Скачать презентацию Совершенствование педагогической деятельности по подготовке учащихся к централизованному Скачать презентацию Совершенствование педагогической деятельности по подготовке учащихся к централизованному

2a4765b3c000eb00f3308db4caa307c3.ppt

  • Количество слайдов: 15

Совершенствование педагогической деятельности по подготовке учащихся к централизованному тестированию Трошко Валентина Яковлевна, учитель математики Совершенствование педагогической деятельности по подготовке учащихся к централизованному тестированию Трошко Валентина Яковлевна, учитель математики ГУО «Ельская районная гимназия»

Задачи: 1) изучить положительный опыт педагогов по подготовке учащихся к ЦТ и применять его Задачи: 1) изучить положительный опыт педагогов по подготовке учащихся к ЦТ и применять его в своей работе; 2) организовать работу так, чтобы учащиеся владели глубокими теоретическими знаниями и практическими навыками по решению задач; 3) систематизировать по разделам, темам задания РТ, ЦТ с 2003 -2016 г. г. , применять их на уроках и факультативных занятиях; 4) индивидуализировать, дифференцировать обучение с учетом интересов, склонностей и способностей учащихся.

Глава 1, 9 класс, § 2. 1. Углы, окружность: а) центральный угол; б) вписанный Глава 1, 9 класс, § 2. 1. Углы, окружность: а) центральный угол; б) вписанный угол; в) угол, образованный хордами; г) угол, образованный касательной и хордой; д) угол, образованный касательными; е) угол, образованный секущими; ж) угол, образованный касательной и секущей; з) вписанный угол, опирающийся на полуокружность; и) углы, опирающиеся на равные дуги.

Глава 1, 9 класс, § 3. Отрезки, окружность: а) отрезки пересекающихся хорд; б) отрезки Глава 1, 9 класс, § 3. Отрезки, окружность: а) отрезки пересекающихся хорд; б) отрезки касательной и секущей; в) отрезки секущих; г) отрезки касательных.

Ф. И. О. Точка, Виды углов Треугольник, прямая, и их виды и плоскость, свойства Ф. И. О. Точка, Виды углов Треугольник, прямая, и их виды и плоскость, свойства элементы луч, угол, отрезок Вергей К. Гуд И. Ромб, … свойства, признаки, площадь

. Уравнения вида При некоторых условиях числа сводятся посредством выделения в каждой из дробей . Уравнения вида При некоторых условиях числа сводятся посредством выделения в каждой из дробей целой части к более простым. Числитель дроби делим на знаменатель, в результате дробь принимает вид: 1.

Метод выделения полного квадрата Левая часть уравнения сводится к квадрату суммы или разности двух Метод выделения полного квадрата Левая часть уравнения сводится к квадрату суммы или разности двух выражений и продолжается решение ранее изученными методами 1) 2) РТ, II этап, 2010 -2011. В 8 Найти произведение корней уравнения

Метод, основанный пропорции. Из пропорции на применении производной можно получить следующие производные пропорции: , Метод, основанный пропорции. Из пропорции на применении производной можно получить следующие производные пропорции: , Срез-тест 2014/2015 1 3) Указать больший корень уравнения и т. д.

Уравнения, содержащие знак модуля Ι. |f(x)|= числу а) |f(x)|= “-” б) |f(x)|=0 в) |f(x)|= Уравнения, содержащие знак модуля Ι. |f(x)|= числу а) |f(x)|= “-” б) |f(x)|=0 в) |f(x)|= “+” нет решения f(x)=0 f(x)= “+” или f(x)= “-” (противоположное) ΙΙ. |f(x)|=|g(x)| f(x)=g(x) или f(x)= -g(x) ΙΙΙ. |f(x)|=g(x) первый способ второй способ или |f(x)|=g(x) или

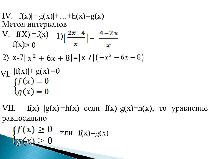
ΙV. |f(x)|+|g(x)|+…+h(x)=g(x) Метод интервалов V. |f(X)|=f(x) 1) = f(x) |=|x-7|( 2) |x-7|| ) VI. ΙV. |f(x)|+|g(x)|+…+h(x)=g(x) Метод интервалов V. |f(X)|=f(x) 1) = f(x) |=|x-7|( 2) |x-7|| ) VI. |f(x)|+|g(x)|=0 VΙΙ. |f(x)|-|g(x)|=h(x) если f(x)-g(x)=h(x), то уравнение равносильно или f(x)=g(x)

VΙΙΙ. |f(x)|+|g(x)|=h(x) Если f(x)+g(x)=h(x), системе неравенств 1)|32 - то уравнение равносильно |+| |= ΙX. VΙΙΙ. |f(x)|+|g(x)|=h(x) Если f(x)+g(x)=h(x), системе неравенств 1)|32 - то уравнение равносильно |+| |= ΙX. |f(x)|+|g(x)|=|h(x)|если f(x)+g(x)=h(x), то уравнение равносильно неравенству f(x)g(x) 1) | |

X. Метод оценки значений левой и правой части уравнения 1) ЦТ 2007 Найти сумму X. Метод оценки значений левой и правой части уравнения 1) ЦТ 2007 Найти сумму корней уравнения |x-4|(|x-5|+|x-3|)=4(x-4) 2) Найти произведение большего корня на количество различных корней уравнения =

Совершенствование педагогической деятельности по подготовке учащихся к централизованному тестированию Трошко Валентина Яковлевна, учитель математики Совершенствование педагогической деятельности по подготовке учащихся к централизованному тестированию Трошко Валентина Яковлевна, учитель математики ГУО «Ельская районная гимназия» Мобильный телефон +375296026546 Email Gimnaziya 2009 elsk@yandex. ru