Тема2 Элементы комбинаторики Предыдущая Лекция ОСНОВНЫЕ ПОНЯТИЯ КОМБИНАТОРИКИ
Тема2 Элементы комбинаторики
Предыдущая Лекция ОСНОВНЫЕ ПОНЯТИЯ КОМБИНАТОРИКИ
Раздел дискретной математики, занимающийся подсчетом и перечислением элементов в конечных множествах – комбинаторика или комбинаторный анализ.
С.44-54
С.20-28
Вычисления на дискретных конечных математических структурах часто называют комбинаторными вычислениями. «Проклятие размерности»
Основополагающие правила комбинаторики –суммы и произведения Понятие выборки (комбинации)
Размещения с повторениями
Размещения без повторений
Перестановки без повторений
Перестановки с повторениями данного состава
Сочетания без повторений из n элементов по k
Пример сочетаний без повторений Определить число двухэлементных подмножеств множества, состоящего из трех элементов.
Лекция 8-9 Бином Ньютона
1. Сочетания с повторениями В ряде комбинаторных задач требуется подсчитывать число различных составов векторов длины k из n элементного множества. Такие векторы-составы называются сочетаниями с повторениями из n элементов по k. Например, требуется составить бригады ССО из 3 студентов 2 специальностей (каменщики и плотники) и определить количество таких бригад.
Каждая бригада задается вектором длины 3 из 2 элементов, порядок компонент которого роли не играет. (m1,m1,m1),(m1,m2,m2), (m1,m1,m2),(m2,m2,m2) Состав (3,0);(1,2);(2,1);(0,3)
СП из n по k - вектор длины n+k-1=2+3-1=4, состоящий из k= 3 нулей и n-1=1 единицы:
Число сочетаний с повторениями, обозначается
Формула числа сочетаний с повторениями Это перестановки с повторениями данного состава (вектор имеет одну единицу и три нуля):
В общем случае:
Пример: определить количество ударных войсковых группировок из 6 бригад 4 типов; Это сочетания с повторениями из 4-х элементов по 6:
2.Треугольник Паскаля. Сочетаниями без повторений занимался еще великий Паскаль. Он предложил специальную таблицу значений сочетаний без повторений. Значения представлены в таблице, которая называется треугольником Паскаля.
Блез Паскаль (фр. Blaise Pascal, 19 июня 1623—19 августа 1662) — французский математик, физик, литератор и философ. Классик французской литературы, один из основателей математического анализа, теории вероятностей и проективной геометрии, создатель первых образцов счётной техники.
Треугольник Паскаля
Заметим, что Этот треугольник удивительно красив своей математической красотой, и в его числах можно при желании отыскать различные закономерности.
Равнобедренный треугольник Паскаля
Докажем соотношение
Докажем соотношение
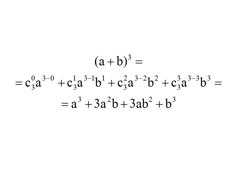
3. Бином Ньютона
Сэр Исаак Ньютон (англ. Sir Isaac Newton, 4 января 1643 — 31 марта 1727 по григорианскому календарю)
Докажем формулу бинома Ньютона по индукции. 1) базис индукции – доказательство того, что формула верна для конкретного n, например, для n=1.
2) индукционный шаг. Предполагая, что формула верна для некоторого n, убеждаются, что тогда она верна и для n+1. 3) при истинности шагов 1 и 2 заключают, что формула верна для любого n.
Приступим к индукционному шагу. Возьмем выражение и получим из него выражение для n+1.
Преобразуем полученное выражение:
Для выполнения индукционного шага необходимо показать, что это выражение равно выражению: Рассмотрим подвыражение и заменим i на i-1.
Получим т.е. одинаковые коэффициенты перед выражениями
Это позволит вынести за скобку Но тогда в не учтен n-й член подвыражения
учитывая n-й член подвыражения получаем
63-dm_l_8-9.2011.ppt
- Количество слайдов: 49

