теория игр (2).ppt
- Количество слайдов: 27
Теория игр. Если имеется несколько конфликтующих сторон (лиц), каждая из которых принимает некоторое решение, определяемое заданным набором правил, и каждому из лиц известно возможное конечное состояние конфликтной ситуации с заранее определенным для каждой из сторон платежами, то говорят, что имеет место игра. Задача теории игр состоит в выборе такой линии поведения данного игрока, отклонения от которой может лишь уменьшить его выигрыш
• Определение 1. Ситуация называется конфликтной, если в ней участвуют стороны, интересы которых полностью или частично противоположны. • Определение 2. Игра - это действительный или формальный конфликт, в котором имеется по крайней мере два участника (игрока), каждый из которых стремиться к достижению собственных целей.
• Определение 3. Допустимые действия каждого из игроков, направленные на достижение некоторой цели, называются правилами игры. • Определение 4. Количественная оценка результатов игры называется платежом. • Определение 5. Игра называется парной, если в ней участвуют только две стороны (два лица).
• Определение 6. Парная игра называется игрой с нулевой суммой, если сумма платежей равна нулю, т. е. если проигрыш одного игрока равен выигрышу другого. Далее мы будем рассматривать только игры с нулевой суммой. • Определение 7. Однозначное описание выбора игрока в каждой из возможных ситуаций, при которой он должен сделать личный ход, называется стратегией игрока.
• Определение 7. Однозначное описание выбора игрока в каждой из возможных ситуаций, при которой он должен сделать личный ход, называется стратегией игрока. • Определение 8. Стратегия игрока называется оптимальной, если при многократном повторении игры она обеспечивает игроку максимально возможный выигрыш (или, что тоже самое, минимально возможный средний проигрыш).
• Пусть имеются два игрока, один из которых может выбрать i-ю стратегию из m возможных стратегий (i=1, m), а второй, не зная выбора первого, выбирает j-ю стратегию из n возможных стратегий (j=1, n) В результате первый игрок выигрывает величину aij, а второй проигрывает эту величину. • Из чисел aij составим матрицу
Из чисел aij составим матрицу. Матрица A называется платежной ( или матрицей игры). Игру, определяемую матрицей A, имеющей m строк и n столбцов, называют конечной игрой размерности m x n.
Число называется нижней ценой игры или максимином, а соответствующая ему стратегия (строка) - максиминной. Число называется верхней ценой игры или минимаксом, а соответствующая ему стратегия (столбец) - минимаксной.
• Если α=β=v, то число v называется ценой игры. • Игра, для которой α=β, называется игрой с Седловой точкой. • Для игры с Седловой точкой нахождение решения состоит в выборе максиминной и минимаксной стратегией, которые являются оптимальными. • Если игра, заданная матрицей, не имеет Седловой точки, то для нахождения ее решения используют смешанные стратегии.
• Вектор, каждая из компонент которого показывает относительную частоту использования игроком соответствующей чистой стратегии, называется смешанной стратегией данного игрока. • Из данного определения непосредственно следует, что сумма компонент указанного вектора равна единице, а сами компоненты не отрицательны. Обычно смешанную стратегию первого игрока обозначают как вектор U=(u 1, u 2, . . . , um), а второго игрока как вектор
• Если U* - оптимальная стратегия первого игрока, а Z* - оптимальная стратегия второго игрока, то число является ценой игры. • Определение оптимальных стратегий и цены игры и составляет процесс нахождения решения игры.
Задачи теории игр, основные теоремы. • Теорема 1. Нижняя цена игры всегда не превосходит верхней цены игры. • Теорема 2. Всякая матричная игра с нулевой суммой имеет решение в смешанных стратегиях. • Теорема 3. Для того чтобы число v было ценой игры, а U* и Z* оптимальными стратегиями, необходимо и достаточно выполнение неравенств
Теорема 3. Для того чтобы число v было ценой игры, а U* и Z* - оптимальными стратегиями, необходимо и достаточно выполнение неравенств Теорема 4. Если один из игроков применяет оптимальную смешанную стратегию, то его выигрыш равен цене игры v вне зависимости от того, с какими частотами будет применять второй игрок стратегии, вошедшие в оптимальную (в том числе и чистые стратегии).
Задачи 2 х2. Найти решение игры, заданной матрицей, и дать геометрическую интерпретацию этого решения.
Проверим наличие Седловой точки. Найдем минимальные элементы в каждой из строк (2 и 4) и максимальные элементы в каждом из столбцов (6 и 5). Нижняя цена игры α= max (2; 4)=4, а верхняя цена игры β= min (6; 5)=5. Так как α=4 ≠ β=5, то решением игры являются смешанные оптимальные стратегии, а цена игры v заключена в пределах 4 ≤ v ≤ 5.
Пусть для игрока A стратегия задается вектором U=(u 1, u 2). Тогда на основании теоремы 4 применении игроком B чистой стратегии B 1 или B 2 игрок A получит средний выигрыш, равный цене игры, т. е. • 2 u 1*+6 u 2*=v (при стратегии B 1), • 5 u 1*+4 u 2*=v (при стратегии B 2).
Помимо двух записанных уравнений относительно u 1* и u 2* добавим уравнение, связывающее частоты u 1* и u 2*: • u 1*+u 2*=1. Решая полученную систему трех уравнений с тремя неизвестными, 2 u 1*+6 u 2*=v 5 u 1*+4 u 2*=v u 1*+u 2*=1 находим u 1*=2/5; u 2*=3/5; v=22/5.
• Найдем теперь оптимальную стратегию для игрока B. Пусть стратегия для данного игрока задается вектором Z=(z 1, z 2). Тогда 2 z 1*+5 z 2*=22/5 6 z 1*+4 z 2*=22/5 z 1*+z 2*=1 Решая систему уравнений, получим z 1*=1/5; z 2*=4/5. Следовательно, решением системы являются смешанные стратегии U*=(2/5, 3/5) и Z*= (1/5, 4/5), а цена игры v=22/5.
Геометрическая интерпретация задач теории игр. На плоскости u. Oz введем систему координат и на оси Ou отложим отрезок единичной длины A 1 A 2, каждой точке которого поставим в соответствие некоторую смешанную стратегию U=(u 1, u 2)=(u 1, 1 -u 1). В частности, точке A 1 (0, 1) отвечает стратегия A 1, точке A 2 (1, 0) - стратегия A 2 и т. д.
В точках A 1 и A 2 восстановим перпендикуляры и на полученных прямых будем откладывать выигрыш игроков. На первом перпендикуляре ( в данном случае он совпадает с осью Oz) отложим выигрыш игрока A при стратегии A 1, а на втором - при стратегии A 2. Если игрок A применяет стратегию A 1, то выигрыш при стратегии B 1 игрока B равен 2, а при стратегии B 2 он равен 5. Числам 2 и 5 на оси Oz соответствуют точки B 1 и B 2.
Сведение задач теории игр к задачам линейного программирования. • Рассмотрим игру mxn определяемую матрицей
для оптимальной стратегии первого игрока U*=(u 1*, u 2*, …, um*) и цены игры v выполняется неравенство
Предположим для определенности, что v>0. Разделив теперь обе части последнего неравенства на v, получим
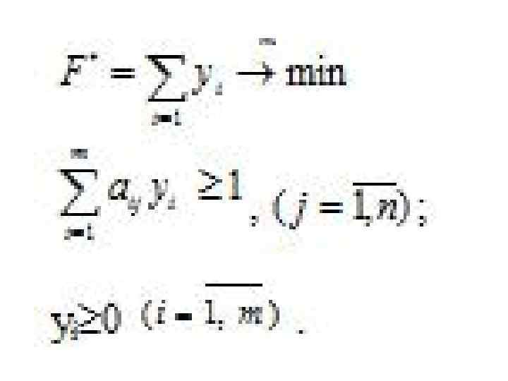
Положим ui*/v=yi*, тогда Так как первый игрок стремиться получить максимальный выигрыш, то он должен обеспечить минимум величине 1/v. С учетом этого, определение оптимальной стратегии первого игрока сводится к нахождению минимального значения функции
Используя решение пары двойственных задач, получаем формулы для определения стратегий и игры:


