498737173d3dbbad80fbc21d2ad99422.ppt
- Количество слайдов: 27
Statistical Quality Control in Textiles Module 7: Acceptance Sampling Techniques Dr. Dipayan Das Assistant Professor Dept. of Textile Technology Indian Institute of Technology Delhi Phone: +91 -11 -26591402 E-mail: Dipayan@textile. iitd. ac. in
Introduction
Why Acceptance Sampling? [1] Input Yes Manufacturing Process No Scrap or Rework No Yes Customer Is output acceptable? Is process under control? Correction Is input acceptable? Yes Output Whether the input or output materials are acceptable or not can be found through a technique called Acceptance Sampling.
Acceptance Sampling: Attributes & Variables The input or output articles are available in lots or batches (population). It is practically impossible to check each and every article of a batch. So we randomly select a few articles (sample) from a batch, inspect them, and then draw conclusion whether the batch is acceptable or not. This is called acceptance sampling. Sometimes the articles inspected are merely classified as defective or non-defective. Then we deal with acceptance sampling of attributes. Sometimes the property of the articles inspected is actually measured, then we deal with acceptance sampling of variables.
Acceptance Sampling of Attributes
Definition Let us take a sample of size n randomly from a batch. If the number of defective articles in the sample is not greater than a certain number c, then the batch is accepted; otherwise, it is rejected. This is how we define acceptance sampling plan.
Probability of Acceptance Let us assume that the proportion of defective articles in the batch is p. Then, when a single article is randomly chosen from a batch, the probability that it will be defective is p. Further assume that the batch size is sufficiently larger than the sample size n so that this probability is the same for each article in the sample. Thus, the probability of finding exactly r number of defective articles in a sample of size n is Now the batch will be accepted if r ≤ c, i. e. , if r=0 or 1 or 2 or…. or c. Then, according to the addition rule of probability, the probability of accepting the batch is
Operating Characteristic This tells that once n and c are known, the probability of accepting a batch depends only on the proportion of defectives in the batch. Thus, Pa(p) is a function of p. This function is known as Operating Characteristic (OC) of the sampling plan.
Acceptable Quality Level (AQL) p=p 1 This represents the poorest level of quality for the producer’s process that the consumer would consider to be acceptable as process average. Ideally, the producer should try to produce lots of quality better than p 1. Assume there is a high probability, say 1 - , of accepting a batch of quality p 1. Then, the probability of rejecting a batch of quality p 1 is , which is known as producer’s risk. When then
Lot Tolerance Proportion Defectives (LTPD) p=p 2>p 1 This represents the poorest level of quality that the consumer is willing to accept in an individual lot. Below this level, it is unacceptable to the consumer. In spite of this, let there will be a small chance (probability) of accepting such a bad batch by the consumer, is consumer’s risk. When known as then LTPD is also known as rejectable quality level (RQL).
Finding of n and c Solution is based on 2 distribution with 2(c+1) degree of freedom In a sampling plan, p 1, p 2, , and are given. Then the value of c can be found out from Equation , and then the value of n can be found out from Equation .
Illustration [2] Design a sampling plan for which AQL is 2%, LTPD is 5%, and the producer’s risk and consumer’s risk are both 5%. Here For 2(c+1)=26 degree of freedom Hence, c=12, then &
Illustration (Contd. )
Effect of Sample Size n on OC Curve As the sample size n increases, the OC curve becomes more like idealized OC curve. Plans with higher value of n offers more discriminatory power. (Note that c proportional to n). is
Effect of Acceptance Number c on OC Curve As the acceptance number c decreases, the OC curve shifts to the left, however, the slope of the curve does not change appreciably. Plans with smaller value of c provide discrimination at lower levels of lot fraction defective than do plans with larger values of c.
Acceptance Sampling of Variables
Problem Statement Consider a producer supplies batches of articles having mean value of a variable (length, weight, strength, etc. ) and standard deviation of the variable. The consumer has agreed that a batch will be acceptable if where 0 denotes the critical (nominal) mean value of the variable and T indicates the tolerance for the mean value of the variable. Otherwise, the batch will be rejected. Here, the producer’s risk is the probability of rejecting a perfect batch, the one for which = 0. The consumer’s risk is the probability of accepting an imperfect batch, the one for which = 0 T.
Sampling Scheme Let us assume that the probability distribution of mean of samples, each of size n, taken from a batch, is (or tends to) normal with mean , where = 0 and standard deviation Then, the batch will be accepted if where t denotes the tolerance for sample mean batch will be rejected. . Otherwise, the Here, the producer’s risk is the probability of rejecting a perfect batch and the consumer’s risk is the probability of accepting an imperfect batch.
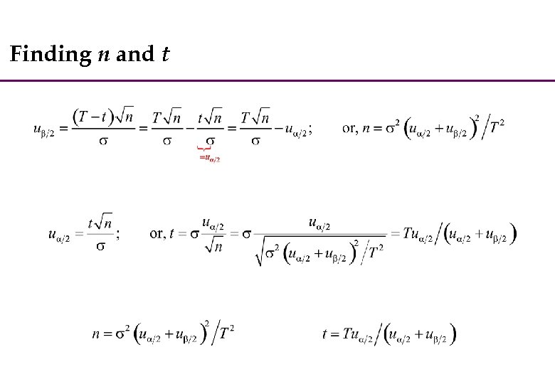
The Producer’s Risk Condition where is the standard normal variable corresponding to a tail area
The Consumer’s Risk Condition where is the standard normal variable corresponding to a tail area
Finding n and t
Illustration A producer (spinner) supplies yarn of nominal linear density equal to be 45 tex. The customer (knitter) accepts yarn if its mean linear density lies within a range of 45 1. 5 tex. As the knitter cannot test all the yarns supplied by the spinner, the knitter would like to devise an acceptance sampling scheme with 10% producer’s risk and 5% consumer’s risk. Assume the standard deviation of count within a delivery is 1. 2 tex. Here Assume the mean linear density of yarn samples, each of size n, follows (or tends to follow) normal distribution with mean 45 tex and standard deviation 1. 2 tex. Then, the standard normal variable takes the following values
Illustration… Then, and Thus, the sampling scheme is as follows: Take a yarn sample of size nine and accept the delivery if the sample mean lies in the range of 45 0. 68 tex, that is in-between 44. 32 tex and 45. 68 tex, otherwise, reject the delivery.
Frequently Asked Questions & Answers
Frequently Asked Questions & Attributes Q 1: How the practical OC curve can be made closer to the ideal OC curve? A 1: By increasing the sample size, the practical OC curve can be made closer to the ideal OC curve. Q 2: How the discriminatory power of the acceptance sampling plan can be increased? A 2: The discriminatory power of the acceptance sampling plan can be increased by increasing the sample size. Also, plans with smaller value of c provide discrimination at lower levels of lot fraction defective than do plans with larger values of c. Q 3: What are the specific points of OC curve that a quality engineer looks for? A 3: A quality engineer always looks for the AQL and the LTPD in an OC curve.
References 1. Gupta, S. C. and Kapoor, V. K. , Fundamentals of Applied Statistics, Sultan Chand & Sons, New Delhi, 2007. 2. Leaf, G. A. V. , Practical Statistics for the Textile Industry: Part II, The Textile Institute, UK, 1984.
Sources of Further Reading 1. Leaf, G. A. V. , Practical Statistics for the Textile Industry: Part I, The Textile Institute, UK, 1984. 2. Leaf, G. A. V. , Practical Statistics for the Textile Industry: Part II, The Textile Institute, UK, 1984. 3. Gupta, S. C. and Kapoor, V. K. , Fundamentals of Applied Statistics, Sultan Chand & Sons, New Delhi, 2007. 4. Gupta, S. C. and Kapoor, V. K. , Fundamentals of Mathematical Statistics, Sultan Chand & Sons, New Delhi, 2002. 5. Montgomery, D. C. , Introduction to Statistical Quality Control, John Wiley & Sons, Inc. , Singapore, 2001. 6. Grant, E. L. and Leavenworth, R. S. , Statistical Quality Control, Tata Mc. Graw Hill Education Private Limited, New Delhi, 2000. 7. Montgomery, D. C. and Runger, G. C. , Applied Statistics and Probability for Engineers, John Wiley & Sons, Inc. , New Delhi, 2003.


