Скачать презентацию Теоремы о потоке векторов индукции Теорема Гаусса Закон Скачать презентацию Теоремы о потоке векторов индукции Теорема Гаусса Закон

4_УР_Максвелла_2.ppt

  • Количество слайдов: 13

Теоремы о потоке векторов индукции Теорема Гаусса Закон полного тока: Тогда Закон сохранения заряда: Теоремы о потоке векторов индукции Теорема Гаусса Закон полного тока: Тогда Закон сохранения заряда: Сравнив (1. 18) и (1. 19), получим: откуда *

* *

Теорема о потоке вектора магнитной индукции Аналогично преобразовав закон Фарадея: получим: т. е. силовые Теорема о потоке вектора магнитной индукции Аналогично преобразовав закон Фарадея: получим: т. е. силовые линии магнитного поля всегда замкнуты ! *

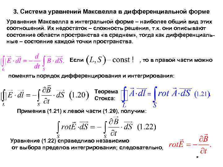
3. Система уравнений Максвелла в дифференциальной форме Уравнения Максвелла в интегральной форме – наиболее 3. Система уравнений Максвелла в дифференциальной форме Уравнения Максвелла в интегральной форме – наиболее общий вид этих соотношений. Их недостаток – сложность решения, т. к. они описывают состояние области пространства «в среднем» , тогда как дифференциальные – состояние каждой точки пространства. Если , то в правой части можно поменять порядок дифференцирования и интегрирования: Теорема Стокса: Применив (1. 21) к левой части (1. 20), получим: Уравнение (1. 22) справедливо независимо от выбора пределов интегрирования; следовательно, *

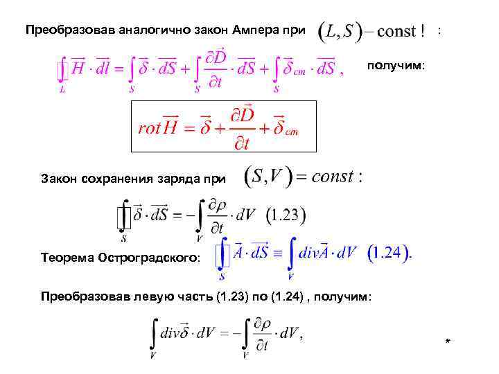
Преобразовав аналогично закон Ампера при : получим: Закон сохранения заряда при Теорема Остроградского: Преобразовав Преобразовав аналогично закон Ампера при : получим: Закон сохранения заряда при Теорема Остроградского: Преобразовав левую часть (1. 23) по (1. 24) , получим: *

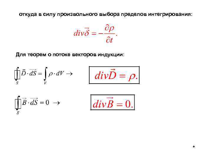
откуда в силу произвольного выбора пределов интегрирования: Для теорем о потоке векторов индукции: * откуда в силу произвольного выбора пределов интегрирования: Для теорем о потоке векторов индукции: *

4. Система уравнений Максвелла для комплексных амплитуд Все рассмотренные ранее уравнения записаны для мгновенных 4. Система уравнений Максвелла для комплексных амплитуд Все рассмотренные ранее уравнения записаны для мгновенных значений входящих в них функций: В электродинамике, как и в теории цепей принято использовать метод комплексных амплитуд, поскольку для линейных сред система уравнений Максвелла линейна. Тогда: комплексная амплитуда электрического поля. *

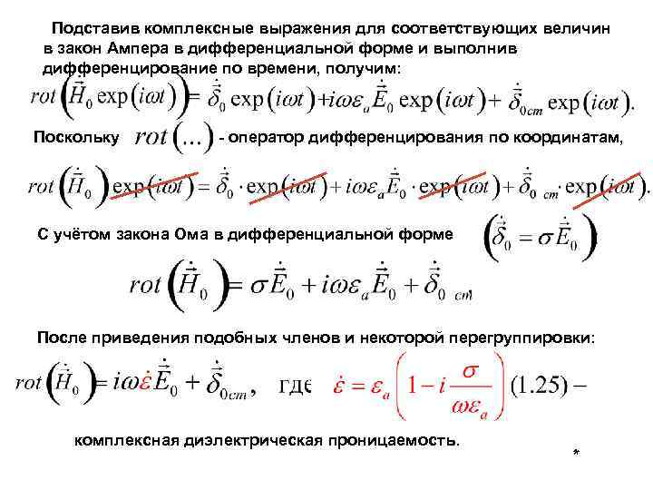
Подставив комплексные выражения для соответствующих величин в закон Ампера в дифференциальной форме и выполнив Подставив комплексные выражения для соответствующих величин в закон Ампера в дифференциальной форме и выполнив дифференцирование по времени, получим: Поскольку - оператор дифференцирования по координатам, С учётом закона Ома в дифференциальной форме После приведения подобных членов и некоторой перегруппировки: комплексная диэлектрическая проницаемость. *

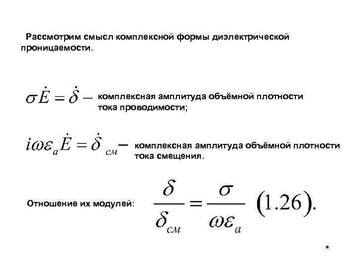
Рассмотрим смысл комплексной формы диэлектрической проницаемости. комплексная амплитуда объёмной плотности тока проводимости; комплексная амплитуда Рассмотрим смысл комплексной формы диэлектрической проницаемости. комплексная амплитуда объёмной плотности тока проводимости; комплексная амплитуда объёмной плотности тока смещения. Отношение их модулей: *

на комплексной плоскости. Построим векторы i 1 Классификация сред: (Сравните с (1. 26)) ! на комплексной плоскости. Построим векторы i 1 Классификация сред: (Сравните с (1. 26)) ! проводник. диэлектрик. полупроводник. *

Диапазон частот, используемых в радиотехнике Обозначим Параметр Материал Полистирол Почва Пресная вода Металлы 2. Диапазон частот, используемых в радиотехнике Обозначим Параметр Материал Полистирол Почва Пресная вода Металлы 2. 4 4 80 <1 Формулу (1. 25) можно записать так: где - мера энергии, запасённой в электрическом поле, *

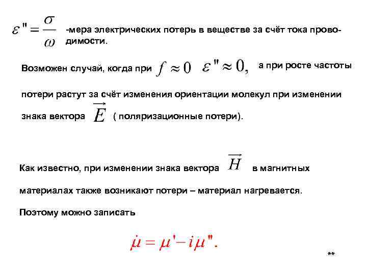
-мера электрических потерь в веществе за счёт тока проводимости. Возможен случай, когда при росте -мера электрических потерь в веществе за счёт тока проводимости. Возможен случай, когда при росте частоты потери растут за счёт изменения ориентации молекул при изменении знака вектора ( поляризационные потери). Как известно, при изменении знака вектора в магнитных материалах также возникают потери – материал нагревается. Поэтому можно записать **

Тогда система уравнений Максвелла для комплексных амплитуд: Эта система будет полной, т. к. остальные Тогда система уравнений Максвелла для комплексных амплитуд: Эта система будет полной, т. к. остальные уравнения, записанные для мгновенных значений, могут быть получены из неё. В дальнейшем, если не будет особо оговорено, используются уравнения Максвелла для комплексных амплитуд, поэтому нижний индекс « 0» будет опускаться. **