a75f1b838702ad4567a6afe549d492fe.ppt
- Количество слайдов: 45
The Effect of Music Piracy on CDs Purchases Siwat Auampradit
CHAPTER 1 INTRODUCTION
n n n Digital products can be compressed without losing much information or quality and the reproduction cost are negligible. Piracy substitutes the legitimate goods. Some kinds of information products (music and movies) have social interaction in which people would talk about with their friends (Peitz and Waelbroeck, 2003). Piracy may stimulate demand for legitimate products. The conclusion of the effect of piracy on legitimate demand is ambiguous.
Objective of the Study To analyze how music piracy by means of purchasing and downloading illegal music has affected on legitimate CDs by employing simultaneous tobit estimation.
Scope of the Study n n Interest in the effect of music piracy on demand side and focus only on Thai music. Music consumer is the people who listen to the music whether legally or not, and live in Bankok. Define Thai popular music as music that has a wide following, is produced by contemporary Thai artists and does not required public subsidy to survive. Thai traditional songs and Thai country songs (Louk Toung) are excluded from Thai popular music.
n Define pirated music CDs as pirated music in MP 3 format contained in compact disc. n Define pirated music downloading as pirated music downloaded from the internet. n Music piracy is defined as the pirated music CD plus pirated music downloading.
CHAPTER 2 LITERATURE REVIEW
n Piracy is endogenous, or at least that it is subject to unobserved heterogeneity, OLS estimator will be biased and inconsistent. n Instrumental variables (Hui and Png, 2003; Zentner, 2003; Rob and Waldfogel, 2004; Oberholzer and Strumpf, 2004. ( n Individual level data collected by survey (Zentner, 2003; Rob and Waldfogel, 2004. (
CHAPTER 3 THEORETICAL MODEL
Theoretical Framework n n Following Hui and Png (2003), consider the market for an information product by a single profit-maximizing producer. Potential end-users have three ways to choose; buy the legitimate item, copy the item or not use. Assume a distribution of potential users who differ in their value, , for the item. Assume zero reproduction cost.
n A net benefit is where is the price of legitimate item, captures the quality differential between the legitimate and pirated item.
n Buy the original: and. n Copy the item: and. n represents the cost of copying which is the expected penalty if the user will be caught, or it could represent any other factor that has opposite effects on demands for legitimate and pirated item.
Indifferent between Buying Original and Copying (3. 1)
Indifferent between Copying and Not Use (3. 3)
Defines Cut-off Values n : Buy the legitimate item n : Copy the item n : Not Use
Demand n Demand for original: (3. 2) n Demand for copy: (3. 4)
The Set of Comparative Static n From (3. 1), n From (3. 3),
n From (3. 2), (3. 5) (3. 6) (3. 7) n From (3. 4), (3. 8) (3. 9) (3. 10)
n Thus, and (3. 11) and (3. 12) and (3. 13)
Extend the Model n Positive Influences: n Piracy may raise the demand for original by n Inform the item n Network externalities n is increasing function.
n A net benefit is
Cut-off Values n (3. 14) (3. 15)
Demand with the Additive Term n Demand for original: n Demand for copy:
n Thus, (3. 16) n Demand for the legitimate product increases with the increase in the extent of piracy.
We can state that 1. Piracy substitutes the demand for the original (Substitution Effect). 2. Piracy stimulates the demand for the original (Network Effect).
Establish Model n Forming by demand equations and they are nonlinear. n Taylor series approximation will be applied to linearize the equations by using the first order Taylor series approximation.
n Then rearrange as follow. (3. 26)
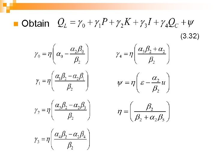
n Accordingly, based on (3. 11), (3. 12), (3. 13) and (3. 16), the approximated equations (3. 26) and (3. 29) and adding the individual characteristics, the structural demand equations are constructed as: (3. 30) (3. 31)
n represents the vector of the observed individual characteristics (Exogenous). n represents the quality difference between the original and the copy. n n and are random errors with zero means. The extent of piracy is considered as an endogenous variable since it depends on price, the expected penalty and the quality difference.
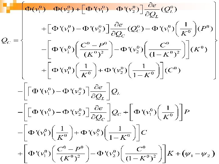
n Since cannot be observed. Though it can be observed, it is difficult to transform the data into a common operational scale. n From (3. 31, ( n Then replace into (3. 30. (
n Obtain (3. 32)
n Consider n It consists of two parts: n Demand for the original is increasing in the extent of piracy: n Substitution pirated item: between original and
CHAPTER 4 METHODOLOGY
Variable Qc WTP K SEX AGE EDU INC HOU MUS Meaning Number of pirated music accounted in albums Willingness to pay for a legal music CD Consumer’s perception about quality difference between legal and pirated music Dummy variable for gender 1 = Male, 0 = Female Consumer’s age Highest education consumer perceived Consumer’s income Hours on music listening per day Consumer’s level of interest in music Expected Sign +/+ + +/+/+/+ +
Variable Meaning MPP Dummy variable for using the devices that can play any formats of music files 1 = Use, 0 = Not use BRO IT IS Dummy variable for accessing broadband internet 1 = Use, 0 = Not use Consumer’s level of computer knowledge Consumer’s level of internet knowledge
n Recall equation (3. 32): n It is applied as (4. 1)
n First stage: (4. 2) n Second stage: (4. 3)
Deleted Variable Log Likelihood df AIC BIC None -3608. 77 26 7269. 54 7380. 34 WTP -3621. 70 24 7291. 40 7393. 67 SEX -3616. 20 24 7280. 40 7382. 68 AGE -3610. 23 24 7268. 47 7370. 74 EDU -3609. 83 24 7267. 65 7369. 93 INC -3609. 31 24 7266. 62 7368. 89 HOU -3613. 62 24 7275. 24 7377. 51 MUS -3643. 79 24 7335. 57 7437. 85 K -3611. 20 24 7270. 40 7372. 68 EDU, INC -3610. 664 22 7265. 33 7359. 08
CHAPTER 5 RESULT
n The estimated result: *** significant at 99% level of confidence ** significant at 95% level of confidence * significant at 90% level of confidence
Marginal Effects Variable Coefficient dy/dx Qc -0. 004 -0. 001 WTP 0. 008 0. 003 SEX 1. 722 0. 656 AGE 0. 063 0. 023 HOU 0. 193 0. 071 MUS 0. 491 0. 181 K 0. 070 0. 026 MPP 0. 000 BRO 0. 000 IT 0. 000 IS 0. 000
Reasons whether to purchase music CDs or not Frequency Percent - Albums from favorite artists 240 45. 80 - Popular Music 76 14. 50 - Acceptable price 45 8. 59 - Collective 84 16. 03 - Others 32 6. 11 - No albums from favorite artists 116 22. 14 - Price is too high 61 11. 64 - Pay for other entertainment goods 93 17. 75 - Others 54 10. 31 Purchase legal Thai music CDs (282 respondents) Not purchase legal Thai music CDs (242 respondents)
Reasons whether to consume pirated music or not Frequency Percent - Cheap 160 30. 53 - Convenient 143 27. 29 - Similar quality with the original 68 12. 98 - Select songs matching with preference 196 37. 40 - Others 48 9. 16 - Illegal 46 8. 78 - Lower quality than the original 70 13. 36 - Probably reach incomplete files 90 17. 18 - Want to support artists 53 10. 11 - Others 86 16. 41 Consume pirated music (330 respondents) Not consume pirated music (194 respondents)
First Ranking Factor Determining Purchasing Decision Frequency Percent Price 77 14. 69 Albums from favorite artists 259 49. 43 Quality and melodiousness 163 31. 11 Package (e. g. booklet, artwork) 5 0. 95 Laws 15 2. 86 Others 5 0. 95


