Скачать презентацию Тема Решение основных задач по геометрии при подготовке Скачать презентацию Тема Решение основных задач по геометрии при подготовке

Геометрия. Ключевые задачи.ppt

  • Количество слайдов: 95

Тема: Решение основных задач по геометрии при подготовке к ЕГЭ Рабочая группа: Лебедева Елизавета Тема: Решение основных задач по геометрии при подготовке к ЕГЭ Рабочая группа: Лебедева Елизавета 9 «А» Клещенко Анастасия 9 «А» Смирнова Наталья 9 «А» Тараскина Елена 8 «А» Никифорова Анна 8 «А» Руководитель: Лиманцева Валентина Васильевна

Цель пособия - оказать помощь учащимся, наглядно представить изучаемый материал при повторении и обобщении Цель пособия - оказать помощь учащимся, наглядно представить изучаемый материал при повторении и обобщении курса геометрии, при подготовке к ЕГЭ.

Задачи Дополнить знания учащихся теоремами преимущественного характера; l Расширить представления учащегося о приемах и Задачи Дополнить знания учащихся теоремами преимущественного характера; l Расширить представления учащегося о приемах и методах решения задач; l Научить выделять ключевые задачи. l

Структура пособия l l l Треугольники; Четырехугольники; Окружности; Треугольники и окружности; Четырехугольники и окружности. Структура пособия l l l Треугольники; Четырехугольники; Окружности; Треугольники и окружности; Четырехугольники и окружности.

Тема 1 : ТРЕУГОЛЬНИКИ. МЕТРИЧЕСКИЕ СООТНОШЕНИЯ В ТРЕУГОЛЬНИКАХ Познакомимся со свойствами «ключевой» фигуры большинства Тема 1 : ТРЕУГОЛЬНИКИ. МЕТРИЧЕСКИЕ СООТНОШЕНИЯ В ТРЕУГОЛЬНИКАХ Познакомимся со свойствами «ключевой» фигуры большинства планиметрических задач. Подавляющее большинство задач по геометрии не может быть решено без знания свойств треугольников, без умения находить одни элементы через другие.

Прямоугольный треугольник. Основные понятия и свойства Используем обозначения: с – гипотенуза АВ; a и Прямоугольный треугольник. Основные понятия и свойства Используем обозначения: с – гипотенуза АВ; a и b – катеты ВС и АС; ас и bс – проекции ВС и АС катетов на гипотенузу; mс – медиана СМ, проведенная к гипотенузе; R – радиус описанной окружности; r - радиус вписанной окружности. A B

-Теорема Пифагора: a 2+ b 2 = c 2 -Квадрат катета равен произведению гипотенузы -Теорема Пифагора: a 2+ b 2 = c 2 -Квадрат катета равен произведению гипотенузы и его проекции на гипотенузу: a 2 = c · a с b 2 = c · b с -Квадрат высоты; опущенной на гипотенузу, равен произведению проекции катетов на гипотенузу: h 2 = a с · b с -Произведение катетов равно произведению гипотенузы и высоты, опущенной на гипотенузу: a·b=c·h -Медиана, проведенная к гипотенузе, равна половине гипотенузы: mс = c

-Радиус окружности, описанной около прямоугольного треугольника, равен половине гипотенузы: R = mс = c -Радиус окружности, описанной около прямоугольного треугольника, равен половине гипотенузы: R = mс = c -Высота, опущенная на гипотенузу прямоугольного треугольника, делит этот треугольник на два треугольника, подобных между собой и подобных исходному треугольнику. -В подобных треугольниках пропорциональны сходственные элементы (стороны, высоты, медианы, биссектрисы), радиусы вписанных и описанных окружностей, периметры треугольников, квадратные корни из площадей.

-Сумма катетов равна удвоенной сумме радиусов описанной и вписанной окружностей: а + b = -Сумма катетов равна удвоенной сумме радиусов описанной и вписанной окружностей: а + b = 2(R + r) или A а + b = c + 2 r (r = p - c) где р - полупериметр. B

РЕШЕНИЕ ЗАДАЧ Задача 1 Проекции катетов прямоугольного треугольника на гипотенузу равны 9 и 16. РЕШЕНИЕ ЗАДАЧ Задача 1 Проекции катетов прямоугольного треугольника на гипотенузу равны 9 и 16. Найти радиус вписанной окружности.

РЕШЕНИЕ ЗАДАЧ Задача 1 Проекции катетов прямоугольного треугольника на гипотенузу равны 9 и 16. РЕШЕНИЕ ЗАДАЧ Задача 1 Проекции катетов прямоугольного треугольника на гипотенузу равны 9 и 16. Найти радиус вписанной окружности. Пусть aс = 9, bс = 16, тогда с = aс + bс = 25. Так как a = и то a = 15 и b = 20. r = (a + b –c) = 5. b= , Ответ: 5.

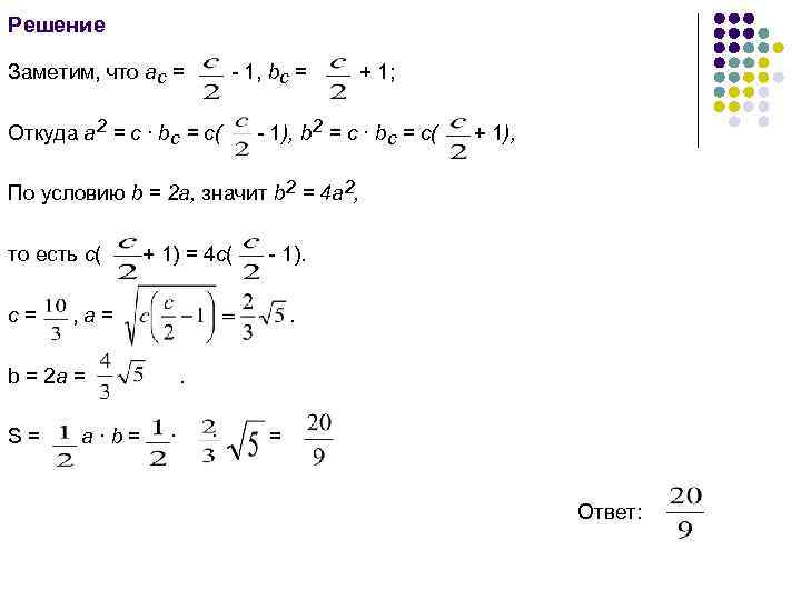
Задача 2 В прямоугольном треугольнике из вершины прямого угла проведены медиана и высота, расстояние Задача 2 В прямоугольном треугольнике из вершины прямого угла проведены медиана и высота, расстояние между их основаниями равно 1. Найдите площадь треугольника, если известно, что один из катетов в два раза больше другого.

Решение Заметим, что aс = - 1, bс = Откуда a 2 = c Решение Заметим, что aс = - 1, bс = Откуда a 2 = c ∙ bс = c( + 1; - 1), b 2 = c ∙ bс = c( + 1), По условию b = 2 a, значит b 2 = 4 a 2, то есть с( с= + 1) = 4 с( , a= . b = 2 a = S= - 1). a∙b= . ∙ ∙ = Ответ:

Задача 3 Радиусы вписанной и описанной окружностей прямоугольного треугольника равны 2 и 5 соответственно. Задача 3 Радиусы вписанной и описанной окружностей прямоугольного треугольника равны 2 и 5 соответственно. Найдите его площадь.

Решение Пусть а и b - катеты данного прямоугольного треугольника, с - его гипотенуза, Решение Пусть а и b - катеты данного прямоугольного треугольника, с - его гипотенуза, R - радиус описанной окружности, r - радиус вписанной окружности. 2(r + R) = a + b, возведем обе части в квадрат: 4(r + R)2 = (а + b)2; 4(r + R)2 = а 2 + 2 ab + b 2; a 2 + b 2 = с2 = (2 R)2 = 4 R 2 S= , аb = 2 S. 4(r + R)2 = 4 R 2 + 4 S, (r + R) 2 = R 2 + S, S = (r + R)2 - R 2 = r 2 + 2 r. R + R 2 - R 2, S = 22 + 2 ∙ 5 ∙ 2 = 4 + 20 =24 Ответ: 24.

ПРОИЗВОЛЬНЫЙ ТРЕУГОЛЬНИК МЕТРИЧЕСКИЕ СООТНОШЕНИЯ В ТРЕУГОЛЬНИКЕ Теорема синусов Теорема косинусов ПРОИЗВОЛЬНЫЙ ТРЕУГОЛЬНИК МЕТРИЧЕСКИЕ СООТНОШЕНИЯ В ТРЕУГОЛЬНИКЕ Теорема синусов Теорема косинусов

l Площадь треугольника где Формула Герона l Площадь треугольника где Формула Герона

l l l Если угол, одного треугольника равен углу другого треугольника, то площади этих l l l Если угол, одного треугольника равен углу другого треугольника, то площади этих треугольников относятся как произведения сторон, заключающих равные углы. Отношение Площадей треугольников, имеющих общие высоты, равно отношению оснований, соответствующих этим высотам Отношение площадей треугольников, имеющих общие основания, равно отношению высот, соответствующих этим сторонам треугольника В подобных треугольниках пропорциональны сходственные элементы, радиусы вписанных и описанных окружностей, периметры треугольников, квадратные корни из площадей Отношение площадей подобных треугольников равно квадрату коэффициента подобия (квадрату отношения сходственных элементов) Радиус описанной окружности можно найти по формуле:

 Радиус вписанной окружности можно найти по формуле: Один и тот же элемент можно Радиус вписанной окружности можно найти по формуле: Один и тот же элемент можно выражать через различные наборы других элементов. При решении конкретной задачи нужно выбрать наиболее удобный.

Свойства медиан l Медианы треугольника пересекаются в одной точке и делятся точкой пересечения в Свойства медиан l Медианы треугольника пересекаются в одной точке и делятся точкой пересечения в отношении 2: 1, считая от вершины l Каждая медиана делит треугольник на 2 равновеликих Три медианы делят треугольник на 6 равновеликих треугольников. Длину медианы можно вычислить по формуле: аналогично:

l Медианы треугольника и стороны связаны формулой: Точка пересечения медиан называется центром масс, или l Медианы треугольника и стороны связаны формулой: Точка пересечения медиан называется центром масс, или центром тяжести треугольника

Свойства биссектрис l Три биссектрисы пересекаются в одной точке, которая лежит внутри треугольника. Эта Свойства биссектрис l Три биссектрисы пересекаются в одной точке, которая лежит внутри треугольника. Эта точка является центром вписанной окружности Биссектриса делит сторону треугольника на отрезки, пропорциональные двум другим сторонам: Длину биссектрисы можно найти по формулам:

l Отношение, позволяющее установить, как точка пересечения биссектрис делит биссектрису: (теорема Ван-Обеля) l Отношение, позволяющее установить, как точка пересечения биссектрис делит биссектрису: (теорема Ван-Обеля)

Свойства высот l Прямые, содержащие высоты, пересекаются в одной точке. Эта точка называется ортоцентром. Свойства высот l Прямые, содержащие высоты, пересекаются в одной точке. Эта точка называется ортоцентром. Ортоцентр остроугольного треугольника лежит внутри треугольника. Ортоцентр прямоугольного треугольника совпадает с вершиной прямого угла. l Высоты треугольника обратно пропорциональны его сторонам: Высоту треугольника можно найти по формуле:

Задача 1 l Основание равнобедренного треугольника равно 2. Медианы к боковым сторонам взаимно перпендикулярны. Задача 1 l Основание равнобедренного треугольника равно 2. Медианы к боковым сторонам взаимно перпендикулярны. Найдите площадь треугольника

Способ 1 Пусть О – точка пересечения медиан СС 1 и AA 1 Проведем Способ 1 Пусть О – точка пересечения медиан СС 1 и AA 1 Проведем медиану ВВ 1. Рассмотрим Δ AOC - прямоугольный (по условию), ОВ 1 – медиана Δ AOC. АВ 1=В 1 О=1 По свойству медианы равнобедренного треугольника ОВ 1 – высота в Δ AOВ 1 (по свойству медиан треугольника, делящих треугольник на шесть равновеликих треугольников). Ответ: 3

Способ 2. ВВ 1 - медиана Δ AСC. ОВ 1=1 (как медиан треугольника AOC). Способ 2. ВВ 1 - медиана Δ AСC. ОВ 1=1 (как медиан треугольника AOC). ВВ 1=3 ОВ 1 (по свойству медианы равнобедренного треугольника, делящихся в точке пересечения в отношении 2: 1 считая от вершины). ВВ 1 является также высотой (по свойству медианы равнобедренного треугольника) Следовательно, Ответ: 3

Задача 2 l Длины двух сторон треугольника 6 и 8. Медианы, проведенные к этим Задача 2 l Длины двух сторон треугольника 6 и 8. Медианы, проведенные к этим сторонам, взаимно перпендикулярны. Найдите длину третьей стороны.

Пусть МС и АК – медианы, О – точка пересечения. Пусть АВ = 8; Пусть МС и АК – медианы, О – точка пересечения. Пусть АВ = 8; ВС = 6; АС = x. ∆AOC – прямоугольный (по условию) Проведем медиану ВВ 1 OB 1 – медиана ∆AOC , тогда OB 1 = (по свойству медиан). ВВ 1= По формуле медианы: ВВ 12 = = (2 АВ 2 + 2 ВС 2 - АС 2) (200 -x 2); = 50 - x 2; Ответ: 2 = 50; x 2 = 20; x =2

Тема 2. ЧЕТЫРЁХУГОЛЬНИКИ Тема «Четырёхугольники» в планиметрии чаще всего представлена задачами параллелограмме (и его Тема 2. ЧЕТЫРЁХУГОЛЬНИКИ Тема «Четырёхугольники» в планиметрии чаще всего представлена задачами параллелограмме (и его частных видах: ромбе, прямоугольнике и квадрате), а также задачами о трапеции.

2. 1. Параллелограмм l 1) 2) 3) • Площадь параллелограмма: S = ½ d 2. 1. Параллелограмм l 1) 2) 3) • Площадь параллелограмма: S = ½ d 1 d 2 sin α (справедлива для выпуклого четырёхугольника); S = aha; S = ab sin α. Площадь ромба: ВА = а S = ah, S = 2 ar, S = a²sin α d 1 d 2 S = —— 2 B d 1 β α A h C O d 2 D B h d 1 r O d 2 H A

l l Сумма квадратов длин диагоналей параллелограмма равна сумме квадратов длин его сторон: d l l Сумма квадратов длин диагоналей параллелограмма равна сумме квадратов длин его сторон: d 1² + d 2² = 2 a² + 2 b² При решении задач с параллелограммом следует учитывать следующие факты: Биссектриса угла параллелограмма отсекает от него равнобедренный треугольник. В параллелограмме биссектрисы углов, прилегающих к одной стороне, перпендикулярны. В параллелограмме равны площади всех четырёх треугольников, на которые он разделяется диагоналями.

l Интересный геометрический факт получается: если последовательно соединить отрезками середины сторон произвольного четырёхугольника, то l Интересный геометрический факт получается: если последовательно соединить отрезками середины сторон произвольного четырёхугольника, то построенный четырёхугольник – параллелограмм, площадь которого в 2 раза меньше площади исходного четырёхугольника. М А В N K D Р С Если у исходного четырёхугольника диагонали равны (AC = BD), то построенный четырёхугольник – ромб. Если у исходного четырёхугольника диагонали перпендикулярны (AC┴ BD), то построенный четырёхугольник – прямоугольник. Если у исходного четырёхугольника диагонали равны и перпендикулярны (AC = BD, AC ┴ BD), то построенный четырёхугольник – квадрат.

Решение задач Задача 1 В четырёхугольнике ABCD, AC ┴ BD, AC = 12, BD= Решение задач Задача 1 В четырёхугольнике ABCD, AC ┴ BD, AC = 12, BD= 16. Найти расстояние между серединами сторон АВ и СD. B A C D

Решение 1) 2) Середины сторон данного четырёхугольника ABCD служат вершинами параллелограмма, стороны которого равны Решение 1) 2) Середины сторон данного четырёхугольника ABCD служат вершинами параллелограмма, стороны которого равны половинам диагоналей AC и BD, то есть 6 и 8. Так как AC ┴BC, то параллелограмм является прямоугольником, а искомое расстояние между серединами сторон AB и CD - диагональ этого прямоугольника. Отсюда по теореме Пифагора имеем √ 6² + 8² = 10. Ответ: 10.

Задача 2 Длины диагоналей параллелограмма равны 17 и 19. Длина одной из его сторон Задача 2 Длины диагоналей параллелограмма равны 17 и 19. Длина одной из его сторон равна 10. Найти длину другой стороны. B A C D

Решение Пусть d 1= 17, d 2= 19, a= 10; тогда d 1²+ d Решение Пусть d 1= 17, d 2= 19, a= 10; тогда d 1²+ d 2² = 2 a²+2 b², b= d 1² + d 2² - 2 a² √ ———— 2 = 15 Ответ: 15.

Задача 3 Длины диагоналей ромба относятся как 3 : 4. Во сколько раз сторона Задача 3 Длины диагоналей ромба относятся как 3 : 4. Во сколько раз сторона ромба превосходит радиус вписанной в него окружности? A D O C B

Решение Способ 1. Пусть d 1 и d 2 - длины диагоналей ромба, a Решение Способ 1. Пусть d 1 и d 2 - длины диагоналей ромба, a - длина его стороны, r - радиус вписанной в него окружности. Так как ромб является параллелограммом, то d 1²+d 2² = 4 a². Кроме того, d 1 · d 2 = 4 ar. Разделив почленно эти два равенства, имеем: d 1² + d 2² 4 a² ——— = ——; d 1 · d 2 4 ar a d 1² d 2² a d 1 d 2 —— +d—— 2= —; — + — = —. d 1 · d 2 1 · d r d 2 d 1 r d 1 3 По условию — = — d 2 4 a Поэтому — = 25 — r 12 25 Ответ: —. 12

Способ 2. Пусть АС = 4 х, ВD = 3 х, тогда АО = Способ 2. Пусть АС = 4 х, ВD = 3 х, тогда АО = 2 х; ОВ = 1. 5 х. Из ∆АОВ по теореме Пифагора имеем: АВ =√ 4 х² + (1. 5 х)²= =√ 6. 25 х² = 2. 5 х ОН - высота ∆ АОВ; Так как ∆ АОВ – прямоугольный, то ОН · АВ = АО · ОВ, ОН · 2. 5 х = =2 х· 1. 5 х, 3 х ОН = 2. 5. — АВ 2. 5 х 2. 5 · 2. 5 6. 25 25 Итак, ОН = —— = 12 — 3 х — 3 3 — 2. 5 A D O C 25 Ответ: —. 12 H ∟ B

2. 2 Трапеция l l l Во всякой трапеции середины боковых сторон и середины 2. 2 Трапеция l l l Во всякой трапеции середины боковых сторон и середины диагоналей лежат на одной прямой. Средняя линия трапеции равна полусумме оснований; отрезок, соединяющий середины диагоналей, равен полуразности оснований. Во всякой трапеции середины оснований, точка пересечения диагоналей и точка пересечения продолжений боковых сторон лежат на одной прямой.

l Любой отрезок, соединяющий основания и проходящий через точку пересечения диагоналей трапеции, делится этой l Любой отрезок, соединяющий основания и проходящий через точку пересечения диагоналей трапеции, делится этой точкой в отношении — = OX BC —; это соотношение справедливо для OY AD диагоналей и высоты. В X C AD ∆ ВОС ~∆ AOD; k = — BC SBOA = SCOD - равновелики O A Y D

l l l Биссектриса угла трапеции отсекает от неё равнобедренный треугольник. В трапеции биссектрисы l l l Биссектриса угла трапеции отсекает от неё равнобедренный треугольник. В трапеции биссектрисы углов, прилежащих к боковой стороне, перпендикулярны. В равнобедренной трапеции высота делит основание на два отрезка, больший из которых равен средней линии трапеции (полусумме оснований), а меньший – полуразности оснований.

l A D O ∟ H B C l SAOB = SDOC; ∆AOD = l A D O ∟ H B C l SAOB = SDOC; ∆AOD = ∆BOC. SAOD : SDOC = AD² : BC²= = AO² : CO² = DO² : BO ². ∆BAO и ∆AOD имеют общую высоту, поэтому SBOA : SAOD = BO : DO. Аналогично, SAOD : SDOC = = AO : OC и так далее. SAOB · SDOC = SAOD · SBOC, так как SAOB = SDOC то можно записать SAOB = SAOD · SBOC; (SAOB)²= =SAOD ·SBOC.

Решение задач Задача 1 Боковые стороны равнобедренной трапеции продолжении пересекаются под прямым углом. Найдите Решение задач Задача 1 Боковые стороны равнобедренной трапеции продолжении пересекаются под прямым углом. Найдите длину большего основания трапеции, если её площадь равна 12, а высота 2. O ∟ A B 1 C ∟ B C 1 D

Решение 1) 2) Так как AB = CD и ∕O = 90°, то ∕BAD Решение 1) 2) Так как AB = CD и ∕O = 90°, то ∕BAD = ∕ CDA = 45°. Дополнительное построение: проведём высоты BB 1 и CC 1. BB 1 = CC 1 = AB 1 = C 1 D = 2. AD + BC 2 BC + 2 AB 1 2 · BC + 4 2 2 2 SABCD = ——— · BB 1 = ———— ·BB 1 = ——— · 2= ∟ A B 1 O C ∟ = 2 BC + 4 = 12. BC = 4. Итак, AD = BC + 2· AB 1 = 4 + 4 = 8. B Ответ: 8. C 1 D

Задача 2 Средняя линия трапеции разбивает её на две трапеции, площади которых относятся как Задача 2 Средняя линия трапеции разбивает её на две трапеции, площади которых относятся как 1 : 2. Чему равно отношение меньшего основания трапеции к большему? B C F E M K H Q ∟ A N P D

Решение Пусть BC= a; AD = b. a+b MN = l = ——; BP Решение Пусть BC= a; AD = b. a+b MN = l = ——; BP - высота. 2 l 1 — l 2 a+l — 2 l+b — 2 3 a + b — 4 3 b + a — 4 1 = — = 3 a + b = —. —— 3 b + a 2 3 b + a = 6 a + 2 b; 5 a = b; a —= 0, 2. b F E M K H A N Q ∟ l 1 = EF - средняя линия MBCN. l 2= HQ - средняя линия AMND. BK = KP - по условию. SMBCN BK · EF l 1 1 —— = — = —; SAMND KP · HQ l 2 2 C В P D Ответ: 0, 2.

Задача 3 В трапеции большее основание равно 25, одна из боковых сторон равна 15. Задача 3 В трапеции большее основание равно 25, одна из боковых сторон равна 15. Известно, что одна из диагоналей перпендикулярна заданной боковой стороне, а другая делит угол между заданной боковой стороной и нижним основанием пополам. Найдите площадь трапеции. C B A M D

Решение ∕ BCA = ∕ CAD (внутренние накрестлежащие углы при параллельных прямых BC и Решение ∕ BCA = ∕ CAD (внутренние накрестлежащие углы при параллельных прямых BC и AD). ∆ABC - равнобедренный, AB = BC = 15. h = BM = AB · sin ∕A = 15 · sin ∕A. 25 + 15 SABCD = BC + AD · h = —— · 15 sin ∕A = 300 sin ∕A. ——— 2 2 Рассмотрим ∆ABM : cos ∕A = AB = 15 = —, тогда — 25 — 3 AD B 5 С 4 sin ∕A=√ 1 - cos² ∕A = —. 5 4 SABCD = 300 · — = 240. 5 Ответ: 240 A M D

Задача 4 Основания трапеции равны 10 и 31, боковые стороны – 20 и 13. Задача 4 Основания трапеции равны 10 и 31, боковые стороны – 20 и 13. Найдите высоту трапеции. B A С К М D

Решение Дополнительное построение: BM ║ CD. 2) Рассмотрим ∆ ABM: AM = 21. SABM= Решение Дополнительное построение: BM ║ CD. 2) Рассмотрим ∆ ABM: AM = 21. SABM= √ 27(27 – 13)(27 – 20)(27 – 21) = =126. B С 1 3) SABM= —BK · AM 2 2 SABM BK= —— = 12. AM Ответ: 12. 1) A К М D

Тема 3: ОКРУЖНОСТИ Свойства касательных, хорд и секущих М -Отрезки касательных от точки А Тема 3: ОКРУЖНОСТИ Свойства касательных, хорд и секущих М -Отрезки касательных от точки А до точек касания равны. О А -Прямая, проходящая через центр окружности и заданную точку, делит угол между касательными пополам. N M F O K C -Если две хорды окружности пересекаются, то произведение длин отрезков одной хорды равно произведению длин отрезков другой хорды: N Q A -Квадрат длины отрезка касательной равен произведению длины секущей на длину ее внешней стороны.

-Диаметр, перпендикулярный хорде, делит А ее пополам. Обратно: диаметр, проходящий через середину хорды, перпендикулярен -Диаметр, перпендикулярный хорде, делит А ее пополам. Обратно: диаметр, проходящий через середину хорды, перпендикулярен ей. -Если из точки А, взятой вне окружности, проведены две секущие и , то , где и - внешние части секущих.

-Если в окружности радиуса R вписанный угол, опирающийся на хорду длины а, равен , -Если в окружности радиуса R вписанный угол, опирающийся на хорду длины а, равен , то а B D -Вписанные углы, опирающиеся на одну и ту же дугу окружности, равны. Их градусная мера равна половине градусной меры дуги, на которую они опираются A C A B C -Вписанный угол, опирающийся на диаметр, является прямым

ь Угол между пересекающимися хордами: ь Угол между секущими, пересекающимися вне окружности: ь Угол ь Угол между пересекающимися хордами: ь Угол между секущими, пересекающимися вне окружности: ь Угол между касательной и секущий:

ь Угол между касательными: ь Угол между касательной и хордой: ь Угол между касательными: ь Угол между касательной и хордой:

Решение задач Задача 1 Радиус окружности равен Определите длину хорды, проведенную. из конца данного Решение задач Задача 1 Радиус окружности равен Определите длину хорды, проведенную. из конца данного диаметра через середину перпендикулярного ему радиуса. D M А C B O K

Решение задач Задача 1 Радиус окружности равен Определите длину хорды, проведенную. из конца данного Решение задач Задача 1 Радиус окружности равен Определите длину хорды, проведенную. из конца данного диаметра через середину перпендикулярного ему радиуса. D Решение C M А 1) : По теореме Пифагора имеем: B O K Учитывая, что 2) Продолжим радиус OD до пересечения с окружностью в точке K. По свойству пересекающихся хорд в окружности имеем: , откуда ; , получим Окончательно , Ответ: 4

Задача 2 Из данной точки вне окружности проведены касательная и секущая, внутренняя часть которой Задача 2 Из данной точки вне окружности проведены касательная и секущая, внутренняя часть которой стягивает дугу в. Определите длину секущей, если радиус окружности равен , а длина касательной от данной точки до точки касания равна 8. О В С А М

Задача 2 Из данной точки вне окружности проведены касательная и секущая, внутренняя часть которой Задача 2 Из данной точки вне окружности проведены касательная и секущая, внутренняя часть которой стягивает дугу в. Определите длину секущей, если радиус окружности равен , а длина касательной от данной точки до точки касания равна 8. Решение: Хорда CB является стороной правильного вписанного треугольника. Отсюда О В С А Из свойства касательной и секущей, М проведенных их одной точки, получим: ; ; Итак, MC = MB+BC = 4+12 = 16 Ответ: 16

Тема 4: ТРЕУГОЛЬНИКИ И ОКРУЖНОСТИ Окружность, вписанная в треугольник Большинство планиметрических задач, предлагаемых на Тема 4: ТРЕУГОЛЬНИКИ И ОКРУЖНОСТИ Окружность, вписанная в треугольник Большинство планиметрических задач, предлагаемых на ЕГЭ, составляют задачи, связанные с окружностью, вписанной в треугольник - произвольный, равнобедренный, прямоугольный. При решении задач следует опираться на следующие факты.

Отрезок, соединяющий центр окружности и точку ее касания со стороной, перпендикулярен этой стороне. Отрезки Отрезок, соединяющий центр окружности и точку ее касания со стороной, перпендикулярен этой стороне. Отрезки двух соседних сторон от общей вершины до точек касания равны между собой. Центр вписанной окружности лежит на биссектрисе угла, образованного двумя сторонами. В треугольниках АОВ, АОС, ВОС, образованных отрезками биссектрис треугольника АВС, углы при вершине О связаны следующими соотношениями: с углами

А Если окружность вписана в прямоугольный треугольник АВС , то угол между биссектрисами острых А Если окружность вписана в прямоугольный треугольник АВС , то угол между биссектрисами острых углов K C O r r M B Четырехугольник КОМС - квадрат, а

Решение задач Задача 1 Окружность, вписанная в равнобедренный треугольник АВС с основанием АС, касается Решение задач Задача 1 Окружность, вписанная в равнобедренный треугольник АВС с основанием АС, касается сторон АВ и ВС в точках К и М соответственно. Найдите КМ, если АК=6, КВ=12. В М С К Т А

Решение задач Задача 1 Окружность, вписанная в равнобедренный треугольник АВС с основанием АС, касается Решение задач Задача 1 Окружность, вписанная в равнобедренный треугольник АВС с основанием АС, касается сторон АВ и ВС в точках К и М соответственно. Найдите КМ, если АК=6, КВ=12. Решение МВ = ВК = 12; В КА = АТ = ТС = СМ = 6 (как отрезки касательных, проведенных из одной точки) АВ=18; АС=12. М К ; С Т ; А Ответ: 8

Задача 2 Радиус окружности, вписанной в прямоугольный треугольник, равен 2, радиус описанной окружности – Задача 2 Радиус окружности, вписанной в прямоугольный треугольник, равен 2, радиус описанной окружности – 5. Найдите больший катет треугольника. А Т К С О Р В

Задача 2 Радиус окружности, вписанной в прямоугольный треугольник, равен 2, радиус описанной окружности – Задача 2 Радиус окружности, вписанной в прямоугольный треугольник, равен 2, радиус описанной окружности – 5. Найдите больший катет треугольника. А Решение АВ = 2 R = 10 ОК = ОР = r = 2 Пусть АК = х, тогда АТ = х, а ВТ = 10 -х (свойство касательн проведенных к окружности из одной точки) ТВ = РВ По теореме Пифагора из имеем: Т К С О Р В Но АК не может быть меньше 5, следовательно, АК = 6. Итак, АС = 6+2 = 8 Ответ: 8

Тема 5: Четырехугольники и окружности. В С Около параллелограмма можно описать окружность в том Тема 5: Четырехугольники и окружности. В С Около параллелограмма можно описать окружность в том и только том случае, если параллелограмм является прямоугольником. А D B А C D В параллелограмм можно вписать окружность в том и только в том случае, если он является ромбом.

B A -Параллелограмм, в который можно вписать окружность и вокруг которого можно описать окружность, B A -Параллелограмм, в который можно вписать окружность и вокруг которого можно описать окружность, является квадратом. -Если в четырехугольник можно вписать окружность, то AB+CD=BC+AD. -S=pr, где р – полупериметр четырехугольника. C D В С -Если около четырехугольника можно описать окружность, то O А D B C h A H -В окружность можно вписать только равнобедренную трапецию. НD=l, где l- средняя линия. BD=2 R x sin α O D

B A H C O D -Если основание трапеции является диаметром, то ABD и B A H C O D -Если основание трапеции является диаметром, то ABD и АСD-прямоугольные; ВН- высота прямоугольного ABD -Если трапеция описана около окружности, то BOA и COD- прямоугольные; h=2 r. BC+AD=BA=CD. CK=х; KD=y; r²=xy -Если равнобедренная трапеция описана около окружности, то (BC + AD) /2 = AB=CD= l HD = l r²= BC x AD / 4

Окружность, вписанная в ромб. Радиус r вписанной окружности удовлетворяет соотношениям : r = h/2, Окружность, вписанная в ромб. Радиус r вписанной окружности удовлетворяет соотношениям : r = h/2, где h-высота ромба; r = d 1 d 2 / 4 a, где d 1 и d 2 – диагонали ромба. d 1² +d 2²=4 a². Точка касания вписанной окружности делит сторону ромба на отрезки, связанные с его диагоналями и радиусом вписанной окружности следующими соотношениями: d 1=2√AH x 2√AB; d 2=2√BH x 2√AB; r=√AH x √HB. Площадь ромба. S= ah; S= 2 ar; S= a² sinα; S= d 1 d 2 / 2

Решение задач Задача 1 B A M C D Диагонали четырехугольника ABCD, вписанного в Решение задач Задача 1 B A M C D Диагонали четырехугольника ABCD, вписанного в окружность, пересекаются в точке М, АМ=4, СМ=9, ВМ=DM, ∟АМВ=30°. Найдите площадь четырехугольника.

Решение задач Задача 1 B A M C Диагонали четырехугольника ABCD, вписанного в окружность, Решение задач Задача 1 B A M C Диагонали четырехугольника ABCD, вписанного в окружность, пересекаются в точке М, АМ=4, СМ=9, ВМ=DM, ∟АМВ=30°. Найдите площадь четырехугольника. D Решение: 1)В соответствии с первым из указанных выше свойств имеем: ВМ=DM=√AM∙CM= √ 4∙ 9=6. 2)SABCD=0, 5(АМ∙ВМ∙sin 30°+MB∙CM∙sin 150°+CM∙MD∙sin 30°+MD∙AM∙sin 150°). Итак, SABCD=0, 5(4 ∙ 6 ∙ 0, 5 + 6 ∙ 9 ∙ 0, 5 + 9 ∙ 6 ∙ 0, 5 + 6 ∙ 4 ∙ 0, 5) = 39. Ответ: 39

Задача 2 B А C H D Высота ромба, проведенная из вершины его тупого Задача 2 B А C H D Высота ромба, проведенная из вершины его тупого угла, делит сторону ромба в отношении 1: 2, считая от вершины его острого угла. Какую часть площади ромба составляет площадь вписанного в него круга?

Задача 2 B А H Решение: C D Высота ромба, проведенная из вершины его Задача 2 B А H Решение: C D Высота ромба, проведенная из вершины его тупого угла, делит сторону ромба в отношении 1: 2, считая от вершины его острого угла. Какую часть площади ромба составляет площадь вписанного в него круга? Пусть АН=a, тогда HD=2 a и AD=3 a; BH=h; r – радиус вписанного круга. По теореме Пифагора из ∆АВН имеем: h=BH=√AB² - AH²= √ 9 a² - a²= √ 8 a²=2 a√ 2. SABCD=BH∙AD=6 a² √ 2. r=½h=a√ 2. Sкр= πa² 2 Sкр∕ SABCD = √ 2 π ∕ 6. Ответ: π∕ 6 ∙ √ 2.