04559203889b6fd5b51504e40d35441c.ppt
- Количество слайдов: 25
Two-Boson-Exchange Corrections to the Parity-Violating Elastic Electron-Proton Scattering Shin Nan Yang National Taiwan University Collaborators: K. Nagata, C. W. Kao, Christian Chung Yuan U. , Taiwan H. Q. Zhou, Southeast University, Nanjing, China PANIC 08, Eilat, Israel, November 10 -14, 2008 1
Possible experimental indications for “ strangeness in the nucleon ” 1. σ term in N scattering analysis suggests that proton might contain an admixture of 20% strange quarks. 2. EMC: p deep inelastic scattering with longitudinally polarized ’s and p’s, spin asymmetry is measured strange quark sea ( the nucleon spin ) is strongly polarized opposite to S= - 0. 12 EMC(1994) 2
3. low energy elastic p cross section (BNL 1987) S= - 0. 15 ± 0. 09 4. ( x)/( x) ratio (x= , ’s) in annihilation strong violation of OZI rule 3
5. double polarization in photoproduction of ψmeson Solid line: VDM + OPE only, i. e. zero strangeness experiment planned at SPring 8 4
6. parity-violating elastic electron-proton scattering l SAMPLE, HAPPEX, A 4, and G 0 experiments 5
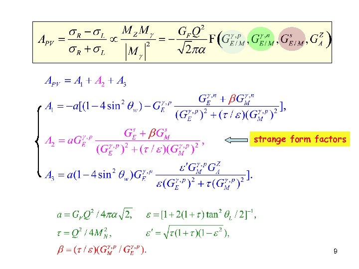
parity-violating electronproton scattering • at tree level V, A 6
flavor decomposition Sachs form factors 7
flavor decomposition NC probes same hadronic flavour structure, with different couplings charge symmetry provide important new testing ground for non-perturbative QCD structure of the 8
strange form factors 9
Radiative corrections At tree level, ρ=1, κ=1. PDG values: ρ= 0. 9876, κ= 1. 0026 10
Marciano, Sirlin (1984) p q zero transfer momentum approximation, i. e. , p = q = k → Q 2 = (p-q)2 ≡ 0 11
two-photon exchange effects in elastic ep scattering Blunden et al. , PRL 91, 142304 (2003) 12
two-boson-exchange ( ) effects in parity-violating elastic ep scattering ? 13
One-loop box diagrams 14
with only nucleon intermediate states included HQ Zhou, CW Kao, SNY, PRL, 99, 262001 (2007) 15
impact of our results avoid double counting old new 16
change of the results of strange form factors HAPPEX -14. 6 A 4 -45. 05 17
recent progress two-boson-exchange effects with Δ-excitation 18
19
20
corresponds to the values of zero momentum transfer approximation obtained by Marciano and Sirlin 21
Summary Ø The TPE and γZ-exchange corrections to the PV asymmetry of elastic ep scattering with elastic intermediate states can reach a few percent and are compatible with the current experimental measurements of the strange effects in the proton neutral weak current. The combined effects on the extracted values of can be as large of -40% 22
Summary Ø The effects of TPE and γZ-exchange with Δexcitation are, in general, comparable with those with nucleon intermediate states. In the kinematical regions of current experiments, they reduce, in most cases, the differences between the results of zero momentum transfer approximation and loop effects with N+Δintermediate states. Ø Higher resonances contributions? Ø Calculation with GPD? 23
Thank you ! 24
Why such a big correction? Warning: It is sensitive to the choice Of the input of the form factors. 25
04559203889b6fd5b51504e40d35441c.ppt