Скачать презентацию Степень с рациональным показателем и ее свойства Скачать презентацию Степень с рациональным показателем и ее свойства

866.pptx

  • Количество слайдов: 23

Степень с рациональным показателем и ее свойства. Степень с рациональным показателем и ее свойства.

 «Люди, незнакомые с алгеброй, не могут представить себе тех удивительных вещей, которых можно «Люди, незнакомые с алгеброй, не могут представить себе тех удивительных вещей, которых можно достигнуть… при помощи названной науки» . Г. В. Лейбниц

История возникновения степени числа В знаменитой книге «Арифметике» Диофант Александрийский описывал первые натуральные степени История возникновения степени числа В знаменитой книге «Арифметике» Диофант Александрийский описывал первые натуральные степени

Одним из первых, кто в конце XYI-начале XYII века принял шаги к построению современной Одним из первых, кто в конце XYI-начале XYII века принял шаги к построению современной теории степеней, был Нидерландский математик Симон Стевин. Он обозначал неизвестную величину кружком , а внутри его указывал показатель степени. 1 , 2 , Например: 3 , В его записи обозначали x, x², x³.

У Рене Декарта в его «Геометрии» (1637) мы находим современное обозначение степеней а 2, У Рене Декарта в его «Геометрии» (1637) мы находим современное обозначение степеней а 2, а 3, . . .

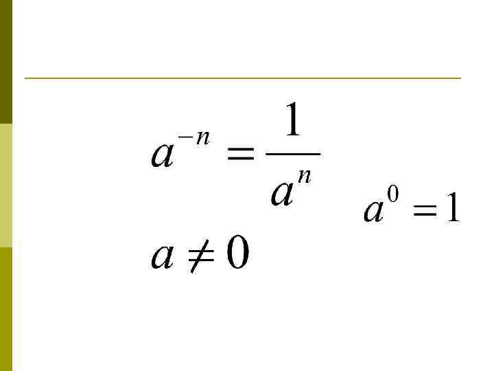
Повторение Степень с целым показателем Степенью числа а с натуральным показателем n, большим 1, Повторение Степень с целым показателем Степенью числа а с натуральным показателем n, большим 1, называется произведение n множителей, каждый из которых равен а

Арифметический корень натуральной степени Определение Корнем n-ой степени из числа a называется такое число, Арифметический корень натуральной степени Определение Корнем n-ой степени из числа a называется такое число, n-я степень которого равна a.

АРИФМЕТИЧЕСКИЙ КОРЕНЬ n-Й СТЕПЕНИ ИЗ ЧИСЛА а а – ПОДКОРЕННОЕ ВЫРАЖЕНИЕ АРИФМЕТИЧЕСКИЙ КОРЕНЬ n-Й СТЕПЕНИ ИЗ ЧИСЛА а а – ПОДКОРЕННОЕ ВЫРАЖЕНИЕ

Тождества ДЕЙСТВИЕ, ПОСРЕДСТВОМ КОТОРОГО ОТЫСКИВАЕТСЯ КОРЕНЬ n – Й СТЕПЕНИ, НАЗЫВАЕТСЯ ИЗВЛЕЧЕНИЕМ КОРНЯ n Тождества ДЕЙСТВИЕ, ПОСРЕДСТВОМ КОТОРОГО ОТЫСКИВАЕТСЯ КОРЕНЬ n – Й СТЕПЕНИ, НАЗЫВАЕТСЯ ИЗВЛЕЧЕНИЕМ КОРНЯ n – Й СТЕПЕНИ.

Примеры Примеры

Устно: p. Вычислите: Устно: p. Вычислите:

Свойства корня n-ой степени (для n ∈ N, m ∈ N, n > 1, Свойства корня n-ой степени (для n ∈ N, m ∈ N, n > 1, m > 1)

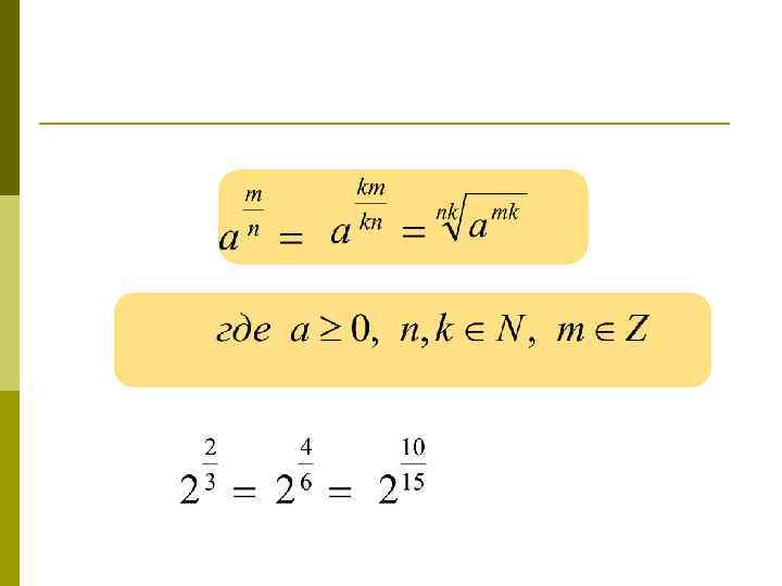
Понятие степени с рациональным показателем Примеры Понятие степени с рациональным показателем Примеры

Представьте степень с дробным показателем в виде корня: 1. 2. 3. 4. 5. не Представьте степень с дробным показателем в виде корня: 1. 2. 3. 4. 5. не имеет смысла

1. 2. 3. 4. 5. Представьте в виде степени с дробным показателем: 1. 2. 3. 4. 5. Представьте в виде степени с дробным показателем:

Свойства степени с рациональным показателем (для p ∈ R, q ∈ R) Свойства степени с рациональным показателем (для p ∈ R, q ∈ R)

Решаем номера из учебника: №№ 118, 119, 120, 121, 123, 124 Решаем номера из учебника: №№ 118, 119, 120, 121, 123, 124

Если вы хотите научиться плавать, то смело входите в воду, а если хотите научиться Если вы хотите научиться плавать, то смело входите в воду, а если хотите научиться решать задачи, то решайте их (Д. Пойа)

Домашняя работа Параграф 10 №№ 122, 125, 127 Домашняя работа Параграф 10 №№ 122, 125, 127