный парашютистом за время спуска равен Решение:
на стекле
Решение:
1 способ. 2 способ.
Задача: Тело брошено вертикально вверх со скорость 30 м/с. Определите путь и перемещение, пройденные телом за 5 секунд
Задача. Минутная стрелка длиной 5 см в начальный момент времени находится на 12 часах. Путь и перемещение за время, когда стрелка оказалась на 3 -х часах ( 4 - х, 6 -ти, 9 -ти часах) или
Решение:
Задача. Если скорость движения лодки относительно воды в n раз больше скорости течения реки, то поездка на лодке между двумя пунктами против течения занимает времени больше, чем по течению Решение:
Задача. Скорость движения теплохода относительно берега вниз по течению реки 22 км/ч, а вверх- 16 км/ч, то скорость теплохода относительно воды (м. б. скорость течения) Решение:
Решение: Среднепутевая скорость
Задача. Тело свободно падает из состояния покоя с высоты 80 м. Его перемещение в последнюю секунду падения равно… Для Если : :
Решение:
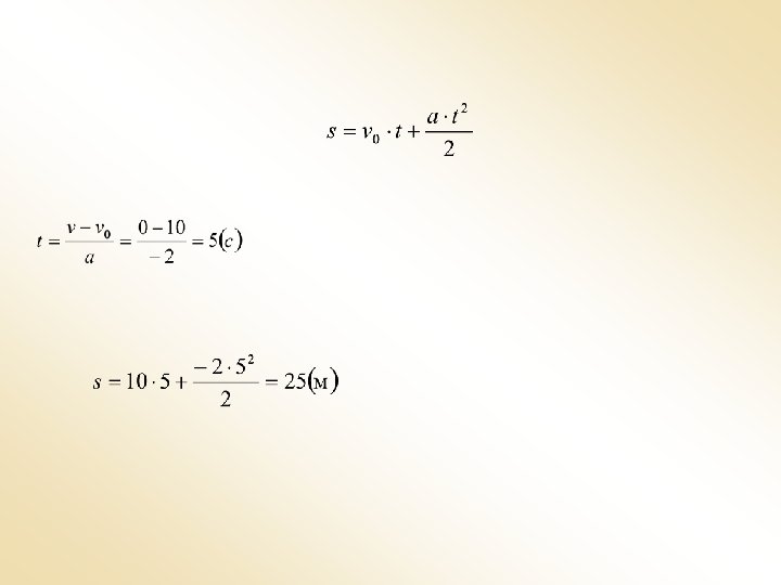
Задача: Реактивный самолет летит со скоростью 720 км/ч. С некоторого момента самолёт движется с ускорением в течении 10 с и в последнюю секунду проходит путь в 295 м. Найти 1) Ускорение самолета 2) Скорость в конце 10 -ти секунд. Решение:
Решение:
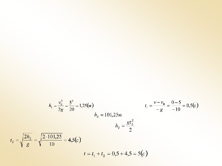
Задача: В момент, когда первое тело начинает свободно падать с высоты 80 см над поверхностью Земли, второе тело бросили вертикально вверх с поверхности земли со скоростью 2 м/с. Время, через которое тела встретятся
Решение:
Решение:
Задача. Тело без начальной скорости падает с некоторой высоты Н и за последнюю секунду своего падения проходит путь равный (3/4)Н. Тело падало с высоты Решение:
Задача м. б. решена быстрее, если вспомнить условие: при равнопеременном движении отношение путей за равные промежутки времени представляет собой ряд нечетных чисел
Решение:
Решение:
Массу мы легко найдем, умножив плотность на объём. Три закона Ньютона; 1) не пнёшь - не полетит; 2) как пнёшь, так полетит; 3) как пнёшь- так и получишь. Не лезьте в воду глубоко – В воде давленье велико. Чтобы в скорость жизнь вдохнуть, Надавит сверху РО-ЖЕ-АШ Раздели на время путь: v = S / t И вдруг концы свои отдашь? Плотность тела так найдём: P = ρgh Делим массу на объём: ρ = m / v Три кота на маленькое мясо. Три рта на большое мясо Мой знакомый Амонтон Предложил простой закон. «Сила тренья такова: μ на N – и все дела!» : Fтр = μ N «Бац!» - взмахнул кнутом пастух. «Пора вставать!» - пропел петух. Если слово «бац» запомнишь, Формулу объёма вспомнишь: V = bac Бабочка летела в синий лес, Вот тебе и ЭДС: ε = B l v s «Масса Кита» — для запоминания закона электролиза Фарадея m=kq=kΙT.
Нам без силы и пути век работы не найти. Путь на силу ты перемножь… Догадайся, что найдёшь? A = F S Знает каждый инженер: v = ω R Чтобы давление нам получить, Силу на площадь надо делить: P = F/ S Волк сказал : «АМ!» И зайчик побежал с ускорением: F = am Шагал ишак, кричал: «ИА» ([I] = А). Он РОМ ([R]= Ом) в подарок вёз, Прошёл тяжёлый перевал, Вздохнул, как паровоз: «УВ!» ([U]=В). Но ты, конечно, не осёл, всё делаешь легко. И букву I, и букву U запомнишь хорошо! U = I∙R Ничего для нас нет проще, чем делить длину на площадь. Может нам деление дать сопротивление. Не учли мы здесь пока материал проводника, А учесть его мы можем, если всё на «ρ» умножим: R = ρ l / S
Для каждой ситуации в упругой деформации Закон везде один: Все силы, как и водится, в пропорции находятся К увеличенью длин. А если при решении у длин есть уменьшение Закон и тут закон: Пропорции упрямые (те же самые) Но знак у них сменён. И что это за мука закон запомнить Гука! Но мы пойдём на риск Напишем слева силу, а справа чтобы было Знак «минус» , «k» и «х» : Fупр= - kx 3/2 Ко. Та в мешке Мечтали съесть по серой мышке. А вам советую найти Эту формулу в серьезной книжке: Е = 3/2 k. T
23 сентября 2015 год


