уроки электростатика.ppt
- Количество слайдов: 166
- свойство элементарных частиц характеризующее электромагнитное взаимодействие и являющееся мерой этого взаимодействия.
электромагнитное взаимодействие
Электрический заряд – это физическая величина, характеризующая свойство частиц или тел вступать в электромагнитные силовые взаимодействия. Обозначение - q или Q Единица измерения ― 1 Кл (Кулон) = 1 A∙ 1 c Существует два рода электрических зарядов, условно названных положительными и отрицательными. Одноименные заряды отталкиваются, разноименные – притягиваются.
одноименные - отталкиваются, разноименные - притягиваются
Взаимодействие точечных зарядов
• Элементарный электрический заряд Кл заряд электрона -e, заряд протона +e • Электрический заряд дискретен (квантован) где n- целое число.
Существует в природе qmin= е =1, 6∙ 10 -19 Кл. Больший заряд является целым кратным e: q=ze, где z=1, 2, 3… Сколько электронов нужно удалить с поверхности незаряженного тела, чтобы его заряд стал равным 3, 2· 10 -18 Кл? Ответ: 20
• Заряды существуют двух видов «+» и «-» и не существуют без частиц • Одноименные заряды отталкиваются, разноименные притягиваются • Существует в природе qmin=е=1, 6∙ 10 -19 Кл. Больший заряд является целым кратным e: q=ze, где z=1, 2, 3… (кварки с q=± 1/3 е и q=± 2/3 е в свободном состоянии не существуют) • Заряд не зависит от СО и υ (инвариантен)
Закон сохранения заряда В изолированной системе алгебраическая сумма зарядов всех тел остается постоянной q 1 + q 2 + q 3 +. . . +qn = const Следовательно - в замкнутой системе тел не могут наблюдаться процессы рождения или исчезновения зарядов только одного знака.
Дискретность означает что заряд любого тела принимает строго определенные значения, (кратные заряду электрона). А инвариантность означает что в любой системе отсчета заряд тела имеет одно и тоже значение.
q 1+ q 2+ q 3 +… + qn = const В замкнутой системе алгебраическая сумма зарядов сохраняется
• Электризуются все тела • Электризуются оба тела (контакт, трение, деформация, нагрев, облучение, индукция) • Электризация обусловлена разной плотностью заряда и разной работой выхода (энергией связи)
Состав атома
нейтрон протон электрон
нейтрон протон
электрон
При электризации электроны переходят от одних тел к другим
+ + ++
Г. Увеличивается на величину массы сообщенных отрицательных зарядов. Что происходит с массой небольшого куска металла, если его зарядить отрицательно? А. Уменьшается на величину массы отводимых положительных зарядов. Б. Уменьшается на величину массы отводимых отрицательных зарядов. В. Остается неизменной. Г. Увеличивается на величину массы сообщенных отрицательных зарядов.
- + + r 1 r 2 -
Два точечных заряда отталкиваются друг от друга, если заряды: 1. одинаковы по знаку и любые по модулю 2. одинаковые по знаку и модулю 3. различны по знаку и модулю 4. различны по знаку и одинаковы по модулю
Как взаимодействуют заряженные тела? А) две стеклянные палочки, потертые о шелк Б) стеклянная палочка, потертая о шелк, и эбонитовая палочка, потертая о мех В) две эбонитовые палочки, потертые о мех 1) притяжение 2) отталкивание 3) взаимодействие отсутствует
Незаряженная капля жидкости разделилась на две части. Заряд первой +q, а заряд второй 1. 0 2. +q 3. +2 q 4. - q
Частица, обладающая наименьшим отрицательным зарядом —. . . 1) Нейтрон 2) Электрон 3) Ион 4) Протон
Заряд электрона равен. . . 1) 3, 2*10 -19 Кл 2) 1 Кл 3) 1, 6*10 -19 Кл 4) 1, 6*1019 Кл
Если у тела число протонов меньше числа электронов, то оно. . 1) Не имеет заряда 2) Положительно заряжено 3) Отрицательно заряжено 4) Может быть как положительно, так и отрицательно заряжено
Как взаимодействуют заряженные тела? А) две стеклянные палочки, потертые о шелк Б) стеклянная палочка, потертая о шелк, и эбонитовая палочка, потертая о мех В) две эбонитовые палочки, потертые о мех 1) притяжение 2) отталкивание 3) взаимодействие отсутствует
Закон Кулона Сила взаимодействия между двумя неподвижными точечными зарядами, находящимися в вакууме, прямо пропорциональна произведению модулей зарядов, обратно пропорциональна квадрату расстояния между ними
Как изменится сила Кулона, если: • Величину каждого заряда увеличить в 2 раза? • Расстояние между зарядами уменьшить в 3 раза? • Величину каждого заряда увеличить в 4 раза, а расстояние между ними уменьшить в 2 раза? • Какова диэлектрическая проницаемость среды, если сила взаимодействия зарядов в ней уменьшилась в 4 раза по сравнению с вакуумом?
+ – расстояние между зарядами – произведение модулей зарядов – диэлектрическая проницаемость среды (диэлектрика)
Определить расстояние между двумя одинаковыми точечными зарядами по 3 мк. Кл каждый, находящимися в вакууме, если модуль силы взаимодействия между ними равен 100 м. Н. Дано: F=100 м. Н q 1=q 2=q=3 мк. Кл =1
Во сколько раз электрическое притяжение протона и электрона в атоме водорода больше гравитационного? Дано: me=9, 1∙ 10 -31 кг mр=1, 67∙ 10 -27 кг qе=qр=е=1, 6∙ 10 -19 Кл + Частицы взаимодействуют друг с другом силами, имеющими электрическую природу. Гравитационное взаимодействие между частицами пренебрежимо мало.
Величина одного из зарядов уменьшилась в 2 раза, при этом сила их взаимодействия 1. увеличилась в 2 раза 2. увеличилась в 4 раза 3. уменьшилась в 2 раза 4. уменьшилась в 4 раза
Расстояние между зарядами увеличилось в 2 раза, при этом сила их взаимодействия 1. увеличилась в 2 раза 2. увеличилась в 4 раза 3. уменьшилась в 2 раза 4. уменьшилась в 4 раза
Сила взаимодействия двух точечных зарядов при увеличении величины одного их них в 2 раза и уменьшении расстояния между ними в 2 раза 1. не изменится 2. уменьшится в 2 раза 3. уменьшится в 8 раз 4. увеличится в 8 раз
Во сколько раз уменьшится сила кулоновского отталкивания двух маленьких бусинок с равными зарядами, если, не изменяя расстояния между ними, перенести две трети заряда с первой бусинки на вторую бусинку? Дано: q 1=q 2=q
Два одинаковых металлических шарика, заряд одного из которых первоначально равен -5 мк. Кл, соприкасаются и затем снова разводятся. Заряд одного из шариков после разведения равен 3 мк. Кл. Определить в микрокулонах заряд второго шарика до соприкосновения. q 1+ q 2 = q′ 1+ q′ 2 = 2 q′ -5+ q 2=2· 3 q 2= 11 мк. Кл Ответ: 11 мк. Кл
Два одинаковых шарика, имеющих заряды +15· 10 -8 Кл и – 5· 10 -8 Кл, привели в соприкосновение, а затем раздвинули на расстояние 10 см. Определите силу взаимодействия между шариками. Дано: По закону сохранения электрического заряда q 1=+15 · 10 -8 Кл q 1= – 5 · 10 -8 Кл r=10 см F–? Ответ: F=2, 25· 10 -3 Н
На концах отрезка длиной 4 см расположены точечные заряды +6 и +3 мк. Кл. Найти модуль силы, действующей на заряд 2 мк. Кл, помещенный в середине отрезка. Дано: r=4 см q 1= 6 мк. Кл q 2= 3 мк. Кл q 3= 2 мк. Кл + + +
Заряды 90 и 10 н. Кл расположены на расстоянии 24 см друг от друга. Где надо поместить третий заряд, чтобы он находился в равновесии? + + +
Два маленьких шарика с одинаковыми массами m висят на нитях равной длины ℓ. Какой заряд нужно сообщить шарикам, чтобы натяжение нитей стало равным Т? + +
Два одинаковых маленьких заряженных шарика, подвешенных на нитях равной длины, опускают в керосин. Какова должна быть плотность материала шариков, чтобы угол расхождения нитей в в воздухе и керосине был одинаков? + +
Два одинаковых маленьких заряженных шарика, подвешенных на нитях равной длины, опускают в керосин. Какова должна быть плотность материала шариков, чтобы угол расхождения нитей в в воздухе и керосине был одинаков? + +
Плотность заряда — это количество заряда, приходящееся на единицу длины, площади или объёма, таким образом определяются линейная, поверхностная и объемная плотности заряда, которые измеряются в системе СИ: в Кулонах на метр [Кл/м], в Кулонах на квадратный метр [Кл/м²] и в Кулонах на кубический метр [Кл/м³], соответственно. В отличие от плотности вещества, плотность заряда может иметь как положительные, так и отрицательные значения, это связано с тем, что существуют положительные и отрицательные заряд
Гравитационное 6· 10 -39 Электромагнитное Слабое 10 -6 Сильное (ядерное) 1
Действие электрического поля на электрические заряды Электрическое поле — особая форма материи, существующая вокруг тел или частиц, обладающих электрическим зарядом, а также в свободном виде в электромагнитных волнах.
• Электрическое поле непосредственно невидимо, но может наблюдаться по его действию и с помощью приборов. • Основным действием электрического поля является ускорение тел или частиц, обладающих электрическим зарядом
Заряженный шарик в электрическом поле
Свойства электрического поля • Электрическое поле материально, т. е. существует независимо от наших знаний о нем. • Порождается электрическим зарядом: вокруг любого заряженного тела существует электрическое поле.
Свойства электрического поля • Электрическое поле распространяется в пространстве с конечной скоростью, равной скорости света в вакууме. • с ≈ 3 · 108 м/с Поле, созданное неподвижными электрическими зарядами, называется электростатическим.
Электрическим полем называют вид материи, посредством которой происходит взаимодействие электрических зарядов У поля есть две характеристики: напряженность и потенциал
Действие электрического поля на электрические заряды • Электрическое поле можно рассматривать как математическую модель, описывающую значение величины напряженности электрического поля в данной точке пространства. • Электрическое поле является одной из составляющих единого электромагнитного поля и проявлением электромагнитного взаимодействия
Силовые линии однородного электрического поля
Силовые линии неоднородного электрического поля
• Напряженность- силовая характеристика электрического поля • Напряженность электрического поля в данной точке численно равна силе, с которой поле действует на единичный положительный заряд, помещенный в эту точку • Единица измерения: • Напряженность поля точечного заряда:
Напряженность – силовая характеристика электрического поля • Если в точке А заряд q > 0, то векторы напряженности и силы направлены в одну и ту же сторону; • при q < 0 эти векторы направлены в противоположные стороны. От знака заряда q, на который действует поле, не зависит направление вектора напряженности, а зависит направление силы
заряд источника поля + В + А + пробный заряд Будем изменять q в какое либо число раз. Опыт покажет:
Напряженность электрического поля • Напряженность электрического поля – векторная физическая величина. • Направление вектора совпадает в каждой точке пространства с направлением силы, действующей на положительный пробный заряд.
Линии напряженности электростатического поля- линии, касательные к которым в каждой точке поля совпадают по направлению с вектором напряженности поля.
Напряженность электрического поля измеряют с помощью пробного заряда. Как изменится модуль напряженности, если величину пробного заряда увеличить в 2 раза? А) Не изменится. Б) Уменьшится в 2 раза. В) Увеличится в 2 раза. Г) Уменьшится в √ 2 раз. Д) Увеличится в √ 2 раз. А) Не изменится.
В электрическое поле напряженностью 200 Н/Кл внесли заряд 10 -7 Кл. Определите силу, действующую на заряд. 1) 2*10 -5 Н 2) 2*105 Н 3) 0, 5*10 -9 Н 4) 0, 5*109 Н
Принцип суперпозиции
Б) q 1 - положительный, q 2 - отрицательный. - + А Электрическое поле создается двумя одинаковыми по величине точечными зарядами q 1 и q 2. Вектор напряженности электрического поля в точке А, равноудаленной от зарядов, направлен, как показано на рисунке. Каковы знаки зарядов? А) q 1 - отрицательный, q 2 - отрицательный. Б) q 1 - положительный, q 2 - отрицательный. В) q 1 – отрицательный, q 2 - положительный. Г) q 1 - положительный, q 2 – положительный. Д) Ответ не однозначен.
Вдоль какой стрелки направлен вектор напряженности в точке А? А) 1. Б) 2. В) 3. Г) 4. 1 4 А 2 - + 3 А
+
Вектор напряженности электрического поля, созданного двумя одинаковыми зарядами в точке С, направлен. . . 1) Влево 2) Вниз 3) Вверх 4) Вправо
Каждый из четырех одинаковых по величине и знаку зарядов, расположенных в вершинах квадрата, создают в точке А электрическое поле, напряженность которого равна Е. Напряженность поля в точке А равна 1) 0 2) 4 Е 3) 2 4) 4
Как направлена кулоновская сила F , действующая на положительный точечный заряд, помещенный в центр квадрата, в вершинах которого находятся заряды: +q, -q, -q? 1) вправо 2) влево 3) вверх 4) вниз
+ +
+ + +
В точке А напряженность поля равна 63 Н/Кл, а в точке В – 7 Н/Кл. Найдите напряженность поля в точке С, лежащей посередине между точками А и В. 1 + 2 3
Заряды по 0, 1 мк. Кл расположены на расстоянии 6 см друг от друга. Найти напряженность в точке, удаленной на 5 см от каждого из зарядов. Решите задачу для двух случаев: а) оба заряда положительные; б) заряды разноименные. + 1 2 + 3
Заряды по 0, 1 мк. Кл расположены на расстоянии 6 см друг от друга. Найти напряженность в точке, удаленной на 5 см от каждого из зарядов. Решите задачу для двух случаев: а) оба заряда положительные; б) заряды разноименные. + 1 2 _ 3
Какое направление имеет вектор напряженности в точке С электростатического поля двух одинаковых точечных электрических зарядов, расположенных относительно точки С так, как это представлено на рисунке. 1 А. 1 С 2 4 Б. 2 В. 3 3 Г. 4 А. 1 + + Какое направление имеет вектор кулоновской силы, действующей на отрицательный точечный заряд, помещенный в точку С? А. 1 Б. 2 В. 3 Г. 4 В. 3
В) Справа от заряда -q. + Два точечных заряда + 4 q и - q расположены на некотором расстоянии друг от друга. Где на прямой, проходящей через заряды, находится точка, напряженность электростатического поля в которой равна нулю? А) Слева от заряда +4 q Б) Между зарядами В) Справа от заряда -q. Г) Такой точки не существует. Д) Напряженность электростатического поля всюду равна нулю.
Как изменится по модулю напряженность электрического поля точечного заряда при увеличении расстояния от заряда в 2 раза? А. Увеличится в 4 раза. Б. Увеличится в 2 раза. В. Не изменится. Г. Уменьшится в 4 раза. Д. Уменьшится в 2 раза. Г. Уменьшится в 4 раза
3 1 2 линии в каждой точке которых вектор напряженности направлен по касательной к ним.
Силовые линии электрических полей Силовые линии кулоновских полей
-q - +2 q +
Силовые линии поля электрического диполя
Сравните линии напряженности однородного и неоднородного электрических полей Силовая линия (или линия напряженности) — это воображаемая направленная линия в пространстве, касательная к которой в каждой точке совпадают с направлением вектора напряженности в этой точке
На каком рисунке правильно изображена картина линий напряженности электростатического поля точечного отрицательного заряда?
Число силовых линий, приходящихся на поверхность единичной площади, расположенную нормально к силовым линиям, пропорционально модулю напряженности
(ЕГЭ 2008 г. ) А 19. На рисунке изображены линии напряженности электрического поля в некотором месте пространства. В какой из точек напряженность максимальна по модулю? • • 1 2 3 4
(ЕГЭ 2010 г. ) А 17. Какое направление в точке О имеет вектор напряженности электрического поля, созданного двумя одноименными зарядами? 1. ↓ 2. ↑ 3. ← 4. →
(ЕГЭ 2007 г. ) А 19. Определите напряженность поля в центре квадрата, 1 2 E 3 E 2 E 4 E 1 3 4 в углах которого находятся заряды: (+q), (—q), (—q)?
(ЕГЭ 2008 г. , ДЕМО) А 17. На рисунке показано расположение двух неподвижных точечных электрических зарядов + 2 q и – q. EA EB Модуль вектора напряженности электрического поля этих зарядов имеет 1. 2. 3. 4. максимальное значение в точке А максимальное значение в точке В одинаковые значения в точках А и С одинаковые значения во всех трех точках
R + r r
R + r r
поверхностная плотность электрического заряда R
+ -
А B
Поле плоского конденсатора: Идеализированное представление поля плоского конденсатора:
Точечный заряд 10 -9 Кл находится на расстоянии 1 см от середины равномерно заряженной пластины площадью 400 см 2 и зарядом 10 -6 Кл. Определите поверхностную плотность электрического заряда пластины и силу взаимодействия точечного заряда с пластиной. Дано: q = 10 -9 Кл Q = 10 -6 Кл S = 400 см 2 r = 1 см σ-? F-? 2) r 2 =1 см 2 << S = 400 см 2, надо воспользоваться моделью «бесконечная плоскость» !
Потенциал Физическая величина, равная отношению потенциальной энергии электрического заряда в электрическом поле к заряду, называется потенциалом электрического поля
заряд источника поля + В + А + пробный заряд Будем изменять q в какое либо число раз. Опыт покажет:
Потенциал точечного заряда
При перемещении заряда в поле работа сил поля равна произведению заряда на разность потенциалов начальной и конечной точек траектории движения заряда
В однородном поле напряженностью 1 к. В/м переместили заряд -25 н. Кл в направлении силовой линии на 2 см. Найти работу поля, изменение потенциальной энергии взаимодействия заряда и поля и напряжение между начальной и конечной точками перемещения. Дано: q=-25∙ 10 -9 Кл Е=1 к. В/м S=2 см А-? ΔWп - ? U-? -
В однородном поле напряженностью 60 к. В/м переместили заряд 5 н. Кл на 20 см под углом 600 к силовым линиям. Найти работу поля, изменение потенциальной энергии взаимодействия заряда и поля и напряжение между начальной и конечной точками перемещения. Дано: q=5∙ 10 -9 Кл Е=60 к. В/м S=20 см = 600 А-? ΔWп - ? U-? +
В однородном поле напряженностью 60 к. В/м переместили заряд 5 н. Кл на 20 см под углом 600 к силовым линиям. Найти работу поля, изменение потенциальной энергии взаимодействия заряда и поля и напряжение между начальной и конечной точками перемещения. Дано: q=5∙ 10 -9 Кл Е=60 к. В/м S=20 см = 600 А-? ΔWп - ? U-? _
Заряд 20 Кл, внесенный в некоторую точку эл. поля приобрел потенциальную энергию 80 Дж. Потенциал данной точки поля равен А. 2 В Б. 4 В В. 8 В Г. 16 В
Заряд 4 Кл внесен в электрическое поле в точку с потенциалом 2 В. Его потенциальная энергия равна: А. 2 Дж Б. 4 Дж В. 8 Дж Г. 16 Дж
Эквипотенциальные поверхности - это А. Поверхности наибольшего потенциала Б. Поверхности равного потенциала В. Поверхности наименьшего потенциала Г. Поверхности нулевого потенциала
Потенциал точки А равен 100 В. Чему равен потенциал точки В? А А. 200 В Б. 100 В В. 50 В Г. 0 В Е В
Заряд 1 создает в точке А потенциал 400 В, заряд 2 создает в этой точке потенциал – 300 В. Итоговый потенциал в точке А равен А – 120000 В Б 500 В В 100 В Г -100 В - + А
В однородном электростатическом поле перемещается положительный заряд из точки 1 в точку 2 по разным траекториям. В каком случае работа сил электростатического поля больше ? 1) I 2) II 3) III 4) работа сил поля по траекториям I, III одинакова
Перемещая заряд в первом проводнике, электрическое поле совершает работу 20 Дж. Во втором проводнике при перемещении такого же заряда электрическое поле совершает работу 40 Дж. Отношение напряжений на концах первого и второго проводников равно: 1) 1: 4 2) 1: 2 3) 4: 1 4) 2: 1
На рисунке изображены линии напряженности электрического поля. В какой точке поля потенциал меньше? 1) 1 2) 2 3) 3 4) Во всех точках поля потенциал одинаков
При разности потенциалов 100 В электрическое поле, совершая работу 10 Дж, перемещает заряд. . . 1) 1000 Кл 2) 100 Кл 3) 10 Кл 4) 0, 1 Кл
+ V
Разность потенциалов между точками, находящимися на расстоянии 5 см на одной силовой линии однородного электрического поля, равна 5 В. Напряженность электрического поля равна 1) 1 В/м 2) 100 В/м 3) 25 В/м 4) 0, 25 В/м
Потенциал точки А равен 100 В. Потенциал точки В? А. >100 В Б. 100 В В. 100 В Г. 0 В Е A B
0 В 220 В - напряженность поля пробоя воздуха 1 метр воздуха пробивает 3, 2 МВ 1 км воздуха пробивает 3, 2 ГВ
Владимир Маяковский ТУЧКИНЫ ШТУЧКИ Плыли по небу тучки. Тучек - четыре штучки: _ _ _ + + от первой до третьей - люди; четвертая была верблюдик. К ним, любопытством объятая, по дороге пристала пятая, от нее в небосинем лоне разбежались за слоником слоник. И, не знаю, спугнула шестая ли, тучки взяли все - и растаяли. И следом за ними, гонясь и сжирав, солнце погналось - желтый жираф. +
Владимир Маяковский ТУЧКИНЫ ШТУЧКИ Плыли по небу тучки. Тучек - четыре штучки: от первой до третьей - люди; четвертая была верблюдик. К ним, любопытством объятая, по дороге пристала пятая… + + +
_ _ _ + + + +
_ _ + + _ _ _ + _ + + +
_ + ++ + + _ _ _
10 к. В 9 к. В 8 к. В 7 к. В
В однородном электрическом поле с напряженностью 50 В/м находится в равновесии капелька с зарядом 2· 10 -7 Кл. Определить в миллиграммах массу капельки. Ответ: 1 Чему равен модуль напряженности однородного электрического поля внутри плоского конденсатора, если напряжение на его обкладках 10 В, а расстояние между обкладками 5 мм? Ответ: 2000
Поляризация полярного диэлектрика.
Поляризация неполярного диэлектрика.
1 4 2 1. 2. 3. 4. 6 3 5 В каких точках напряженность поля равна 0? В каких точках потенциал равен 0? В каких точках напряженность поля min? max? В каких точках потенциал поля min? max?
Задача • На одной из пластин плоского конденсатора емкостью С находится заряд +q, а на другой +4 q. Определить разность потенциалов между пластинами конденсатора.
• Задача Два проводящих шара, заряженных, до потенциалов 10 В и 20 В соответственно, находятся на таком большом расстоянии друг от друга, что их можно считать уединенными. Электрические емкости шаров равны 4 мк. Ф и 6 мк. Ф. Каковы будут заряды на шарах, если их соединить тонким проводником. Каким станет потенциал каждого из шаров?
+- - + +- -+ + + -+
+ + + +
- - - + + +++
Электростатическая защита Заключается в том, что чувствительные приборы заключают внутрь замкнутого металлического корпуса
Не менее часто экранируют не прибор, а источник поля:
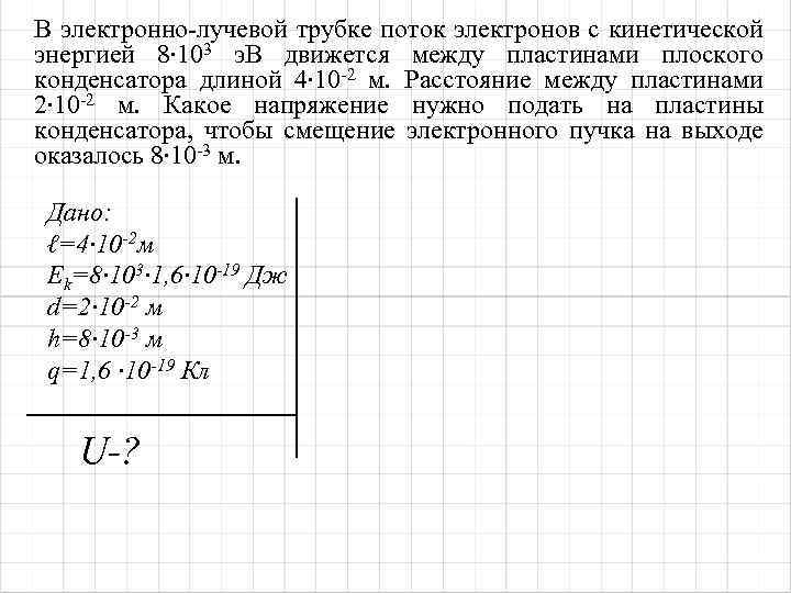
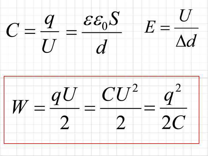
В электронно-лучевой трубке поток электронов с кинетической энергией 8∙ 103 э. В движется между пластинами плоского конденсатора длиной 4∙ 10 -2 м. Расстояние между пластинами 2∙ 10 -2 м. Какое напряжение нужно подать на пластины конденсатора, чтобы смещение электронного пучка на выходе оказалось 8∙ 10 -3 м. Дано: ℓ=4∙ 10 -2 м Ek=8∙ 103∙ 1, 6∙ 10 -19 Дж d=2∙ 10 -2 м h=8∙ 10 -3 м q=1, 6 ∙ 10 -19 Кл U-?
X + y + +
Решение: F=q 0 E y : F=may q 0 E=may l - - - υ X Fп ma h + + Y т. к. υ0 y=o, то d
l - - - υ X Fп ma h + + (1) и (3) →(2) Y d
Подставим υx в формулу (5):
Ответ: U=3200 В


