Соотношение между длительностью сигнала и шириной его спектра.

Скачать презентацию Соотношение между длительностью сигнала и шириной его спектра. Скачать презентацию Соотношение между длительностью сигнала и шириной его спектра.

2-04_0_sootnoshenie_meghdu_dlitelynostyyu_i_polosoy.ppt

  • Количество слайдов: 6

>Соотношение между длительностью сигнала и шириной его спектра. Скорость убывания спектра Определение произведения (полоса)×(длительность): Соотношение между длительностью сигнала и шириной его спектра. Скорость убывания спектра Определение произведения (полоса)×(длительность): метод моментов

>Тэф и Ωэф являются среднеквадратическими отклонениями соответственно от t=t0 и ω=0. Поэтому полную длительность Тэф и Ωэф являются среднеквадратическими отклонениями соответственно от t=t0 и ω=0. Поэтому полную длительность сигнала следует приравнять 2Тэф, а полную ширину спектра (включая и область отрицательных частот) – величине 2Ωэф. Если то Наименьшее возможное значение ТэфΩэф=1/2 соответствует колоколообразному импульсу.

>

>Энергия, содержащаяся в полосе Δf от ω=0 до некоторой граничной частоты ωгр=2πfгр  Для Энергия, содержащаяся в полосе Δf от ω=0 до некоторой граничной частоты ωгр=2πfгр Для прямоугольного импульса в соответствии с (2.26) где Для треугольного импульса Введём Для гауссовского импульса

>

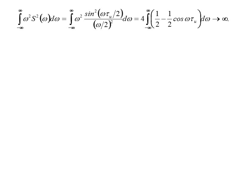
>Скорость убывания спектра вне основной полосы Вне основной полосы частотный спектр убывает по закону Скорость убывания спектра вне основной полосы Вне основной полосы частотный спектр убывает по закону 1/ωn+1, где n порядок производной, при которой происходит первый разрыв.