6009e968babe6208d79c5858cf8cd739.ppt
- Количество слайдов: 48
ТЕМА 1. Неопределённый и определенные интегралы Лектор – Янущик Ольга Владимировна
1. Первообразная функция и неопределенный интеграл Основная задача дифференциального исчисления: для функции f(x) найти f (x). Обратная задача: известна f (x), требуется найти f(x). ОПРЕДЕЛЕНИЕ. Пусть f(x) и F(x) определены на X ℝ. Функция F(x) называется первообразной для функции f(x) на промежутке X ℝ, если F(x) дифференцируема на X и x X выполняется равенство F (x) = f(x). ПРИМЕРЫ. 1) F(x) = sinx – первообразная для f(x) = cosx на ℝ, т. к. (sinx) = cosx , x ℝ; 2) F(x) = ln| x | – первообразная для на любом 2 проме-
ВОПРОСЫ: 1) для любой ли функции существует первообразная; 2) если функция имеет первообразную, то будет ли она единственной? ТЕОРЕМА 1 (о связи первообразных). Пусть F(x) – первообразная для функции f(x) на X. Функция (x) будет первообразной для f(x) на X функции (x) и F(x) на X связаны равенством (x) = F(x) + C, где C – некоторое число. 3
ТЕОРЕМА 2 (достаточное условие интегрируемости). Если функция непрерывна на некотором промежутке, то она имеет на этом промежутке первообразную. Замечание. Производная от элементарной функции всегда является функцией элементарной. Первообразная от элементарной функции может не быть функцией элементарной. Интегралы от таких функций называются неберущимися. Неберущимися являются, например, интегралы 4
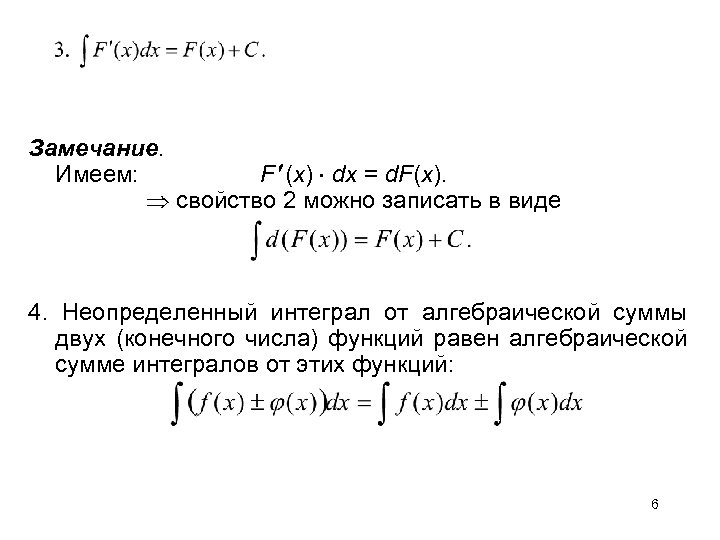
СВОЙСТВА НЕОПРЕДЕЛЕННОГО ИНТЕГРАЛА 1. Производная неопределенного интеграла равна подинтегральной функции: Замечание. Правильность интегрирования всегда можно проверить: достаточно продифференцировать результат. При этом должна получиться подинтегральная функция. 2. 5
Замечание. Имеем: F (x) dx = d. F(x). свойство 2 можно записать в виде 4. Неопределенный интеграл от алгебраической суммы двух (конечного числа) функций равен алгебраической сумме интегралов от этих функций: 6
2. Определенный интеграл: определение и условие его существования Пусть f(x) задана на отрезке [a; b]. ОПРЕДЕЛЕНИЕ. 1) Разобьем [a; b] на n частей точками x 0 = a , x 1 , x 2 , … , xn = b , где x 0 < x 1 < x 2 < … < xn. 2) На каждом отрезке [xi– 1 ; xi] (i = 1, 2, …n) выберем про извольную точку i и найдем произведение f( i) Δxi , где Δxi = xi – xi– 1 – длина отрезка [xi– 1 ; xi]. Сумма называется интегральной суммой для функции f(x) на отрезке [a; b].
Пусть Число I называется пределом интегральных сумм In(xi, i) при 0 , если для любого >0 существует >0 такое, что для любого разбиения отрезка [a; b] у которого < , при любом выборе точек i выполняется неравенство | In(xi, i) – I | < . Если существует предел интегральных сумм In(xi, i) при 0, то его называют определенным интегралом от функции f(x) на отрезке [a; b] (или в пределах от a до b). ОБОЗНАЧАЮТ: Называют: [a; b] – промежуток интегрирования, a и b – нижний и верхний предел интегрирования, f(x) – подынтегральная функция, f(x)dx – подынтегральное выражение,
Вычисление определенного интеграла (2) Где F(b) первообразная. Формула (2) называется формулой Ньютона – Лейбница. Разность F(b) – F(a) принято сокращенно записывать в виде Символ называют знаком двойной подстановки. Используя это обозначение, формулу (2) можно переписать в виде Замечание. В формуле (2) можно взять любую из первообразных функции f(x), так как F(b) – F(a) не зависит от
3. Методы интегрирования 1. Непосредственное интегрирование Суть метода: с помощью простых преобразований (выполнение каких-либо арифметических действий, применение стандартных формул алгебры и геометрии и т. д. ) подынтегральная функция записывается в виде суммы функций, первообразные для которых известны (говорят: «записывается в виде суммы табличных интегралов» ). 10
Таблица интегралов
Примеры 1. 2. Пример 1.
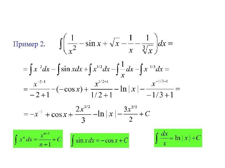
Пример 2.
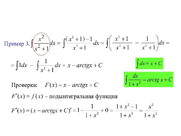
( Пример 3. ) Проверка: – подынтегральная функция
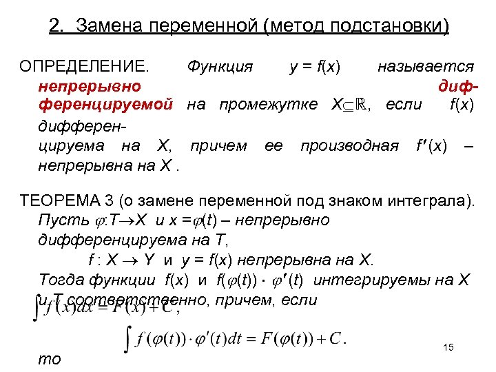
2. Замена переменной (метод подстановки) ОПРЕДЕЛЕНИЕ. Функция y = f(x) называется непрерывно дифференцируемой на промежутке X ℝ, если f(x) дифференцируема на X, причем ее производная f (x) – непрерывна на X. ТЕОРЕМА 3 (о замене переменной под знаком интеграла). Пусть : T X и x = (t) – непрерывно дифференцируема на T, f : X Y и y = f(x) непрерывна на X. Тогда функции f(x) и f( (t)) (t) интегрируемы на X и T соответственно, причем, если то 15
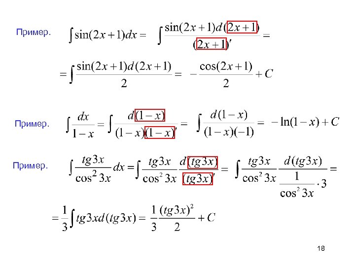
3. Внесение функции под знак дифференциала – частный случай подстановки СЛЕДСТВИЕ 4 теоремы 3 (об инвариантности формул интегрирования). Любая формула интегрирования остается справедливой, если везде заменить переменную на непрерывно дифференцируемую функцию, т. е. если то где u = (x) – любая непрерывно дифференцируемая функция Например, так как 16 то
Пример. ( ) Пример. Выразим dx: 17
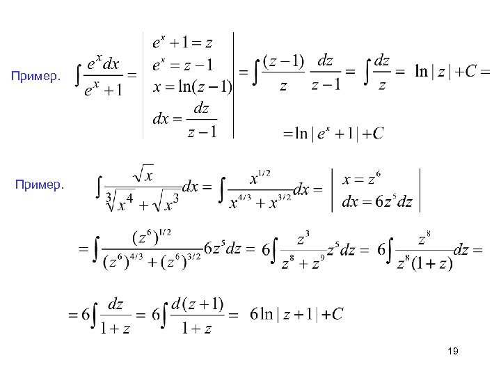
Пример. 18
Пример. 19
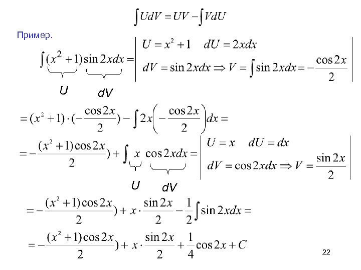
4. Интегрирование по частям ТЕОРЕМА 5. Пусть функции u(x) и v(x) непрерывно дифференцируемы на X ℝ. Тогда на X существуют интегралы и справедливо равенство (1) Формула (1) называется формулой интегрирования по частям. 20
I. III. (циклический) U d. V U=amx d. V 21
Пример. U d. V 22
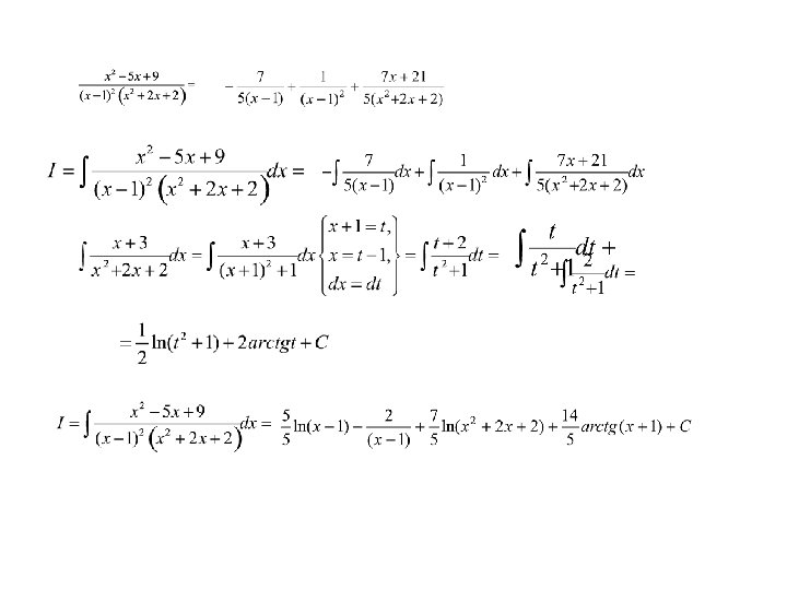
5. Интегрирование рациональных дробей ОПРЕДЕЛЕНИЕ. Рациональной дробью называется отношение 2 -х многочленов, т. е. функция вида где Pm(x), Pn(x) – многочлены степени m и n соответственно. Если m < n, то рациональная дробь называется правильной. В противном случае (т. е. если m n) дробь называется неправильной. Неправильная рациональная дробь представима в виде суммы многочлена и правильной рациональной дроби: где Q(x) – некоторый многочлен степени m – n, Pr(x) – многочлен степени r < n. 23
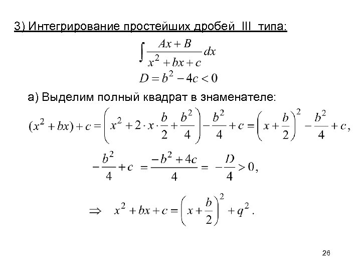
1. Интегрирование простейших рациональных дробей ОПРЕДЕЛЕНИЕ. Простейшими рациональными дробями I, III, IV типа называются соответственно правильные дроби вида где D = b 2 – 4 c < 0 , m – натуральное число (m > 1). 1) Интегрирование простейших дробей I типа: 2) Интегрирование простейших дробей II типа: 24
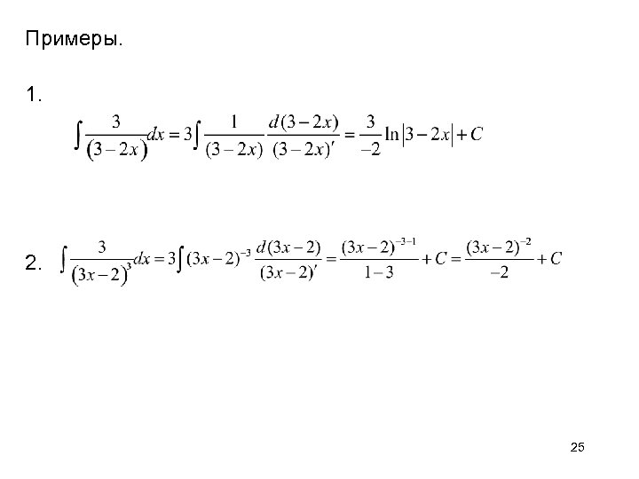
Примеры. 1. 25
3) Интегрирование простейших дробей III типа: а) Выделим полный квадрат в знаменателе: 26
б) Сделаем замену: В результате интеграл будет приведен к виду в) Представим получившийся интеграл в виде суммы 2 -х интегралов: В первом – внесем под знак дифференциала знаменатель, Второй интеграл – табличный: 27 г) Вернемся к исходной переменной x.
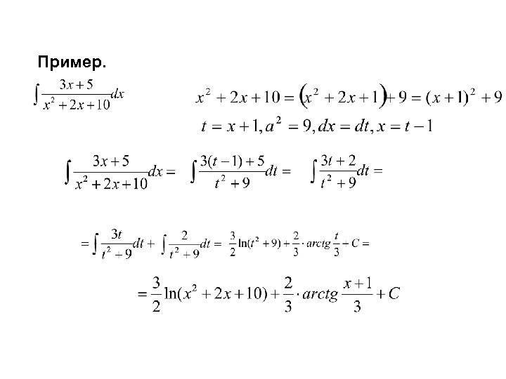
Пример.
2. Интегрирование правильных рациональных дробей Пусть – правильная рациональная дробь. Запишем Pn(x) в виде произведения линейных и квадратичных множителей: где 29
ТЕОРЕМА 1. Любая правильная рациональная дробь единственным образом представима в виде суммы конечного числа простейших рациональных дробей. При этом между слагаемыми этой суммы и множителями в разложении (2) имеет место следующее соответствие: 1) каждому множителю вида (x – a)k соответствует сумма из k простейших дробей вида где A 1 , A 2 , …, Ak – некоторые числа; 2) каждому множителю вида (x 2 + bx + c)t 30
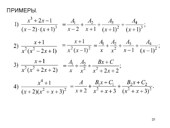
ПРИМЕРЫ. 31
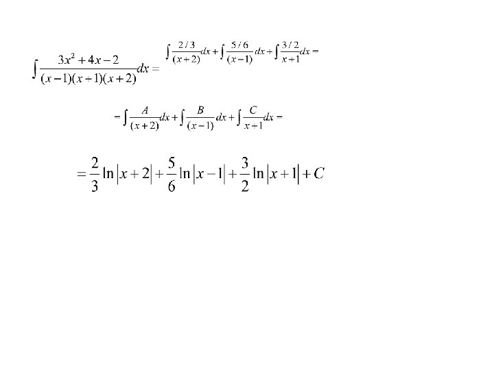
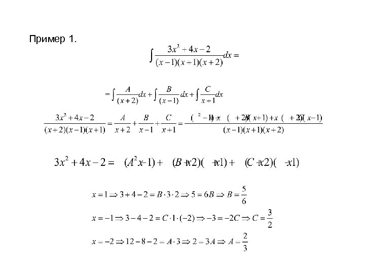
Разложение конкретной правильной рациональной дроби в сумму простейших обычно производят методом неопределенных коэффициентов, который представляет собой следующую последовательность действий: 1) записываем знаменатель Pn(x) в виде произведения линейных и неразложимых квадратичных множителей; 2) записываем разложение дроби в сумму простейших с неопределенными коэффициентами в числителях (по теореме 1); 3) складываем простейшие дроби и приравниваем 32
Замечание. 1) Систему для нахождения неизвестных коэффициентов можно получить из равенства Qr(x) = Pr(x) и другим способом. А именно, придавая x r конкретных значений, получим из равенства Qr(x) = Pr(x) r уравнений, связывающие неизвестные коэффициенты. Такой метод получения системы уравнений для нахождения неизвестных коэффициентов называется методом частных значений. 2) Разлагать правильную рациональную дробь в сумму простейших не следует, если есть более простой способ найти интеграл. Например, в интеграле лучше внести под знак дифференциала знаменатель. В интеграле 33 лучше предварительно сделать замену переменной
План интегрирования рациональной дроби 1. Выделить целую часть (сделать дробь правильной) 2. Разложить знаменатель на множители. 3. Записать дробь в виде суммы простейших дробей. 4. Определить коэффициенты. 5. Проинтегрировать. 34
Пример 1.
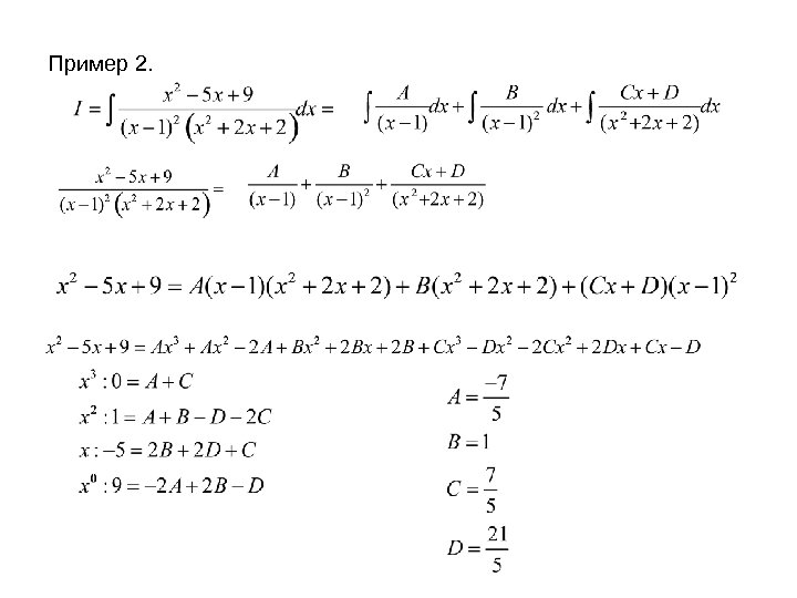
Пример 2.
Консультация 1 Неопределенный интеграл Лектор. Янущик О. В. 2016
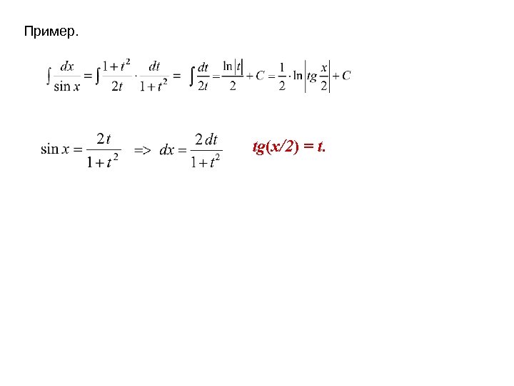
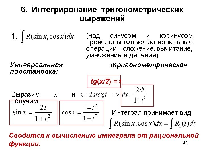
6. Интегрирование тригонометрических выражений (над синусом и косинусом проведены только рациональные операции – сложение, вычитание, умножение и деление) тригонометрическая 1. Универсальная подстановка: tg(x/2) Выразим получим x = t. и Интеграл принимает вид: Сводится к вычислению интеграла от рациональной 40 функции.
Пример. tg(x/2) = t.
В ряде случаев существуют и более простые методы. 2. а) подынтегральная функция нечетна относительно синуса Рекомендуемая подстановка: cos x = t б) подынтегральная функция нечетна относительно косинуса Рекомендуемая подстановка: sin x = t. в) подынтегральная функция четная относительно синуса и косинуса Рекомендуемая подстановка: 42
3. Интегралы вида Рекомендуемая подстановка: Пример 43
Следует использовать формулы: Пример. 44
5. Интегралы вида а) m – нечётное ⇒ отделяем sin x: б) n – нечётное ⇒ отделяем cos x: в) m и n –чётные понижаем степень ⇒ Пример. 45
7. Интегрирование иррациональных выражений Замена: Рекомендуемая подстановка: 46
a, b, g …– дробные рациональные числа, s – наименьшее общее кратное чисел a, b, g… 47
5. Дифференциальный бином Выражение вида , где (m, n, p, a, b) – const, называется дифференциальным биномом. Теорема. (Чебышева) Интегралы (m, n, p ∈ Q) выражаются в конечном виде через элементарные функции, если оказывается целым одно из чисел: Подстановка , где s – знаменатель p Подстановка , где s – знаменатель p 48


