e765839ba854ca8a4ac853da41acaf6c.ppt
- Количество слайдов: 17
THRIPS MANAGEMENT PRACTICES IN FRENCH BEAN PRODUCTION AND EFFICACY OF INTEGRATED PESTICIDE APPLICATION REGIEMES IN EMBU EAST Benard Ouma Ogala-University of Nairobi Supervisors Dr. James Muthomi -University of Nairobi Prof. John Nderitu-Mount Kenya University Dr. Faith Torotich -University of Nairobi
1. Introduction 1. Inputs-Not affordable 2. EU regulation-Barriers to trade MRL-10% sample per consignment 150000 -200000 Ksh per shipment 3. Private standards e. g. Global GAP: Smallholder farmers have problems in meeting the costs
2. Objectives Broad To develop an integrated thrips management regime suitable for small scale growers. Specific • To determine pest management strategies used by small scale French bean farmers in Embu • To evaluate the efficacy of integrating biological, synthetic and botanical pesticides in management of thrips.
3. Determination of current pest control practices 3. 1 Sampling procedure Ø Sample size-70 farmers Ø Multistage sampling technique Ø Farmers randomly selected from the list of French bean farmers Ø Structured questionnaire 3. 2 Data collected • Challenges to French beans production • Farmers knowledge of pests and their management practices. • French bean varieties grown, harvesting and post harvest • Marketing channels and certification status of farmers
3. 3: Results Figure 3. 1: Constraints to French beans production 70 60 Percent farmers 50 40 Mwea east 1 30 Embu east 1 20 10 0 Marketing Pest and diseases Constraint Inputs/capital Drought or water
Figure 3. 2: Important pest as perceived by farmers 60 Important pest 50 Percent farmers 40 30 Mwea East. Embu East. 20 10 0 Whitefly Mites Bean fly Caterpillars Beetles Pest Thrips Leaf miners Cutworms Aphids
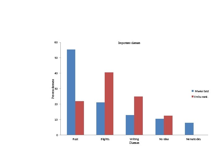
60 Important disease 50 Percent farmers 40 30 Mwea East Embu east. 20 10 0 Rust Blights Wilting Disease No idea Nematodes
Figure 3. 3: Methods of control 120 100 percent farmers 80 60 Mwea east Embu east. 40 20 0 Chemical sprays Others Method of control
Table 3. 1: Record keeping and storage of pesticides Percent farmers Record keping Mwea east Embu east Production 47. 4 Spray Percent farmers Mwea east Embu east 18. 8 Storage of pesticides House 29 21. 8 28. 9 21. 9 Separate store 65. 8 50 Sales 60. 5 40. 6 Central store 2. 6 21. 8 PHI 21. 1 34. 4 Left in the field 2. 6 6. 4
Table 3. 2: Marketing, marketing channels and certification status of farmers in Embu East district Activity Measure Mwea east Embu east Marketing chanel Brokers 63. 2 28. 1 Exporters/processors 36. 8 71. 9 Sold at home 60. 5 6. 3 Exporters 13. 2 3. 1 Central collection point 18. 4 90. 6 Transported to brokers 7. 9 0 1 18. 4 25 2 10. 5 17. 9 3 and more 10. 6 57. 1 Implementation of market standards Type of standard Yes 23. 7 9. 4 Global GAP 23. 7 9. 4 Plans for certification Yes 15. 8 3. 1 Certified 0 3. 1 Point of sale Distance to collection point(Kilometers)
4. Effects of integrating biological, synthetic and botanical pesticides on pod quality and yield of French beans 4. 1 Design-RCBD, 4 replicates 4. 2 Treatments Ø chemical plus biological pesticides - at 50% flowerinng, 8 days later, 16 days Ø chemical plus botanical pesticides - at 50% flowerinng, 8 days later, 16 days Ø conventional pesticide - at 50% flowerinng, 8 days later, 16 days Ø botanical plus biological - at 50% flowerinng, 8 days later, 16 days Ø Biological pesticide - at 50% flowerinng, 8 days later, 16 days Ø Control plots - no pesticide application. 4. 3 Data collected Ø Growth parameters Ø Thrips population Ø Pod quality Ø Pod yield
4. 4 Results Table 4. 1: Effects of pesticide spray regiemes on thrips population- F. spp F. Occidentalis F. schulzei Season 1 Season 2 Treatment MEAN Chemical+Biological 5. 4 b 1. 6 ab 9. 1 ab 1. 3 ab Chemical+Botanical 4. 6 b 1. 5 ab 10. 8 bc 1. 5 b Conventional 2. 8 a 1. 1 a 6. 31 a 0. 9 a Botanical+Biological 7. 7 c 2. 0 b 14. 2 cd 2. 1 c Biological 7. 7 c 2. 0 B 15. 5 bc 2. 3 c Control 8. 2 c 3. 3 C 21. 8 e 2. 9 d 1. 8 4. 3 1. 6 51. 6 18. 6 62. 5 LSD Cv% 5. 1 14. 2
Table 4. 2: Effects of pesticide spray regiemes on thrips population-Megalulothrips and larvae Megalulothrips larvae Season 1 Season 2 Treatment MEAN Chemical+Biological 4. 4 a 1. 7 a 4. 0 a 1. 3 a Chemical+Botanical 4. 6 a 1. 5 a 3. 2 a 1. 8 ab Conventional 3. 7 a 1. 2 a Botanical+Biological 25. 0 b 2. 3 b 15. 4 b 2. 6 bc Biological 23. 9 b 2. 4 b 13. 4 b 3. 3 c Control 25. 7 b 3. 1 c 16. 9 b 5. 0 d LSD 12. 8 1. 7 13. 0 2. 2 Cv% 38. 2 61. 4 31. 1 61. 2
Table 4. 3: Effects of pesticide spray regiemes on pod quality of French beans Marketable Season 1 Treatment Chemical+Biological Chemical+Botanical Conventional Botanical+Biological Control LSD Cv% Season 2 MEAN 7. 6 c 5. 8 c 7. 1 c 6. 0 c 8. 4 d 6. 6 d 6. 4 b 5. 2 b 6. 1 b 5. 2 b 4. 7 a 3. 91 a 1. 6 16. 8 20. 6
Table 4. 4: Effect of different pesticide spray regimes on yield of French Season 1 Season 2 Fine Extra fine Rejects Treatment MEAN Chemical+Bio 225. 7 c logical Chemical+Bot 174. 8 bc anical Conventional 199 c Botanical+Bio 180 bc logical MEAN 1020 b 323. 0 ab 790. 3 b 393. 8 bc 1347 d 269. 5 a 636 ab 469. 4 cd 0 0 MEAN 1663. 0 c 285. 2 abc 1859 cd 281. 1. 6 ab 2066. 0 d 245. 6 a 1295. 0 b 353. 0 bc Biological 131. 1 ab 609 a 514. 2 de 0 1129. 0 b 386. 0 c Control 106. 9 a 541 a 588. 2 e 0 774. 0 a 611. 8 d LSD 178. 6 481. 1 177. 8 0 825. 0 302. 9 Cv% 13. 8 42. 2 48. 7 0 40. 3 60. 2
Plan to conclusion FEB Compile first 3 chapters of thesis Data interpretation write results Compile and complete thesis Thesis submission Graduation MAR APR MAY JUN JUL AUG SEP OCT
THANK YOU
e765839ba854ca8a4ac853da41acaf6c.ppt