34bb8ba958c286fe8b40dd530517732c.ppt
- Количество слайдов: 88
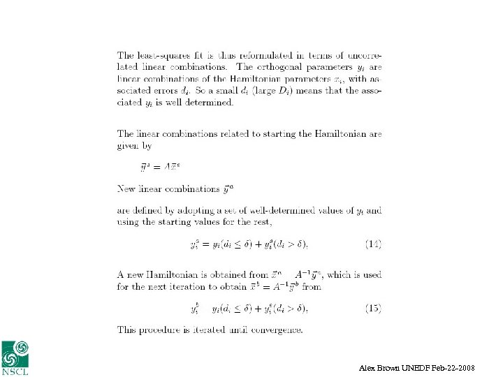
Strategies for extracting optimal effective Hamiltonians for CI and Skyrme EDF applications Alex Brown UNEDF Feb-22 -2008
pf sd Alex Brown UNEDF Feb-22 -2008
77 gs BE and 530 excited states, 137 ke. V rms B. A. Brown and W. A. Richter, Phys. Rev. C 74, 034315 (2006). Number of data for each nucleus Alex Brown UNEDF Feb-22 -2008
3 spe 63 tbme for the sd-shell Alex Brown UNEDF Feb-22 -2008
Starting Hamiltonian Renormalized NN Alex Brown UNEDF Feb-22 -2008
Sigma_th = 100 ke. V Alex Brown UNEDF Feb-22 -2008
Alex Brown UNEDF Feb-22 -2008
About 5 iterations needed Alex Brown UNEDF Feb-22 -2008
Alex Brown UNEDF Feb-22 -2008
Alex Brown UNEDF Feb-22 -2008
Alex Brown UNEDF Feb-22 -2008
Alex Brown UNEDF Feb-22 -2008
Linear combinations of two-body matrix elements USDA 30 USDB 56 rms for the tbme rms for the 608 levels Alex Brown UNEDF Feb-22 -2008
USDA 170 ke. V rms Alex Brown UNEDF Feb-22 -2008
USDB 137 ke. V rms Alex Brown UNEDF Feb-22 -2008
USDA ground state energy differences Me. V theory underbound oxygen beyond N=16 all unbound Alex Brown UNEDF Feb-22 -2008
USDA 170 ke. V rms for 608 levels 290 ke. V rms for tbme (4. 1% of largest) Alex Brown UNEDF Feb-22 -2008
USDB 137 ke. V rms for 608 levels 376 ke. V rms for tbme Alex Brown UNEDF Feb-22 -2008
USD 150 ke. V rms for 380 levels 450 ke. V rms for tbme Alex Brown UNEDF Feb-22 -2008
A few notes • Need a realistic model for the starting and background Hamiltonians • What do we use for undetermined linear combinations? starting Hamiltonian or Hamiltonian from previous iteration Not obvious that the same (universal) Hamiltonian should apply to all sd-shell nuclei – probably a special case – we now know that other situations (like O vs C) require an explicit change in the TBME due to changes coming from core-polarization of difference cores. Alex Brown UNEDF Feb-22 -2008
TBME depend on the target nucleus and model space Comparison of 24 O (with proton p 1/2) and 22 C (without p 1/2) Alex Brown UNEDF Feb-22 -2008
Effective spe for the oxygen isotopes USD G Alex Brown UNEDF Feb-22 -2008
A tour of the sd shell on the web Alex Brown UNEDF Feb-22 -2008
Positive parity states for 26 Al Alex Brown UNEDF Feb-22 -2008
Positive parity states for 26 Mg Alex Brown UNEDF Feb-22 -2008
gsp = 5. 586 gsn = -3. 826 glp = 1 gln = 0 Alex Brown UNEDF Feb-22 -2008
gsp = 5. 586 gsn = -3. 826 glp = 1 gln = 0 Alex Brown UNEDF Feb-22 -2008
gsps == 5. 586 gsns == -3. 826 g p 5. 586 g n -3. 826 glgl == 1 1 glgl == 0 0 p n Alex Brown UNEDF Feb-22 -2008
gsp = 5. 127 gsn = -3. 543 glp = 1. 147 gln = -0. 090 Alex Brown UNEDF Feb-22 -2008
gsp = 5. 586 gsn = -3. 826 glp = 1 gln = 0 Alex Brown UNEDF Feb-22 -2008
gsp = 5. 127 gsn = -3. 543 glp = 1. 147 gln = -0. 090 Alex Brown UNEDF Feb-22 -2008
pf sd Alex Brown UNEDF Feb-22 -2008
jj 44 means f 5/2, p 3/2, p 1/2, g 9/2 orbits for protons and neutrons Alex Brown UNEDF Feb-22 -2008
USDA 170 ke. V rms for 608 levels 290 ke. V rms for tbme (4. 1% of largest) Alex Brown UNEDF Feb-22 -2008
Why do we need to modify the renormalized G matrix for USD • • Is the renormalization adequate Difference between HO and finite well Effective three-body terms Real three-body interactions Alex Brown UNEDF Feb-22 -2008
Skyrme parameters based on fits to experimental data for properties of spherical nuclei, including single-particle energies, and nuclear matter. A New Skyrme Interaction for Normal and Exotic Nuclei, B. A. Brown, Phys. Rev. C 58, 220 (1998). Displacement Energies with the Skyrme Hartree-Fock Method, B. A. Brown, W. A. Richter and R. Lindsay, Phys. Lett. B 483, 49 (2000). Neutron Radii in Nuclei and the Neutron Equation of State, B. A. Brown, Phys. Rev. Lett. 85, 5296 (2000). Charge Densities with the Skyrme Hartree-Fock Method, W. A. Richter and B. A. Brown, Phys. Rev. C 67, 034317 (2003). Tensor interaction contributions to single-particle energies, B. A. Brown, T. Duguet, T. Otsuka, D. Abe and T. Suzuki, Phys. Rev. C 74, 061303, (2006). Neutron Skin Deduced from Antiprotonic Atom Data, B. A. Brown, G. Shen, G. C. Hillhouse, J. Meng and A. Trzcinska, Phys. Rev. C 76, 034305 (2007). Alex Brown UNEDF Feb-22 -2008
Data for Skx • BE for 16 O, 24 O, 34 Si, 40 Ca, 48 Ni, 68 Ni, 88 Sr, 100 Sn, 132 Sn and 208 Pb with “errors” ranging from 1. 0 Me. V for 16 O to 0. 5 Me. V for 208 Pb • rms charge radii for 16 O, 40 Ca, 48 Ca, 88 Sr and 208 Pb with “errors” ranging from 0. 03 fm for 16 O to 0. 01 fm for 208 Pb • About 50 Single particle energies with “errors” ranging from 2. 0 Me. V for 16 O to 0. 5 Me. V for 208 Pb. Constraint to FP curve for the neutron EOS Alex Brown UNEDF Feb-22 -2008
Skx - fit to these data Fitted parameters: t 0 t 1 t 2 t 3 x 0 x 1 x 2 x 3 W Wx (extra spin orbit term) t 0 s (isospin symmetry breaking) Vary α by hand (density dependence) minimum at α = 0. 5 (K=270) t 0 s t 1 t 2 t 3 x 0 and W well determined from exp data x 3 constrained from neutron EOS Wx x 1 and x 2 poorly determined Alex Brown UNEDF Feb-22 -2008
Skx - fit to all of these data Fit done by 2 p calculations for the values V and V+epsilon of the p parameters. Then using Bevington’s routine for a “fit to an arbitrary function”. After one fit, iterate until convergence – 20 -50 iterations. 10 nuclei, 8 parameters, so each fit requires 2000 -5000 spherical calculations. Takes about 30 min on the laptop. Goodness of fit characterized by CHI with best fit obtained for “Skx” with CHI=0. 6 Alex Brown UNEDF Feb-22 -2008
Skx - fit to all of these data Single-particle states from the Skyrme potential of the close-shell nucleus (A) are associated with experimental values for the differences -[BE(A) - BE(A-1)] or = -[BE(A+1)-BE(A)] based on the HF model The potential spe are typically within 200 ke. V of those calculated from theoretical values for -[BE(A) - BE(A-1)] or = -[BE(A+1)-BE(A)] No time-odd type interactions, but time-odd contribution to spe are typically not more than 200 ke. V (Thomas Duguet) Alex Brown UNEDF Feb-22 -2008
Alex Brown UNEDF Feb-22 -2008
Displacement energy requires a new parameter Alex Brown UNEDF Feb-22 -2008
Rms charge radii Alex Brown UNEDF Feb-22 -2008
Skx Skyrme Interaction Alex Brown UNEDF Feb-22 -2008
Skx Skyrme Interaction Alex Brown UNEDF Feb-22 -2008
Skx Skyrme Interaction Alex Brown UNEDF Feb-22 -2008
Neutron EOS related to neutron skin -- x 3 How can we constrain the neutron equation of state? • We know the proton density from electron scattering • The neutron skin is S = R_p – R_n where R are the rms radii Alex Brown UNEDF Feb-22 -2008
Alex Brown UNEDF Feb-22 -2008
For Skx α t = 0, β t = 0 For Skxta α t = 60, β t = 110 For Skxtb α t = -118, β t = 110 Alex Brown UNEDF Feb-22 -2008
Skx – fit to single-particle energies Alex Brown UNEDF Feb-22 -2008
Skx with G matrix tensor CHI jumps up from 0. 6 to 1. 5 due to spe Alex Brown UNEDF Feb-22 -2008
tensor terms normal spin-orbit Alex Brown UNEDF Feb-22 -2008
Alex Brown UNEDF Feb-22 -2008
Skx for charge density diffuseness and neutron skin S (fm) 0. 25 0. 20 0. 15 K=200 Me. V for nuclear matter incompressibility Phys. Rev. C 76, 034305 (2007). Alex Brown UNEDF Feb-22 -2008
122 Zr S BE (fm) (Me. V) 0. 15 -928. 6 0. 20 – 931. 3 0. 25 – 934. 2 Alex Brown UNEDF Feb-22 -2008
S (fm) = 0. 12 0. 16 Alex Brown UNEDF Feb-22 -2008
Neutron matter effective mass can constrain x 1 and x 2 Alex Brown UNEDF Feb-22 -2008
Phys. Rev. C 76, 034305 (2007). Alex Brown UNEDF Feb-22 -2008
34 Si 48 Ca 42 Si 24 O 28 O Alex Brown UNEDF Feb-22 -2008
Z=8 Skxta/b: Skx with the inclusion of the rho+pi tensor in fits to spe, BE and radii, B. A. Brown, T. Duguet, T. Otsuka, D. Abe and T. Suzuki, Phys. Rev. C 74, 061303(R) (2006). . Alex Brown UNEDF Feb-22 -2008
Z=8 Skxta/b: Skx with the inclusion of the rho+pi tensor in fits to spe, BE and radii, B. A. Brown, T. Duguet, T. Otsuka, D. Abe and T. Suzuki, Phys. Rev. C 74, 061303(R) (2006). . Alex Brown UNEDF Feb-22 -2008
N=16 Skxta/b: Skx with the inclusion of the rho+pi tensor in fits to spe, BE and radii, B. A. Brown, T. Duguet, T. Otsuka, D. Abe and T. Suzuki, Phys. Rev. C 74, 061303(R) (2006). . Alex Brown UNEDF Feb-22 -2008
In 28 O the d 3/2 is bound by 0. 2 Me. V Alex Brown UNEDF Feb-22 -2008
N=20 Skxta/b: Skx with the inclusion of the rho+pi tensor in fits to spe, BE and radii, B. A. Brown, T. Duguet, T. Otsuka, D. Abe and T. Suzuki, Phys. Rev. C 74, 061303(R) (2006). . Alex Brown UNEDF Feb-22 -2008
N=20 Alex Brown UNEDF Feb-22 -2008
N=28 Alex Brown UNEDF Feb-22 -2008
N=28 Alex Brown UNEDF Feb-22 -2008
Alex Brown UNEDF Feb-22 -2008
114 Sn to 115 Sb proton spectroscopic factors Alex Brown UNEDF Feb-22 -2008
Alex Brown UNEDF Feb-22 -2008
32 Cl(p, gamma)33 Ar Rp-process path Experiment needed to get energy of states in 33 Ar to 5 ke. V accuracy. Theory needed to get proton decay widths to ground and excited states of 32 Cl and gamma widths for 33 Ar p 32 P 32 Cl 33 P R. R. C. Clement et al. , Phys. Rev. Lett. 92, 172502 (2004) H. Schatz, et al. , Phys. Rev. C 72, 065804 (2005) Role of excited state in other nuclei - Janina Grineviciute 33 Ar Alex Brown UNEDF Feb-22 -2008
Full pf space for 56 Ni with GXPF 1 A Hamiltonian (order of one day computing time) M. Horoi, B. A. Brown, T. Otsuka, M. Honma and T. Mizusaki, Phys. Rev. C 73, 061305(R) (2006). Alex Brown UNEDF Feb-22 -2008
ep=1 en=0 Alex Brown UNEDF Feb-22 -2008
ep=1. 37 en=0. 45 Alex Brown UNEDF Feb-22 -2008
epep=1. 37 enen=0. 45 =1. 10 =0. 68 Alex Brown UNEDF Feb-22 -2008
ep=1 en=0 Alex Brown UNEDF Feb-22 -2008
ep=1. 37 en=0. 45 Alex Brown UNEDF Feb-22 -2008
|ga/gv|=1. 26 Alex Brown UNEDF Feb-22 -2008
|ga/gv|=0. 97 Alex Brown UNEDF Feb-22 -2008
Nuclear Structure Theory - Confrontation and Convergence • (AI) Ab initio methods with NN and NNN • (CI) Shell model configuration interactions with effective single-particle and two-body matrix elements • (DFT) Density functionals plus GCM… My examples with Skyrme Hartree-Fock (Skx) • Cluster models, group theoretical models …. . • Good – most “fundamental” • Bad – only for light nuclei, need NNN parameters, “complicated wf” • Good – applicable to more nuclei, 150 ke. V rms, “good wf” • Bad – limited to specific mass regions and Ex, need effective spe and tbme for good results • Good – applicable to all nuclei • Bad – limited mainly to gs and yrast, 600 ke. V rms mass, need interaction parameters • Good – simple understanding of special situations • Bad – certain classes of states, need effective hamiltonian Each of these has its own computational challenges. Feb-22 -2008 Alex Brown UNEDF
USDB ground state energy differences Me. V theory underbound Alex Brown UNEDF Feb-22 -2008
Alex Brown UNEDF Feb-22 -2008
Alex Brown UNEDF Feb-22 -2008
Alex Brown UNEDF Feb-22 -2008
PRL 98, 102502 (2007) RIKEN PRL 99 1125012 (2007) NSCL Theory has 10 e. V width Alex Brown UNEDF Feb-22 -2008
Collaborations • Mihai Horoi Thomas Duguet • Werner Richter Taka Otsuka D. Abe T. Suzuki • Funding from the NSF Alex Brown UNEDF Feb-22 -2008
Monopole interactions Alex Brown UNEDF Feb-22 -2008
Monopole interaction changes Alex Brown UNEDF Feb-22 -2008


