Практика к лекции 24.pptx
- Количество слайдов: 8
Сложение колебаний
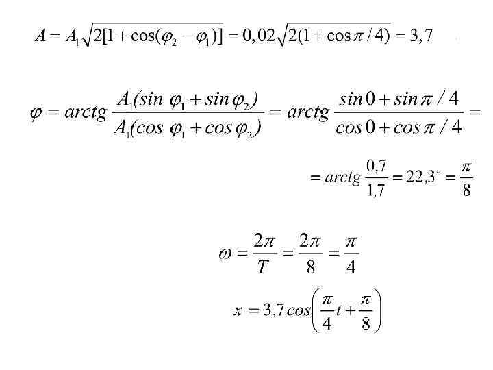
1. (В. 12. 30). Написать уравнение движения, получающегося в результате сложения двух одинаково направленных гармонических колебаний с одинаковым периодом Т=8 с и одинаковой амплитудой А=0, 02 м. Начальная фаза одного из этих колебаний равна нулю. Разность фаз между этими колебаниями.
2. (В. 12. 31) Найти амплитуду и начальную фазу гармонического колебания, полученного от сложения одинаково направленных , м колебаний, заданных уравнениями
3. (В. 12. 39). Точка участвует в двух взаимно перпендикулярных колебаниях Найти траекторию результирующего движения точки.
4. (В. 12. 40). Точка участвует в двух взаимно перпендикулярных колебаниях . Найти траекторию результирующего движения точки.
5. (В. 12. 60). Уравнение незатухающих колебаний имеет вид. Найти смещение от положения равновесия, скорость и ускорение точки, находящейся на расстоянии 30 м от источника колебаний, для момента времени 1 с после начала колебаний. Скорость распространения колебаний 100 м/с.
6. (В. 12. 62). Найти разность фаз колебаний двух точек, лежащих на луче и отстоящих на расстоянии от друга, если длина волны =1 м. =2 м друг
Практика к лекции 24.pptx