Аппроксимация и интерполяция.ppt
- Количество слайдов: 20
ТЕМА: АППРОКСИМАЦИЯ ФУНКЦИЙ Аппроксимация – это приближение. y – это некоторая функция от х; На практике не всегда возможно выразить зависимость между х и у в виде явной функции у=f(х). В этом случае зависимость между х и у задается в табличном виде: х у табличные данные х1 х2 х3 хn у1 у2 у3 yn по данным расчетов или экспериментов аппроксимация функций значения у при любых значениях х из некоторой области
Суть аппроксимации: неизвестная или сложная функция f(х) приближенно заменяется некоторой функцией φ(х) так, чтобы отклонение φ(х) от f(х) было наименьшим в заданной области. Отклонение определяется по-разному для разных методов аппроксимации. Функция φ(х) называется аппроксимирующей. Аппроксимация многочленом. Полагается, что φ(х) =а 0+а 1 х+а 2 х2+…+аmxm (*) Коэффициенты аi подбираются так, чтобы отклонение φ(х) от f(х) было минимальным.
АППРОКСИМАЦИЯ ТОЧЕЧНАЯ НЕПРЕРЫВНАЯ (ИНТЕГРАЛЬНАЯ) Аппроксимация называется точечной, если приближение строится на заданном дискретном множестве точек {хi}. Аппроксимация называется непрерывной, если функция приближается на отрезке [a, b].
Один из основных видов точечной аппроксимации – интерполирование. Суть интерполирования. Для данной функции у=f(х) строится многочлен φ(х), принимающий в заданных точках хi те же значения уi, что и f(х), то есть φ(хi)=уi, i=(0, n) (**), причем предполагается, что хi≠xk (i≠k). Точки хi называются узлами интерполяции. х0 х1 х2 хn
Коэффициенты многочлена находятся из системы уравнений (**). Можно показать, что при хi≠хk (i≠k) эта система имеет единственное решение, т. е. при заданном наборе узлов существует один и только один интерполяционный многочлен. Интерполяционный многочлен может строиться для всего интервала значений хi глобальная интерполяция для частей интервала локальная (кусочная) интерполяция Обычно аппроксимация проводится в промежуточных точках х0<x<xn. Если интерполяционные многочлены используются для приближения функций вне отрезка, т. е. х<x 0, x>xn, то такое приближение называют экстраполяцией.
ТЕМА: ИНТЕРПОЛИРОВАНИЕ ЛОКАЛЬНАЯ ЛИНЕЙНАЯ ИНТЕРПОЛЯЦИЯ Суть: заданные точки (хi, yi) (i=0, 1, …, n) соединяются прямолинейными отрезками, и функция f(х) приближается ломаной линией: уi уi-1 хi
Запишем уравнение прямой, проходящей через две точки: (хi-1, yi-1) и (хi, yi): Отсюда: у=aix+bi; хi-1≤x≤xi.
Замечание. Для каждого отрезка ломаной линии будут свои коэффициенты ai и bi. ЭТАПЫ ЛИНЕЙНОЙ ИНТЕРПОЛЯЦИИ: Определение интервала, в который попадает значение аргумента х Вычисление значения у по формуле, соответствующей данному интервалу
Пример. Найти приближенное значение функции при х=5, если известна таблица: узлы интерполяции хi 0 2 4 yi 0 4 16 Значение х=5 находится в интервале (2, 4), т. е. хi-1=2, xi=4. Вычисляем: ai=(16 -4)/(4 -2)=12/2=6; у(5)=6∙ 3 -8=10. bi=4 -6∙ 2= - 8
КВАДРАТИЧНАЯ (ПАРАБОЛИЧЕСКАЯ) ИНТЕРПОЛЯЦИЯ (кусочная, локальная) В качестве интерполяционной функции на отрезке [хi-1, xi+1] принимается квадратичный трехчлен: φ(х)=aix 2+bix+ci; xi-1≤x≤xi+1 ai неизвестные коэффициенты НАХОЖДЕНИЕ КОЭФФИЦИЕНТА уравнение 1 bi НАХОЖДЕНИЕ КОЭФФИЦИЕНТА уравнение 2 ci НАХОЖДЕНИЕ КОЭФФИЦИЕНТА уравнение 3
Условия прохождения параболы через 3 точки: Решая эту систему, найдем: ai bi ci
Пример. Условие предыдущего примера: хi-1=0; xi=2; xi+1=4. Из первого уравнения: сi=0. Система имеет вид: ai∙ 4+bi∙ 2=4; ai∙ 16+bi∙ 4=16; 4 ai+2 bi=4; 4 ai+bi=4; bi=4 -4 ai; 4 ai+8 -8 ai=4; 4 ai=4; ai=1; bi=0; y=x 2; y(3)=9.
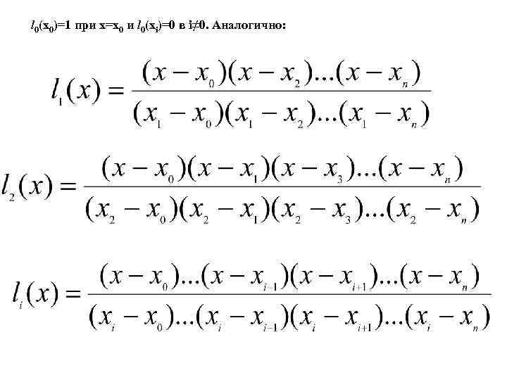
МНОГОЧЛЕН ЛАГРАНЖА (глобальная интерполяция). Суть: построение многочлена, единого на всем отрезке [x 0, xn]. График интерполяционного многочлена должен проходить через все заданные точки. Для многочлена Лагранжа существует специальное обозначение: L(x)=φ(х) Идея его получения: ищем L(x) в виде L(x)=y 0 l 0(x)+y 1 l 1(x)+…+ynln(x), где li – многочлен n-й степени, такой, что li(xi)=1, li(xj)=0, если i≠j. Таким условиям удовлетворяет многочлен
l 0(x 0)=1 при х=х0 и l 0(xi)=0 в i≠ 0. Аналогично:
Подставляем эти выражения в L(х). Получаем: li(x) При n=1 и n=2 получаем выражения для линейной и квадратичной интерполяций:
ТЕМА: ИНТЕРПОЛЯЦИЯ СПЛАЙНАМИ При использовании многочлена Лагранжа увеличение числа узлов ведет к увеличению степени полинома. Большая степень полинома усложняет дальнейшую обработку (найти функции, проинтегрировать и т. п. ). Кроме того, растут |fn(х)|, следовательно, растет погрешность. Некоторые функции не имеют производных высоких степеней. Сплайн (от англ. spline – рейка, стержень) – это приспособление для проведения гладких кривых через заданные точки
При проектировании кривых и поверхностей технических объектов накладывается требование непрерывности кривизны, т. е. функция, описывающая кривую или поверхность, должна иметь непрерывную вторую производную. На практике чаще всего используются кубические сплайны (полиномы 3 -й степени), т. к. это сплайны минимальной степени, имеющие непрерывную вторую производную. Пусть имеется функция f(x): х у х0 у0 х1 у1 х2 у2 …. хm уm х0<x 1<…<xm
Сплайном называется функция Sni(x), такая, что на каждом отрезке [xi, xi+1] 0≤i≤m-1 это полином степени n (т. е. для каждого отрезка свой). Sni(x)=a 01+a 1 ix+…+anixn, xi≤x≤xi+1, n≥ 1. Отличие от локальной интерполяции – накладываются дополнительные условия: 1. Функции Sni должны совпадать со значениями интерполируемой функции f(x) в узловых точках. 2. Условие сопряжения в узловых точках Sni(l)(xi+1)=Sn(i+1)(xi+1) i=0, 1, …, m-2; l=0, 1, …, ν до некоторого значения ν. S 3 i(l)(xi+1)=S(l)3 i+1(xi+1) l=0, 1, 2. (*)
Условия сопряжения приводят к системе линейных уравнений относительно коэффициентов {а 0 i, …, ani}. Матрица системы линейных уравнений при этом содержит большое количество нулей, что упрощает процедуру решения. Отличие: сплайн записывается для каждого отрезка [xi, xi+1] свой, но коэффициенты находятся сразу для всех полиномов, согласованы между собой. При n=3 – кубические сплайны: S 3 i(x)=a 0 i+a 1 ix+a 2 ix 2+a 3 ix 3; S 3 i’’(x)=a 1 i+2 a 2 ix+3 a 3 ix 2; S 3 i’’(x)=2 a 2 i+6 a 3 ix; S 3 i(3)(x)=6 a 3 i, i=0, m.
Для каждого участка [xi, xi+1] записываются условия сопряжения и совпадения с исходной функцией f(x). То есть вместо х подставляем xi, а вместо S 3 i(xi) – уi. Приравниваем соответствующие производные. В результате получится большая система линейных уравнений для S точек размером 20× 20 или больше. Эту систему можно решить, найти все коэффициенты и для каждого участка записать свой сплайн.
Аппроксимация и интерполяция.ppt