Лекция 13.pptx
- Количество слайдов: 22
СВЯЗАННЫЕ КОЛЕБАТЕЛЬНЫЕ КОНТУРЫ
Два контура называются связанными, если возбуждение электрических колебаний в одном из них приводит к возникновению колебаний в другом. Каждый из связанных контуров может быть либо колебательным (если он содержит индуктивные катушки и конденсаторы), либо апериодическим (если он содержит реактивные элементы только одного типа). Наибольший практический интерес представляют связанные колебательные контуры, так как их изби рательные свойства лучше, чем избирательные свойства одиночных колебательных контуров. В зависимости от типа элемента, с помощью которого осуществляется взаимодействие между контурами, различают контуры с трансформаторной, индуктивной, емкостной и комбинированной (индуктивно-емкостной) связями. По способу включения элемента связи связанные контуры подразделяются на контуры с внешней и внутренней связями.
Принципиальные электрические схемы связанных колебательных контуров: а − с трансформаторной связью; б − с внутренней индуктивной (автотрансформаторная) связью; в − с внешней индуктивной связью; г − с внутренней емкостной связью; д − с внешней емкостной связью
Внешнее воздействие на связанные колебательные контуры обычно задается в виде напряжения источника энергии Г, включенного в один из контуров, называемый первичным. В качестве реакции связанных контуров на внешнее действие рассматривают ток или напряжение одного из элементов другого контура, называемого вторичным. Каждому типу связанных колебательных контуров можно поставить в соответствие так называемый четырехполюсник связи, который получается из исходных контуров при их размыкании и устранении из них всех элементов, имеющих другой характер по сравнению с элементом связи.
Назовем коэффициентом передачи из первичного контура во вторичный комплексный коэффициент передачи соответствующего четырехполюсника связи по напряжению от зажимов к зажимам (при холостом ходе на зажимах ): а коэффициентом передачи из вторичного контура в первичный — комплексный коэффициент передачи четырехполюсника связи по напряжению от зажимов к зажимам (при холостом ходе на зажимах ) Нетрудно убедиться, что коэффициенты передачи и связанных контуров, схемы которых и соответствующие четырехполюсники связи приведены ранее, являются действительными числами и не зависят от частоты.
Среднее геометрическое из коэффициентов передачи K 12 и K 21 и называется коэффициентом связи между контурами: Коэффициент связи не зависит от частоты и используется для количественной оценки степени связи между контурами. Для контуров с трансформаторной связью при определении коэффициентов передачи K 12 и K 21 можно воспользоваться компонентными уравнениями связанных индуктивностей: Можно установить, что коэффициент связи между контурами с трансформаторной связью равен коэффициенту связи между входящими в эти контуры индуктивностями:
Анализируя четырехполюсники связи, получим выражения для коэффициентов связи между контурами: с внутренней индуктивной (автотрансформаторной) связью (б) с внешней индуктивной связью (в) с внутренней емкостной связью (г) с внешней емкостной связью (д)
значение коэффициента связи между контурами kсв не может превышать единицы, причем с увеличением параметра элемента связи (M, Lсв, Ссв) возрастает коэффициент kсв между контурами с трансформаторной, автотрансформаторной и внешней емкостной связями и уменьшается коэффициент связи между контурами с внешней индуктивной и внутренней емкостной связями.
Схемы замещения Для изучения процессов в связанных контурах различных типов воспользуемся их обобщенной комплексной схемой замещения, на которой Z 1 — комплексное сопротивление элементов, входящих только в первичный контур; Z 2 — комплексное сопротивление элементов, входящих только во вторичный контур; Z 12 — комплексное сопротивление связи.
Схемы замещения Сопротивление Z 1 включает в себя внутреннее сопротивление источника энергии Г, а также комплексные сопротивления индуктивной катушки L 1 и конденсатора C 1; сопротивление Z 2 равно сумме комплексных сопротивлений индук тивнойкатушки L 2 и конденсатора C 2, а сопротивление Z 12 представляет собой комплексное сопротивление элемента связи (индуктивной катушки Lсв или конденсатора Cсв). Чтобы обобщенную схему замещения можно было применять для анализа контуров с внешней индуктивной или емкостной связью, эти контуры должны быть (с помощью преобразования треугольник — звезда) заменены эквивалентными контурами с внутренней индуктивной или емкостной связью.
Схемы замещения Исключая из уравнений ток сопротивления преобразуем их к более удобному виду: связи I 12, где — собственные сопротивления первичного и вторичного контуров, равные сумме всех сопротивлений, входящих в каждый из контуров.
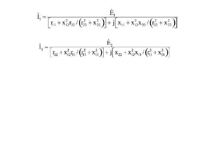
Решая уравнения относительно токов первичного и вторичного контуров, получаем: Величина, стоящая в знаменателе первого выражения, имеет физический смысл входного сопротивления системы связанных контуров относительно точек 1 1`. Эта величина отличается от собственного сопротивления первичного контура Z 11 на некоторую величину , учитывающую влияние вторичного контура на процессы, протекающие в первичном. Нетрудно
Величины получили название вносимых сопротивлений. Влияние первичного контура на процессы во вторичном контуре учитываются не только введением в него некоторого дополнительного сопротивления Zвн 2. Числитель выражения для I 2 может рассматриваться как ЭДС некоторого источника: внесенного во вторичный контур под влиянием первичного. Напряжение вносимого источника Eвн 2 численно равно напряжению на сопротивлении связи Z 12 при разомкнутом вторичном контуре.
С учетом этого выражения для токов I 1 и I 2 могут быть записаны в единообразной форме: Этим выражениям можно поставить в соответствие схемы замещения первичного и вторичного контуров
С учетом этого выражения для токов I 1 и I 2 могут быть записаны в единообразной форме: Этим выражениям можно поставить в соответствие схемы замещения первичного и вторичного контуров
Настройка связанных контуров Настройка связанных колебательных контуров заключается в таком выборе параметров реактивных элементов контуров, при котором ток вторичного контура достигает максимального значения при заданных частоте и амплитуде напряжения источника энергии. Различают следующие способы настройки связанных контуров: − настройка на частные резонансы; − настройка на индивидуальный резонанс; − настройка на сложный резонанс; − настройка на полный резонанс.
Настройка связанных контуров Настройку на первый или второй частный резонанс осуществляют путем изменения параметров реактивных элементов, входящих только в первичный или только во вторичный контур. При настройке на первый частный резонанс добиваются выполнения условия: а при настройке на второй частный резонанс — условия:
Настройка связанных контуров При настройке на индивидуальный резонанс параметры реактивных элементов, входящих только в первичный и только во вторичный контур, выбирают таким образом, чтобы обеспечить равенство нулю мнимой составляющей собственного сопротивления каждого контура при размыкании другого контура: Очевидно, что при выполнении этого условия одновременно выполняются и условия настройки на первый и второй частные резонансы.
Настройка связанных контуров Если настройка связанных контуров на первый или второй частный резонанс сопровождается последующим выбором оптимального значения сопротивления связи, то происходит настройка контуров на сложный (оптимальный) резонанс. Максимально возможное значение тока вторичного контура при настройке на сложный резонанс не зависит от того, какой из контуров был предварительно настроен на частный резонанс.
Настройка связанных контуров Наибольший практический интерес представляет настройка связанных контуров на полный резонанс, которая, как и настройка на сложный резонанс, выполняется в два этапа. На первом этапе связанные контуры настраивают на индивидуальный резонанс, а на втором этапе выбирают оптимальное сопротивление связи между ними. Максимально возможное значение тока вторичного контура при настройке на полный резонанс достигается при Таким образом, при настройке на сложный резонанс, как и при настройке на полный резонанс достигается одно и то же значение тока вторичного контура.
Лекция 13.pptx