статически неопределенные рамы.ppt
- Количество слайдов: 106
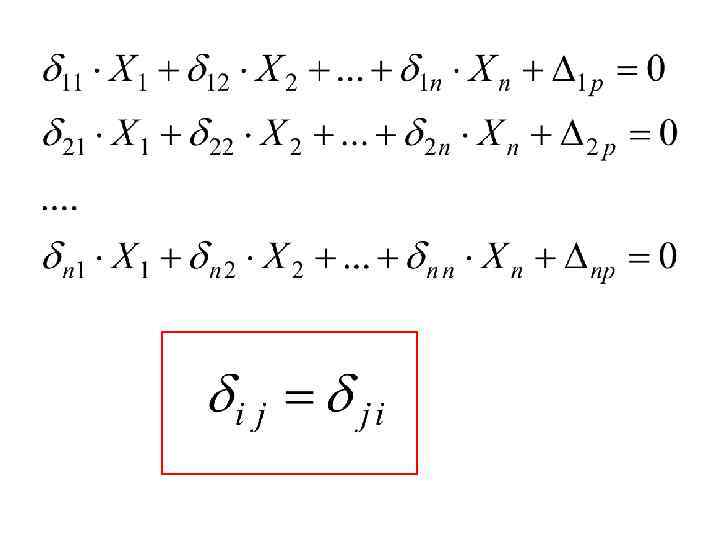
статически неопределенные рамы каноническое уравнение метода сил
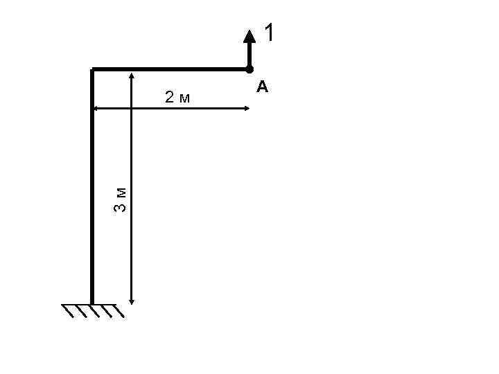
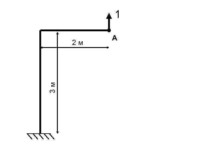
Р = 1 к. Н 3 м 2 м A определим перемещение точки А по вертикали
Для нахождения перемещения по заданному направлению необходимо: 1. Построить эпюру от действия внешних сил 2. Убрать с балки всю внешнюю нагрузку и приложить единичную силу по направлению где интересует перемещение 3. Построить фиктивную эпюру 4. По формуле найти перемещение (знак «-» говорит что перемещение в другую строну чем единичная сила)
Построим эпюру от действия внешних сил
Р = 1 к. Н 3 м 2 м A разобъем на участки
Р = 1 к. Н x 2 x 1 A
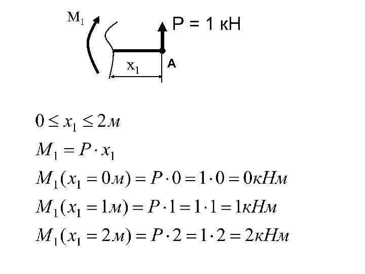
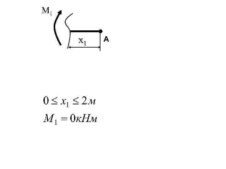
Р = 1 к. Н x 1 A нас интересуют только моменты
M 1 Р = 1 к. Н x 1 A
M 1 Р = 1 к. Н x 1 A
Р = 1 к. Н 2 м x 2
Р = 1 к. Н 2 м x 2 M 2
x 2 M 2 линия действия силы Р = 1 к. Н 2 м
x 2 M 2 линия действия силы Р = 1 к. Н 2 м
x 2 M 2 линия действия силы Р = 1 к. Н 2 м
Эп М, к. Нм
2 1 2 0 2 Эп М, к. Нм 2
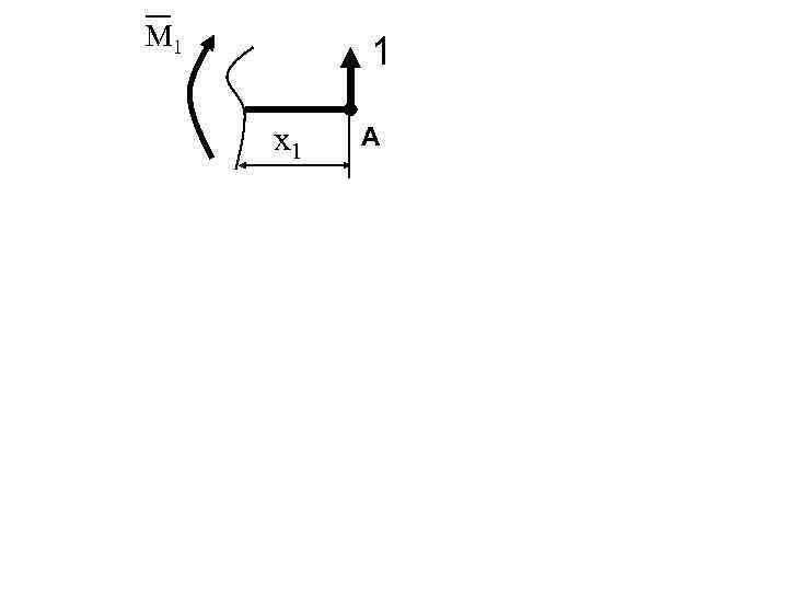
Уберем с балки всю внешнюю нагрузку и приложим единичную силу по направлению где интересует перемещение
1 3 м 2 м A
1 x 2 x 1 A
M 1 1 x 1 A
M 1 1 x 1 A
1 2 м x 2 M 2
x 2 M 2 линия действия силы 1 2 м
2 1 2 0 2 Эп М, м 2
Fb Fa fa Fc fc fb
2 2 1 0 2 2 2 Эп М, к. Нм 2 0 Эп М, м 2
2 2 1 1 2 0 2 2 3 м 2 м 2 Эп М, к. Нм 2 Эп М, м
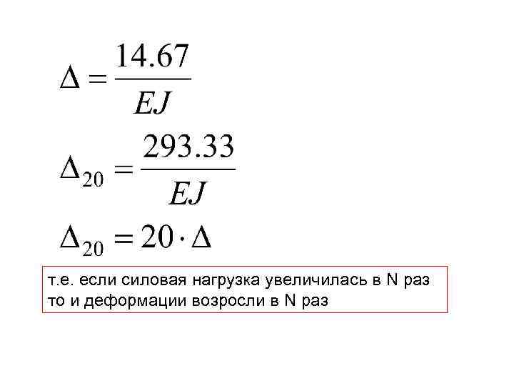
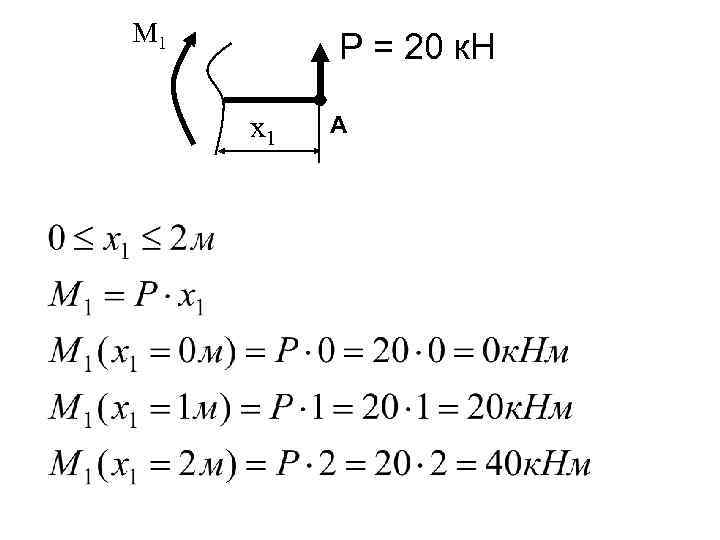
Если увеличить силу Р в 20 раз
Р = 20 к. Н 3 м 2 м A разобъем на участки
M 1 Р = 20 к. Н x 1 A
x 2 M 2 линия действия силы Р = 20 к. Н 2 м
40 20 40 Эп М, к. Нм 40
1 3 м 2 м A
2 1 2 0 2 Эп М, м 2
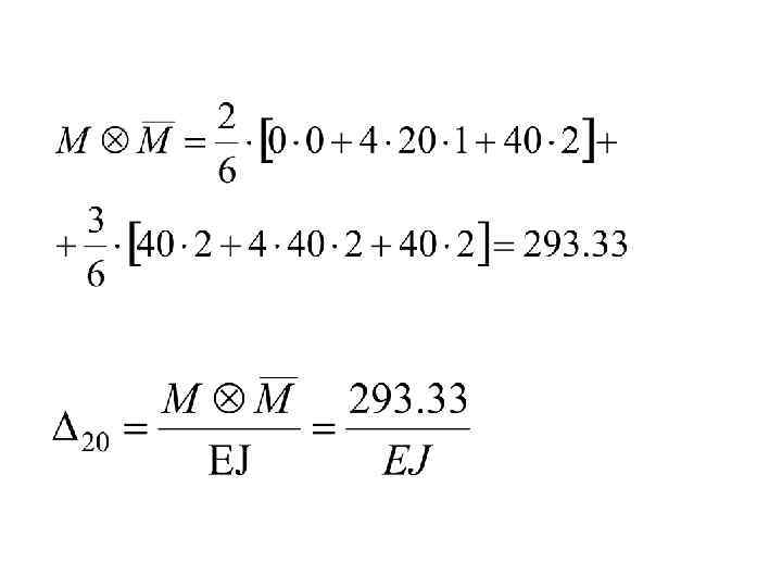
40 2 20 40 1 0 40 2 2 Эп М, к. Нм 40 0 Эп М, м 2
т. е. если силовая нагрузка увеличилась в N раз то и деформации возросли в N раз
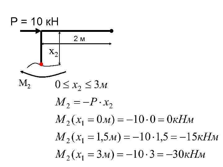
изменим расчетную схему
Р = 10 к. Н 3 м 2 м A
M 1 x 1 A
Р = 10 к. Н 2 м x 2 M 2
0 0 0 -15 -30 Эп М`, к. Нм
1 3 м 2 м A
2 1 2 0 2 Эп М, м 2
2 1 0 0 0 2 -15 Эп М`, к. Нм -30 Эп М, м 2
минус это занчит что перемещение в другую сторону чем единичная нагрузка
пусть обе силы действуют одновременно
Р 1 = 20 к. Н Р 2 = 10 к. Н 3 м 2 м A
Р 1 = 20 к. Н M 1 x 1 A
Р 1 = 20 к. Н Р 2 = 10 к. Н 2 м M 2 x 2
40 20 40 0 25 Эп М, к. Нм 10
1 3 м 2 м A
2 1 2 0 2 Эп М, м 2
40 2 20 40 1 0 25 2 0 2 Эп М, к. Нм 10 Эп М, м 2
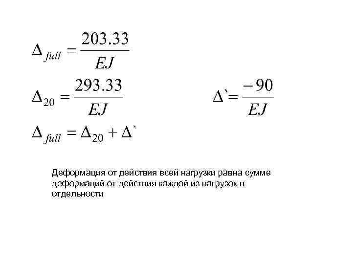
Деформация от действия всей нагрузки равна сумме деформаций от действия каждой из нагрузок в отдельности
Степень статической неопределимости ССН = N реакций – N уравнений
CCН = 4 -3
Х Эквивале нтные системы X=R Х
Требования к эквивалентным системам • Одинаковые напряжения • Одинаковые деформации • Будем рассматривать системы с EJ = const
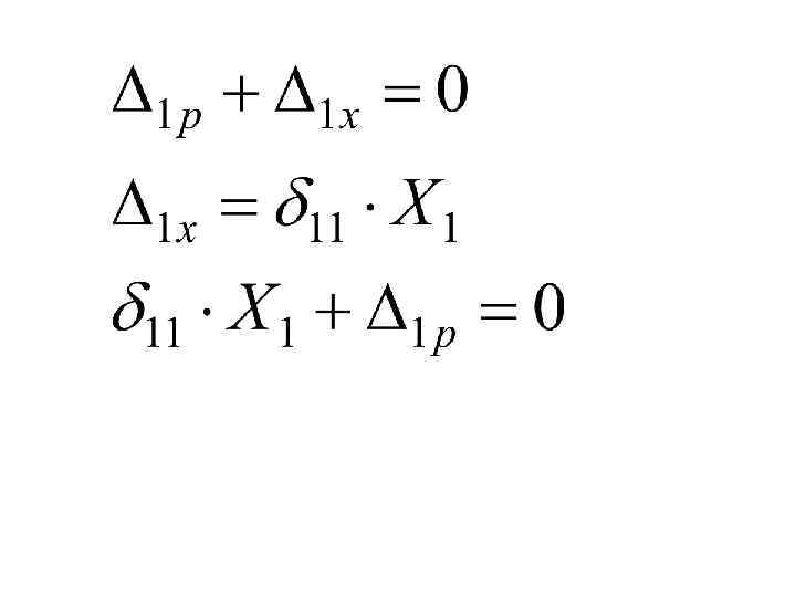
• Основа дальнейшего подхода в том что на опоре перемещение балки равно 0 • То есть перемещение в опоре по направлению отброшенной связи можно представить в виде суммы перемещений от внешних сил и перемещения от эквивалентной силы Х.
Для случая когда ССН >1 т. е необходимо отбросить несколько опор и заменить их Х 1, Х 2. . . Хn
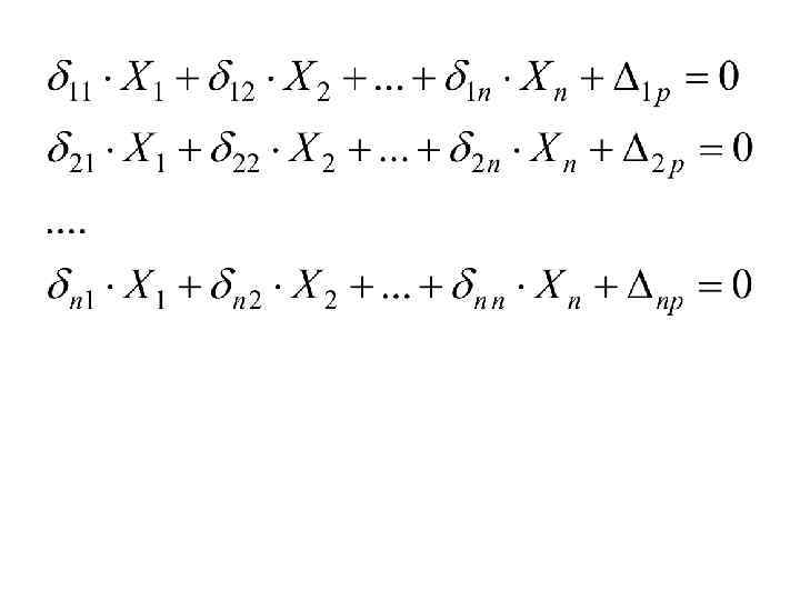
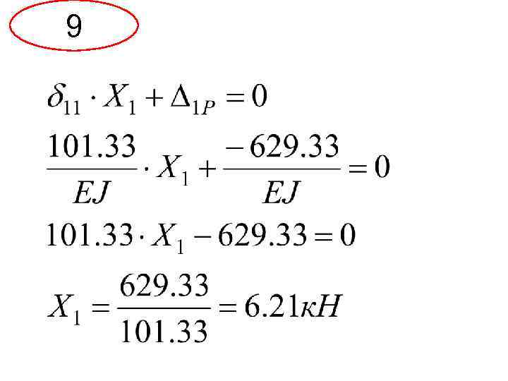
Алгоритм расчета 1. 2. 3. 4. 5. 6. 7. 8. 9. Определяем ССН Выбираем основную систему (ОС) Составляем эквивалентную схему (ЭС) Запишем каноническое уравнение Загружаем ОС только внешней нагрузкой и строим эпюру изгибающих моментов Мр Загружаем ОС только единичной силой по направлению действия Х 1 и строим единичную эпюру Повторяем этап 5 для всех неизвестных Перемножая эпюры ищем коэффициенты уравнения Решаем уравнения и находим Х
А Х
Х ОС
пример расчета
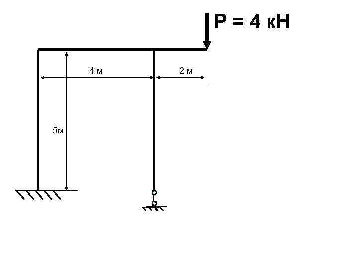
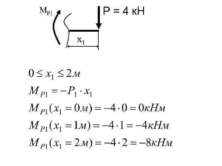
Р = 4 к. Н 4 м 5 м 2 м
1 Р = 4 к. Н 4 м 2 м 5 м ССН = 4 – 3 = 1
2 4 м 2 м 5 м ОС
3 Р = 4 к. Н 4 м 2 м 5 м ЭС Х 1
4
5 Р = 4 к. Н 4 м 5 м 2 м
Р = 4 к. Н x 1 x 2 x 4 x 3
Р = 4 к. Н MP 1 x 1
x 2 MP 2
Р = 4 к. Н MP 3 x 3 2 м
Р = 4 к. Н x 4 4 м MP 4 2 м
4 м MP 4 линия действия силы x 4 Р = 4 к. Н 2 м
4 м MP 4 линия действия силы x 4 Р = 4 к. Н 2 м
24 0 8 4 16 24 24 24 Эп. Мр, к. Нм
6 4 м 2 м 5 м 1
x 1 x 2 x 4 x 3 1
M 1 x 1
x 2 M 2 1
M 3 x 3 2 м 1
2 м x 4 4 м MP 4 1
x 4 линия действия силы 4 м 2 м MP 4 1
x 4 линия действия силы 4 м M 4 1 2 м
4 2 4 0 4 4 Эп. М 1, к. Нм
8
4 4 2 4 4 4 0 2 4 4 Эп. М 1, к. Нм 0
4 4 2 4 4 4 0 2 4 4 Эп. М 1, к. Нм 0
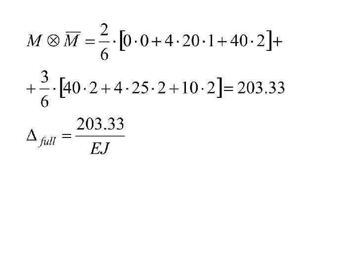
4 24 24 16 8 4 24 2 0 4 4 24 Эп. Мр, к. Нм 4 Эп. М 1, к. Нм 0
4 24 24 16 8 4 24 2 0 4 4 24 Эп. Мр, к. Нм 4 Эп. М 1, к. Нм 0
9


