El_Tech_Lc_09.ppt
- Количество слайдов: 95
Резонанс в линейных цепях при гармонических напряжениях и токах 1
Резонанс – это такой режим пассивной цепи, содержащей емкости и индуктивности, при котором входные ток и напряжение совпадают по фазе 2
При резонансе цепь потребляет только активную мощность и входное сопротивление этой цепи будет вещественной величиной 3
Различают резонансы: l напряжений; l токов; l в сложной цепи. 4
1. Резонанс напряжений 5
Резонанс напряжений – это резонанс при последовательно соединенных емкости и индуктивности 6
c d b катушка a а 7
По закону Ома где - входное напряжение 8
Комплекс входного сопротивления цепи где 9
Из определения резонанса тогда 10
В результате при резонансе напряжений или 11
Резонансная частота: 12
Тогда 13
Тогда: активная мощность реактивная мощность 14
Тогда 15
При этом Где q – добротность резонансного контура 16
Если добротность 17
то где - характеристическое сопротивление 18
При резонансе напряжений входное сопротивление цепи будет минимальным, а ток будет максимальным 19
Векторная диаграмма при резонансе напряжений 20
21
22
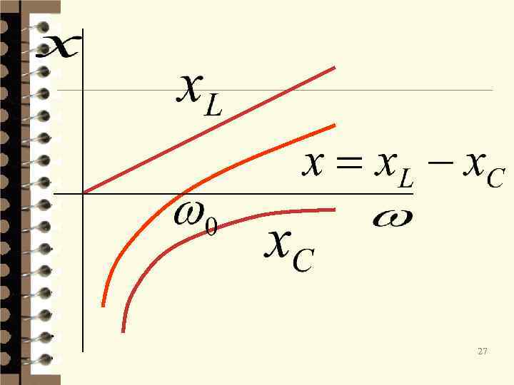
Резонансные характеристики 23
Выразим ток и напряжения через частоту: 24
Сдвиг фазы: 25
Изменяя частоту в диапазоне получим частотные резонансные характеристики 26
27
Амплитудно-частотная характеристика АЧХ: 28
где: полоса пропускания резонансного контура 29
30
Частоты максимума напряжений на индуктивности и емкости: 31
Фазо-частотная характеристика ФЧХ 32
Резонанс напряжений используется в радиотехнике для усиления сигналов определенной частоты 33
и в электроэнергетике для увеличения активной мощности нагрузки генератора 34
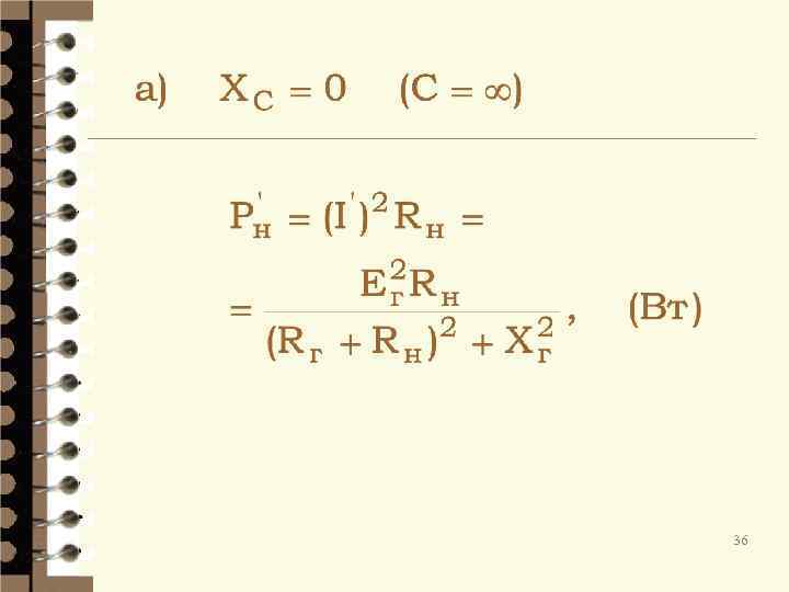
Например генератор 35
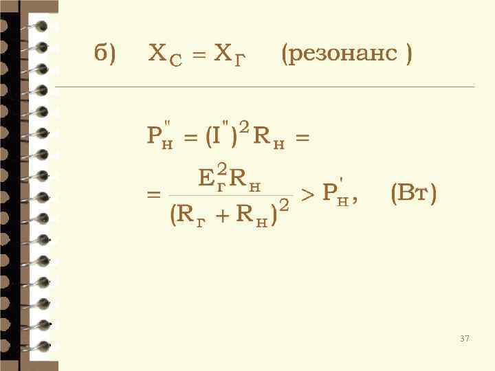
36
37
Примечание Если Rk=0, то тогда Zdb=j. XL-j. XC=0 - это идеальный резонанс напряжений 38
Влияние добротности контура на полосу пропускания 4 Построим обобщенные характеристики при разной добротности: 39
40
При увеличении добротности резонансного контура q уменьшается полоса пропускания и увеличиваются избирательные свойства контура 41
2. Резонанс токов 42
Резонанс токов – это резонанс при параллельном соединении резистора емкости и индуктивности 43
b a 44
По первому закону Кирхгофа определим входной ток: 45
Где: 46
По условию резонанса Входная проводимость минимальная и равна резистивной проводимости: 47
Резонансную частоту определим из условия: 48
Входной ток имеет минимальное значение и равен току в резисторе Действующие значения токов в L и C равны по величине и могут значительно превышать входной ток 49
Добротность резонансного контура: 50
Ток подходящий к LC контуру равен нулю Схема параллельного соединения LC контура называется «фильтрпробка» 51
Сдвиг фазы: 52
Векторная диаграмма 53
Изменяя частоту в диапазоне получим частотные резонансные характеристики 54
Амплитудно-частотная характеристика АЧХ: 55
где: полоса пропускания резонансного контура 56
Фазо-частотная характеристика ФЧХ 57
Схема резонансного контура, содержащего катушку индуктивности, имеющей активное сопротивление 58
b a 59
По закону Ома где - входное напряжение 60
Комплекс входной проводимости цепи 61
Где - активная проводимость цепи 62
Где - реактивная проводимость цепи 63
Где - модуль входной проводимости цепи 64
Где - угол сдвига фаз между и 65
Из определения резонанса тогда 66
В результате при резонансе токов или 67
Тогда 68
Тогда 69
При резонансе токов входная проводимость цепи и входной ток минимальны 70
Векторная диаграмма при резонансе токов 71
+j b a +1 72
Где 73
Где 74
Резонансные характеристики 75
0 76
Резонанс токов используется в радиотехнике для ослабления сигналов определенной частоты 77
и в электроэнергетике для уменьшения потерь энергии в проводах линии 78
Например b ~ a 79
80
81
Примечание Если Rk=0, то тогда Zba=j. XL(-j. XC)/(j. XL-j. XC)= - это идеальный резонанс токов 82
3. Резонанс в сложной цепи 83
Резонанс в сложной цепи – это резонанс, отличающийся от резонансов напряжений и токов 84
Например с b a 85
Комплекс входного сопротивления цепи 86
Где - активное сопротивление - реактивное сопротивление 87
Где - полное сопротивление 88
При резонансе и 89
Тогда 90
Векторная диаграмма 91
+j с a +1 b 92
Где 93
Если то и 94
Таким образом эта цепь в режиме резонанса может применяться для увеличения напряжения на нагрузке R 95


