Рівняння ван Флека Для малих х: exp(-x)
Зарегистрируйтесь, чтобы просмотреть полный документ!
РЕГИСТРАЦИЯ
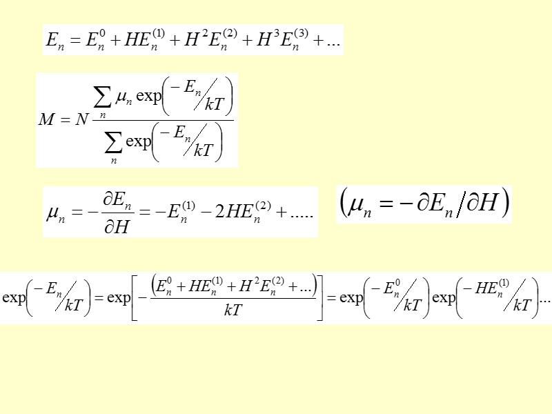
Рівняння ван Флека
Для малих х: exp(-x) 1-x Для парамагнетиків М = 0 при Н = 0, тобто:
Рівняння ван Флека
Вивід закону Кюрі
Закон Кюрі: Магнетизація насичення Функція Брілюена
Функція Брілюена
Функція Брілюена Залежність магнетизації від температури для S=2 Залежність магнетизації від напруженості магнітного поля при Т = 2К для різних значень повного спіну
Функція Брілюена Залежність магнетизації від відношення напруженості магнітного поля до температури для різних значень повного спіну
26726-3_van_vleck.ppt
- Количество слайдов: 11

