Скачать презентацию Теорема Виета Н Тарталья Д Кардано Скачать презентацию Теорема Виета Н Тарталья Д Кардано

99327946f4615d765a4d5e65c61c32e9.ppt

  • Количество слайдов: 9

Теорема Виета Теорема Виета

Н. Тарталья Д. Кардано Н. Тарталья Д. Кардано

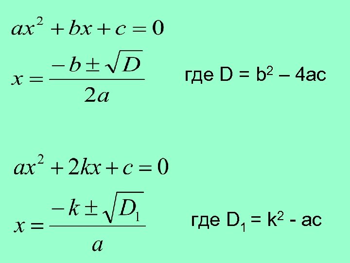
где D = b 2 – 4 ac где D 1 = k 2 где D = b 2 – 4 ac где D 1 = k 2 - ac

ПРОБЛЕМА: Как проще и быстрее решить квадратные уравнения вида: ЦЕЛЬ: Найти рациональный способ решения ПРОБЛЕМА: Как проще и быстрее решить квадратные уравнения вида: ЦЕЛЬ: Найти рациональный способ решения таких уравнений

ЗАДАЧИ: 1) Найти несколько квадратных уравнений и решить их известными вам способами 2) Установить ЗАДАЧИ: 1) Найти несколько квадратных уравнений и решить их известными вам способами 2) Установить зависимость между корнями уравнений и с: - коэффициентом p - свободным членом q - суммой коэффициентов a+b+c=0 - выражением a-b+c=0 3) Подготовить отчет о проделанной работе

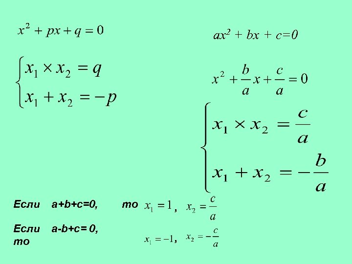
ax 2 + bx + c=0 Если a+b+c=0, Если то a-b+c= 0, то , ax 2 + bx + c=0 Если a+b+c=0, Если то a-b+c= 0, то , ,

По праву достойна в стихах быть воспета О свойствах корней теорема Виета Что лучше, По праву достойна в стихах быть воспета О свойствах корней теорема Виета Что лучше, скажи постоянства такого: Умножишь ты корни – и дробь уж готова! В числителе с, в знаменателе а, А сумма корней тоже дроби равна. Хоть с минусом дробь, так что за беда! В числителе в, в знаменателе а.