Скачать презентацию Тема Плотность распределения вероятностей НСВ лекция 4 Скачать презентацию Тема Плотность распределения вероятностей НСВ лекция 4

d1aafbc1_l4-5_nsv.ppt

  • Количество слайдов: 19

Тема. Плотность распределения вероятностей НСВ лекция № 4 Поснтикова Ольга Алексеевна 1 Тема. Плотность распределения вероятностей НСВ лекция № 4 Поснтикова Ольга Алексеевна 1

План: 1. Плотность распределения и ее свойства. 2. Числовые характеристики НСВ. лекция № 4 План: 1. Плотность распределения и ее свойства. 2. Числовые характеристики НСВ. лекция № 4 Поснтикова Ольга Алексеевна 4

1. Плотность распределения и ее свойства Плотностью распределения вероятностей или плотностью распределения f (x) 1. Плотность распределения и ее свойства Плотностью распределения вероятностей или плотностью распределения f (x) непрерывной случайной величины X называется производная ее функции распределения F (x) лекция № 4 Поснтикова Ольга Алексеевна 5

Ее также называют дифференциальной функцией распределения. лекция № 4 Поснтикова Ольга Алексеевна 6 Ее также называют дифференциальной функцией распределения. лекция № 4 Поснтикова Ольга Алексеевна 6

Теорема. Вероятность того, что непрерывная случайная величина X примет значение, принадлежащее интервалу (a ; Теорема. Вероятность того, что непрерывная случайная величина X примет значение, принадлежащее интервалу (a ; b), равна определенному интегралу от плотности распределения, взятому в пределах от a до b: лекция № 4 Поснтикова Ольга Алексеевна 7

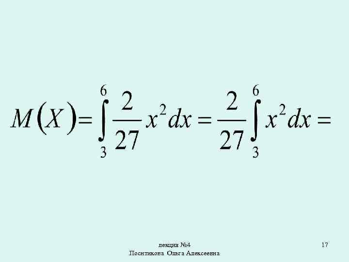
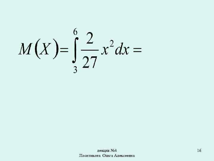
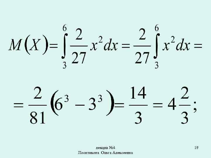
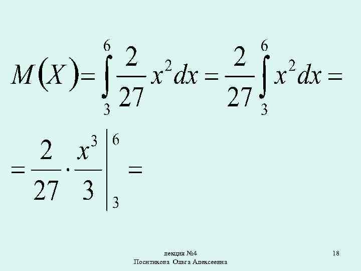
2. Числовые характеристики НСВ Математическим ожиданием непрерывной случайной величины X, возможные значения которой принадлежат 2. Числовые характеристики НСВ Математическим ожиданием непрерывной случайной величины X, возможные значения которой принадлежат отрезку от a до b, называют определенный интеграл: лекция № 4 Поснтикова Ольга Алексеевна 8

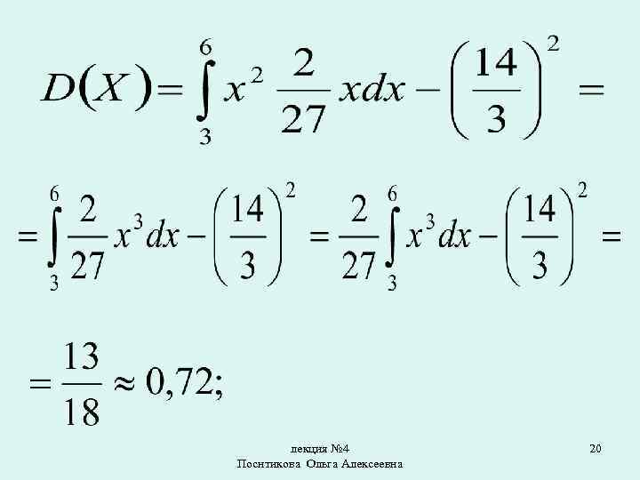
Дисперсией непрерывной случайной величины называют математическое ожидание квадрата ее отклонения. лекция № 4 Поснтикова Дисперсией непрерывной случайной величины называют математическое ожидание квадрата ее отклонения. лекция № 4 Поснтикова Ольга Алексеевна 9

лекция № 4 Поснтикова Ольга Алексеевна 10 лекция № 4 Поснтикова Ольга Алексеевна 10

Среднее квадратическое непрерывной случайной определяется равенством лекция № 4 Поснтикова Ольга Алексеевна отклонение величины Среднее квадратическое непрерывной случайной определяется равенством лекция № 4 Поснтикова Ольга Алексеевна отклонение величины 11

Замечание 1. Свойства математического ожидания и дисперсии дискретных случайных величин сохраняются и для непрерывных Замечание 1. Свойства математического ожидания и дисперсии дискретных случайных величин сохраняются и для непрерывных величин. лекция № 4 Поснтикова Ольга Алексеевна 12

Замечание 2. Для вычисления дисперсии НСВ X можно использовать формулу: лекция № 4 Поснтикова Замечание 2. Для вычисления дисперсии НСВ X можно использовать формулу: лекция № 4 Поснтикова Ольга Алексеевна 13

Пример. Найти плотность распределения и числовые характеристики случайной величины X заданной интегральной функцией распределения Пример. Найти плотность распределения и числовые характеристики случайной величины X заданной интегральной функцией распределения лекция № 4 Поснтикова Ольга Алексеевна 14

Решение. лекция № 4 Поснтикова Ольга Алексеевна 15 Решение. лекция № 4 Поснтикова Ольга Алексеевна 15

лекция № 4 Поснтикова Ольга Алексеевна 16 лекция № 4 Поснтикова Ольга Алексеевна 16

лекция № 4 Поснтикова Ольга Алексеевна 17 лекция № 4 Поснтикова Ольга Алексеевна 17

лекция № 4 Поснтикова Ольга Алексеевна 18 лекция № 4 Поснтикова Ольга Алексеевна 18

лекция № 4 Поснтикова Ольга Алексеевна 19 лекция № 4 Поснтикова Ольга Алексеевна 19

лекция № 4 Поснтикова Ольга Алексеевна 20 лекция № 4 Поснтикова Ольга Алексеевна 20

лекция № 4 Поснтикова Ольга Алексеевна 21 лекция № 4 Поснтикова Ольга Алексеевна 21