Правовая статистика Тема 7 Средние величины.ppt
- Количество слайдов: 30
Средние величины в правовой статистике
Учебные вопросы 1. Средние величины. 2. Обобщающие показатели вариации признаков.
Вопрос 1. Средние величины - обобщенная характеристика качественно однородной совокупности по определенному количественному признаку. Средняя величина – абсолютное число. Средняя величина выступает как величина обобщающая, типическая. В средних величинах наиболее отчетливо отражается основная линия развития, закономерность. Например, среднее число краж в месяц, средний возраст лиц, осужденных по какомуто виду преступлений и т. п.
Примерами различных типов средних значений служат: - полусумма крайних значений; - медиана; - мода; - среднее арифметическое взвешенное; - геометрическое среднее; - гармоническое среднее
Полусумма крайних значений
Медиана - это величина, находящаяся посередине набора данных, когда в нем все значения упорядочены по возрастанию. Если число наблюдений четно, то имеется два «средних» значения, и медиана равна их полусумме. Медиана имеет свойство – сумма абсолютных величин отклонений от нее меньше, чем от любой другой величины.
Мода - это наиболее часто встречающееся значение. В некоторых наборах данных могут быть две или более моды, имеющие одну и ту же частоту
Среднее арифметические Если обозначить число N наблюдений через X 1, X 2, …, XN, то среднее арифметическое равно:
Коэффициент преступности K – коэффициент преступности (количество преступлений за определенный период времени в расчете на 100000 человек, достигших возраста 14 лет); П – число зарегистрированных преступлений; Н – население, достигнувшее возраста 14 лет
Коэффициент преступности в России (по данным МВД России)
Среднее арифметическое взвешенное - это такое среднее, при расчете которого значение осредняемого признака взвешивается по значениям других признаков
Средний стаж работы сотрудников и их численность по трем условным РОВД Средний стаж работы Число сотрудников сотрудника, годы 1 2, 5 6 2 5, 0 18 3 6, 0 26
Специальные средние значения – геометрическое среднее, гармоническое среднее, среднее квадратическое – следует использовать не ради разнообразия, а только в тех случаях, когда известно, что именно они соответствуют имеющемуся типу данных
Геометрическое среднее
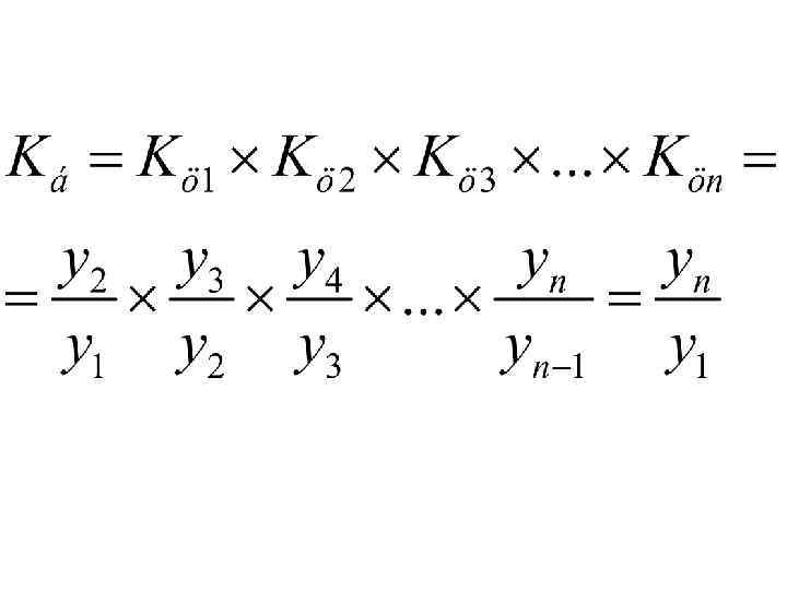
Рассмотрим порядок расчета среднего геометрического по формуле, по которой подсчитываются средние темпы роста, или темпы динамики. Обозначим отдельные уровни динамического ряда Уi: У 0, У 1, У 2, …, Уn Базисный темп роста: Цепной темп роста:
Запишем формулу для среднего геометрического темпа роста В связи с тем, что среднее геометрическое позволяет при анализе развития явления дать обобщенную характеристику интенсивности развития за длительный период времени, оно может быть использовано для определения неизвестных (прогнозных) уровней
Пример Пользуясь методом среднего геометрического, требуется определить количественное выражение тенденции ряда динамики о числе иногородних жителей, ежегодно прописывающихся в городе N, и на основе этого установить, сколько таких лиц может прибыть в город в последующем. По данным паспортного аппарата, динамика прибытия за период 1992 -2001 гг. по годам такова (в тыс. чел. ): 10, 8; 12, 6; 17, 4; 17, 6; 18, 9; 21, 3; 28, 7; 28, 8; 32, 4; 36, 7 Среднее геометрическое динамики определим по формуле:
Далее вычисляем прогнозный уровень ряда на 2002 и 2003 гг. по формуле:
Вопрос 2. Обобщающие показатели вариации признаков - служат хорошим дополнением к анализу, осуществляемому посредством средних величин, т. к. последние дают лишь обобщающую характеристику явления. Вариацией признаков называются различия в численных значениях признаков у единиц совокупности явлений. Например, говорят, что стаж работы сотрудника ОВД варьирует от 0, 5 до 25 лет.
Математическая статистика выделяет пять обобщающих показателей вариации: 1. Размах вариации. 2. Среднее линейное отклонение. 3. Дисперсия. 4. Среднее квадратическое отклонение. 5. Коэффициент вариации.
Размах вариации (R) - Это абсолютная величина разности между максимальными и минимальными значениями (вариантами) изучаемого признака. Если, например, процент краж в общем количестве зарегистрированных преступлений колеблется от 35 до 55%, то размах вариации равен 20%:
Среднее линейное отклонение - представляет собой среднее арифметическое от абсолютных отклонений конкретных вариантов признака от его среднего значения:
Зарегистрированные пожары за 1990 -1996 гг. в Российской Федерации
Дисперсия На практике при измерении рассеяния удобнее брать квадраты отклонений вариантов от средней. Среднее значение квадратов отклонений характеризуют дисперсией:
Среднее квадратическое отклонение Квадратный корень из дисперсии D носит название среднего квадратического отклонения. Этот показатель наиболее наглядно характеризует рассеивание значений изучаемого признака около его среднего значения:
Коэффициент вариации - представляет собой удельный вес среднего отклонения в соответствующем среднем арифметическом, выраженный в процентах:
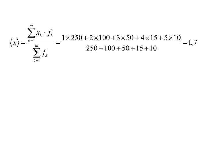
Пример 1. В следственном отделе районного УВД находятся дела о хищении имущества, характеризующиеся следующими данными: Число обвиняемых 1 2 3 4 5 Число дел 250 100 50 15 10 Определить среднее число обвиняемых на одно уголовное дело.
Пример 2 Годовые темпы роста аварийности на дорогах составили: Определить среднегодовой темп роста.
Правовая статистика Тема 7 Средние величины.ppt