8527c2d083345b04017ca62e56bc6b24.ppt
- Количество слайдов: 26
ТВЕРСКОЕ СУВОРОВСКОЕ ВОЕННОЕ УЧИЛИЩЕ МИНИСТЕРСТВА ОБОРОНЫ РОССИЙСКОЙ ФЕДЕРАЦИИ ОД математика, информатика и ИКТ МАТЕМАТИКА 11 класс Тверь 2016
ТВЕРСКОЕ СУВОРОВСКОЕ ВОЕННОЕ УЧИЛИЩЕ МИНИСТЕРСТВА ОБОРОНЫ РОССИЙСКОЙ ФЕДЕРАЦИИ ОД математика, информатика и ИКТ Дифференцирование показательной и логарифмической функции Тверь 2016
Цели Изучить понятие производной логарифмической и показательной функций
Литература: 1. Открытый банк задач ЕГЭ по математике 2016 http: //live. mephist. ru/show/mathege 2016/ 2. Обучающая система Д. Гущина «РЕШУ ЕГЭ» http: //reshuege. ru/ 3. Мордкович А. П. П. В. Алгебра и начала анализа (профильный уровень) 10 класс, М. , «Мнемозина» , 2006. 4. Алимов Ш. А. Алгебра и начала анализа 10 -11 класс, М. , «Просвещение» , 1999.
Число е. Функция y = ex, её свойства, график, дифференцирование
Рассмотрим показательную функцию y = аx , где а > 1. Построим для различных оснований а графики: 1. y = 2 x 2. y = 3 x (1 вариант) 3. y = 10 x (2 вариант)
1)Все графики проходят через точку (0 ; 1); 2) Все графики имеют горизонтальную асимптоту у = 0 при х ∞; 3) Все они обращены выпуклостью вниз; 4) Все они имеют касательные во всех своих точках.
Проведем касательную к графику функции y = 2 x в точке х = 0 и измерим угол , который образует касательная с осью х
С помощью точных построений касательных к графикам можно заметить, что если основание а показательной функции y = аx постепенно увеличивается основание от 2 до 10, то угол между касательной к графику функции в точке х = 0 и осью абсцисс постепенно увеличивается от 35’ до 66, 5’. Следовательно существует основание а, для которого соответствующий угол равен 45’. И это значение а заключено между 2 и 3, т. к. при а = 2 угол равен 35’, при а = 3 он равен 48’. В курсе математического анализа доказано, что данное основание существует, его принято обозначать буквой е. Установлено, что е – иррациональное число, т. е. представляет собой бесконечную непериодическую десятичную дробь: е = 2, 718284590… ; На практике обычно полагают, что е ≈ 2, 7.
График и свойства функции y = еx : 1) D (f) = ( - ∞; + ∞ ); 2) не является ни четной, ни нечетной; 3) возрастает; 4) не ограничена сверху, ограничена снизу 5) не имеет ни наибольшего, ни наименьшего значения; 6) непрерывна; 7) E (f) = ( 0; + ∞ ); 8) выпукла вниз; 9) дифференцируема. Функцию y = еx называют экспонентой.
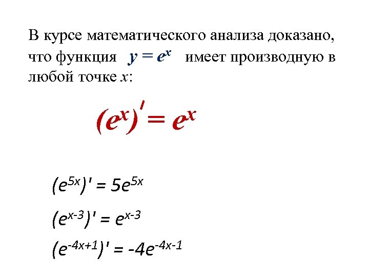
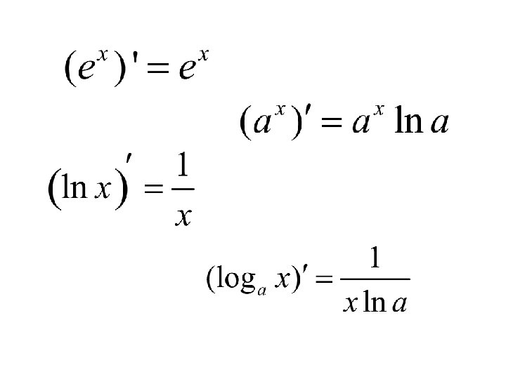
В курсе математического анализа доказано, что функция y = еx имеет производную в любой точке х: x) (e = x e (е 5 х)' = 5 е 5 х (ех-3)' = ех-3 (е-4 х+1)' = -4 е-4 х-1
Пример 1. Провести касательную к графику функции в точке x=1. Решение: 1) =1 2) f( )=f(1)=e 3) 4) y=e+e(x-1); y = ex Ответ: y=ex
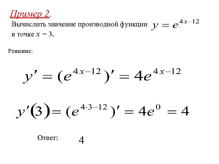
Пример 2. Вычислить значение производной функции в точке x = 3. Решение: Ответ: 4
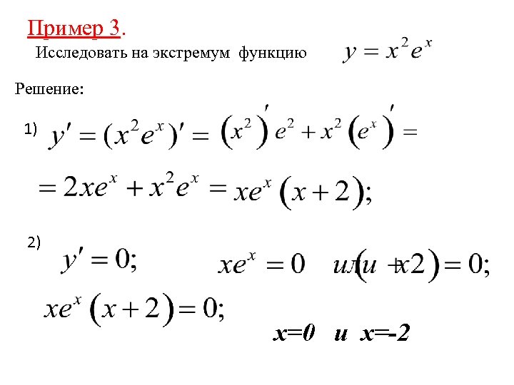
Пример 3. 3 Исследовать на экстремум функцию Решение: 1) 2) х=0 и х=-2
3) - + -2 4) + 0 х = -2 – точка максимума х = 0 – точка минимума Ответ: x
Натуральные логарифмы. Функция y = ln x, её свойства, график, дифференцирование
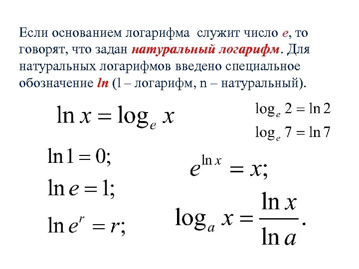
Если основанием логарифма служит число е, то говорят, что задан натуральный логарифм. Для натуральных логарифмов введено специальное обозначение ln (l – логарифм, n – натуральный).
График и свойства функции y = ln x Свойства функции y = ln x: 1) D (f) = ( 0; + ∞); 2) не является ни четной, ни нечетной; 3) возрастает на ( 0; + ∞); 4) не ограничена; 5) не имеет ни наибольшего, ни наименьшего значений; 6) непрерывна; 7) Е (f) = ( - ∞; + ∞ ); 8) выпукла верх; 9) дифференцируема.
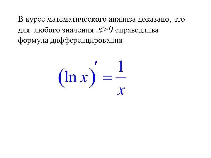
В курсе математического анализа доказано, что для любого значения х>0 справедлива формула дифференцирования
Пример 4: Вычислить значение производной функции в точке x = -1. Решение: Ответ: 1, 5
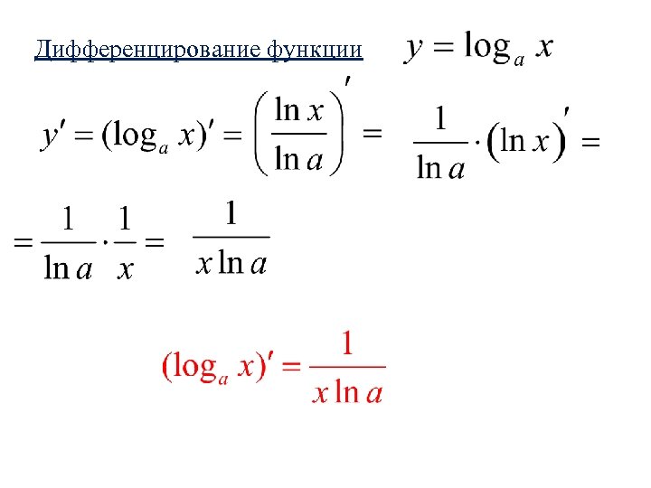
Дифференцирование функции Например:
Дифференцирование функции
Интернет-ресурсы: • • • http: //egemaximum. ru/pokazatelnaya-funktsiya/ http: //or-gr 2005. narod. ru/grafik/sod/gr-3. html http: //ru. wikipedia. org/wiki/ http: //900 igr. net/prezentatsii http: //ppt 4 web. ru/algebra/proizvodnajapokazatelnojj-funkcii. html
8527c2d083345b04017ca62e56bc6b24.ppt