Скачать презентацию Тепловое излучение его закономерности Нагретое тело источник Скачать презентацию Тепловое излучение его закономерности Нагретое тело источник

ТЕПЛОВОЕ ИЗЛУЧЕНИЕ-2.ppt

  • Количество слайдов: 40

Тепловое излучение, его закономерности Нагретое тело – источник электромагнитных волн Тепловое излучение, его закономерности Нагретое тело – источник электромагнитных волн

Свойства и характеристики теплового излучения Свойства и характеристики теплового излучения

1. Динамическое равновесие Wпоглощенная Wизлученная 1. Динамическое равновесие Wпоглощенная Wизлученная

2. Излучаются ЭМВ всех частот (длин волн) – сплошной спектр излучения СДВ РВ ИК 2. Излучаются ЭМВ всех частот (длин волн) – сплошной спектр излучения СДВ РВ ИК УФ Х γ

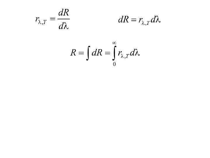
3. Энергия, излучаемая с единицы поверхности нагретого тела за единицу времени – плотность потока 3. Энергия, излучаемая с единицы поверхности нагретого тела за единицу времени – плотность потока излучения ( энергетическая светимость): R

4. Энергия, излучаемая единицей поверхности нагретого тела за единицу времени в единичном интервале длин 4. Энергия, излучаемая единицей поверхности нагретого тела за единицу времени в единичном интервале длин волн – спектральная лучеиспускательная способность:

4. Энергетический состав спектра излучения нагретого тела – распределение спектральной лучеиспускательной способности по длинам 4. Энергетический состав спектра излучения нагретого тела – распределение спектральной лучеиспускательной способности по длинам волн

5. Спектр излучения ограничен колообразной кривой 5. Спектр излучения ограничен колообразной кривой

6. Максимуму кривой соответствует определенная длина волны, зависящая от температуры тела 7. Площадь под 6. Максимуму кривой соответствует определенная длина волны, зависящая от температуры тела 7. Площадь под кривой численно равна энергетической светимости и зависит от температуры тела

8. Спектральная лучепоглощательная способность 8. Спектральная лучепоглощательная способность

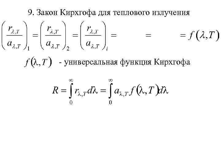
9. Закон Кирхгофа для теплового излучения - универсальная функция Кирхгофа 9. Закон Кирхгофа для теплового излучения - универсальная функция Кирхгофа

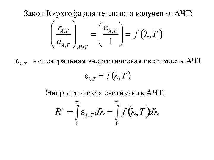
Абсолютно черное тело (АЧТ) Абсолютно черное тело (АЧТ)

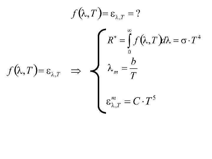
Закон Кирхгофа для теплового излучения АЧТ: - спектральная энергетическая светимость АЧТ Энергетическая светимость АЧТ: Закон Кирхгофа для теплового излучения АЧТ: - спектральная энергетическая светимость АЧТ Энергетическая светимость АЧТ:

Эмпирические законы излучения АЧТ: Эмпирические законы излучения АЧТ:

1. Закон Стефана – Больцмана: 1. Закон Стефана – Больцмана:

2. Первый закон (смещения) Вина: 2. Первый закон (смещения) Вина:

3. Второй закон Вина: 3. Второй закон Вина:

Классическая электродинамика: Классическая электродинамика:

Квантовая гипотеза Планка Квантовая гипотеза Планка

Планк: рождение фотона (кванта) Планк: рождение фотона (кванта)

Эйнштейн: распространение фотона = Эйнштейн: распространение фотона =

Эйнштейн: взаимодействие фотона с веществом = Эйнштейн: взаимодействие фотона с веществом =

Фотон – частица электромагнитного поля Фотон – частица электромагнитного поля

Характеристики фотонов Энергия фотона: Масса движущегося фотона: Масса покоя фотона: Характеристики фотонов Энергия фотона: Масса движущегося фотона: Масса покоя фотона:

Импульс фотона: Импульс фотона:

Общие выводы: 1. Излучение нагретых тел и фотоэффект невозможно объяснить волновыми свойствами света (излучения) Общие выводы: 1. Излучение нагретых тел и фотоэффект невозможно объяснить волновыми свойствами света (излучения) 2. Объяснение возможно только с помощью квантовой модели света (излучения) 3. Свету (электромагнитному полю) присуща двойственность свойств – корпускулярно-волновой дуализм