Презентация_30.10.2012.ppt
- Количество слайдов: 113
Распространенной формой представления стратегии развития бизнеса является бизнес план. Бизнес-план это официальный, под робно и четко структурированный документ, описывающий цели пред приятия, пути достижения поставленных целей и их последствия для предприятия.
Объектами бизнес планов являются проекты: • создание или покупка нового предприятия; • разработка новой продукции; • модернизация оборудования или технологических процессов; • освоение новых рынков; • приватизация объектов федеральной и муниципальной собственности; • проведение реорганизационных мероприятий, применяемых для неплатежеспособных предприятий (банкротов) и др.
Реализация таких проектов требует инвестиций, бизнес план яв ляется одним из основных инструментов для их привлечения. Бизнес план как никакой другой вид плановых документов имеет внешнюю направленность или внешнее предназначение. Пользователя ми бизнес плана являются инвесторы, учредители собственники, парт неры, банки, административные институты.
Внутренние функции бизнес плана: • инструмент обучения менеджеров; • инструмент управления (цели, задачи, плановые расчеты потребности в ресурсах и т. д. ); • средство контроля. Вопросам разработки бизнес планов посвящено большое количе ство зарубежной и отечественной литературы, однако единых жестких стандартов по разработке бизнес плана нет. Методику разработки биз нес плана необходимо выбирать под конкретного пользователя с учетом специфики проекта.
Общепринятыми для всех развитых стран являются методики таких авторитетных организаций как: • UNIDO (организация объединенных наций по промышленному развитию) и его электронная версия COMFAR существует в различ ных версиях, в значительной мере адаптированных к экономике кон кретных стран и переведена на русский язык.
• Пакет «Альт-Инвест» реализован с использованием электронных таблиц Microsoft Words или Excel и может работать в среде других распространенных табличных процессоров.
• Пакет «Project Expert» автоматизированная система планирования и анализа эффективности инвестиционных проектов на базе имитационной модели денежных потоков. Программа производит рас чет финансовых показателей эффективности инвестиций, соответст вующих международным стандартам. Одна из версий позволяет рассчи тать и показатели финансового состояния (рентабельность, ликвидность, платежеспособность).
• Пакет «Аналитик» рекомендуется для проведения экспресс анализа и для отбора предприятий по привлекательности инвестиций. Программа идеальна по соотношению «цена качество» .
• Системы типа «Microsoft project» , «Time line» , «Primavera» -предназначены только для разработки календарного плана работ и сете вого проекта, включая длительность и затраты по стадиям, применяются в основном как системы управления проектами.
Выбор конкретной разновидности методики разработки бизнес плана, глубина и временной горизонт его проработки, вариантность за кладываемыхв него решений, объем, наличие прилагаемых документов и справок зависят от различных факторов.
Среди них следует отметить: • величина прогнозируемых инвестиций; • специфика потенциального инвестора (его индексы, специали зацию, опыт инвестирования, психологию, национальную принадлеж ность); • финансовое положение заявителя; • наличие квалифицированного штата для реализации проекта; • наличие залогов и гарантий возврата кредитов; • стадия реализации проекта и др.
На какой разновидности методики остановить свой выбор аме риканской, английской, немецкой или другой не принципиально. Важно, чтобы разработанный бизнес план содержал ряд обязательных разделов, в которых анализируются конкретные аспекты, исходная итоговая информация была достоверна, обоснована и базировалась на документальных источниках и расчетах. Рекомендуемый объем бизнес плана зависит от специфики проекта и предприятия и, в целом обычно не превышает 50 60 страниц.
Альтернативный вариант структурирования бизнес – плана Производство Идея (товар, услуга) Менеджмент 6 3 2 Отрасль (предприятие) Маркетинг 5 4 РЕЗЮМЕ Финансы 7 Эффективность 8 проекта Рынок и конкуренция Стратегия маркетинга Анализ и оценка 9 рисков 1
На разных предприятиях последовательность составления бизнес плана неодинакова. Принципиальным является не знание какой то универсальной последовательности, а понимание того, что в процессе разработки бизнес плана неизбежно придется составить все основные разделы бизнес – плана, и сделать это не один раз.
Существует масса рекомендаций, как составить бизнес план. Однако никакие рекомендации и следование им не заменит обычного здравого смысла в осознании того, на какие простые и в тоже время решающие вопросы бизнес план должен дать убедительные ответы пользователям.
Вопросы, которые обязательно должны найти отражение в бизнес плане: • Насколько емким по потребности и платежеспособному спросу, выгодным по конъюнктуре, перспективным для освоения, конкурент нымявляется рынок сбыта товара (услуги), выпуск которого собирают ся освоить? Проработан ли вопрос получения хотя бы первых крупных заказов на этот продукт (услугу)?
• Если рынок сбыта является конкурентным или высоко монопо лизированным, то насколько существенны конкурентные преимущества предприятия и его продукции?
• Какова инвестиционная эффективность проекта по сравнению с безрисковой рыночной ставкой ссудного процента?
• Насколько удовлетворительным по уровню цен и доступности является рынок ресурсов (сырья, материалов, комплектующих изделий, площадей, оборудования).
• Каковы технические и коммерческие риски предприятия (про екта), как и с какими издержками, планируется их минимизировать?
• Сколько средств, когда и в какой форме (деньги, оборудование, ноу хау и т. п. ) требуется от инвестора (кредитора) для начала и после дующего развития предприятия?
• Каковы ближайшие перспективы финансового состояния пред приятия и возможности получения прибыли?
• Насколько обоснована стратегия предприятия в отношении по литики цен, объемов выпуска, структуры издержек и размера стартовых инвестиций?
Резюме (описание проекта) включает следующую инфор мацию: цель и задачи бизнес плана; • описание специализации и предыстории развития предприятия;
• краткие сведения о квалификации управленческого персонала, какими способностями, применительно к на стоящему проекту, обладает управленческий персонал;
• описание преимуществ продукции (услуг) предприя тия на рынке и в отрасли;
• описание ресурсов предприятия, его текущего финан сового состояния;
• характеристику долгосрочной и краткосрочной стра тегий предприятия, возможностей роста производства и до ходов, какие доходы предполагается получить, за какой период времени;
• описание ситуации на рынке и в отрасли примени тельно к исследуемому производству;
• описание потребностей в инвестициях, направлений их использования, предполагаемых источников финанси рования, порядка возврата заемных средств;
• сведения об уровне возможного риска для предприя тия;
• экономическое обоснование эффективности проекта.
В соответствии с рассмотренной типологией бизнес планов объектом бизнеса может быть либо бизнес линия (продукция, услуги, техническое решение), либо создание нового предприятия или развитие действующего.
Для характеристики объекта бизнес-линии (продукция, услуги, техническое решение) необходимо собрать информацию: • функциональные характеристики товара;
• степень защиты товара авторскими правами, патентами, торговой маркой и другими атрибутами собственности;
• достоинства и возможные слабые стороны товара;
• отличительные особенности товара, дающие полезный (коммерческий) эффект, его уникальные и важные для потребителя свойства;
• характеристики жизненного цикла товара (время от появления идеи до первой продажи; до роста продаж; до пика продаж, до спада и прекращения продаж);
• анализ конкурентоспособности товара; • специфические требования к товару;
• необходимые условия производства (обновление технологии и потребность в новом оборудовании и оснастке; изменение материалов и их поставщиков; требования к квалификации работников и необходимость их переобучения и специальной подготовки и т. д. ).
Примечание: Рекламные проспекты, фотографии, рисунки, отзывы экспертов или потребителей уже знакомых с данным товаром можно привести в приложении к бизнес плану.
Если объектом бизнеса является предприятие необходимо привести информацию о самом предприятии, необходимость его создания или развития о производимой продукции и оказываемых услугах, их достоинствах и преимуществах и кратко перечислить других производителей, такой же продукции или услуг.
Необходимо описать пути выхода на рынок и перспективы развития, определить основную группу потребителей, оценить возможность появления новых рынков сбыта и расширения номенклатуры выпускаемых товаров, услуг.
При создании нового предприятия необходимо описать, чем оно будет отличаться от других подобных предприятий, обосновать выбор организационно правовой формы (аренда, приобретение на торгах, выделение, слияние, приобретение доли в других предприятиях), привести структуру капитала предприятия (например, для ОАО – количество разрешенных и находящихся в обращении акций, номинальная и рыночная стоимость акций).
Исследование рынка, анализ конкурентов Этот раздел направлен на изучение рынка сбыта и позволяет руководи телю четко представить, кто будет покупать его товар и где его ниша на рынке.
Описывая рынок, важно показать, насколько чувствителен рынок к различным внешним факторам, выделить основные сегменты рынка (то ecть определить группы потребителей ваших товаров).
Основываясь на оценке преимущества производимых товаров и общей привлекательности рынка, необходимо определить возможный объем продаж в натуральном и денежном выражении.
Оценить возможный объем продаж своей продук ции довольно сложно. Как правило, для этого используют различные ме тоды прогнозирования, такие как, интуиция на общее положение дел, оп рос потребителей, анализ динамики продаж.
Выявление и характеристика потенциальных потребителей: 1. Тип рынка, на котором собирается действовать предприятие: • основной рынок, на котором реализуется основная часть произво димых товаров и услуг;
• дополнительный рынок, который поглощает небольшую часть продукции;
• растущий рынок, то есть имеющий реальные возможности для рос та объема реализации продукции;
• потенциальный рынок, то есть имеющий перспективы реализации продукции при определенных условиях;
• прослоечный рынок (неактивный), на котором торговые операции нестабильны, но имеются перспективы превращения его в актив ныйрынок при создании определенных условий.
2. Размеры рынка сбыта: 2. 1. Географическая зона: • город Томск; • Томская область; • Западно Сибирский регион; • другие регионы.
2. 2. Прогнозируемые темпы роста рынка: • стабильный рынок, • медленно растущий рынок; активно растущий рынок.
3. Целевые сегменты рынка, на которых предприятие будет действовать: 3. 1. Тип покупателей: • промышленные предприятия; • предприятия оптовой и розничной торговли; • государственные и муниципальные учреждения (школы, больницы, детские сады); • Население.
3. 2. Характеристика покупателя – предприятия: • по отрасли (приборостроение, промышленная электроника, вычислительная техника и информатика, производство потребительских товаров, сфера обслуживания); • по текущему состоянию отрасли (устойчивые отрасли, растущие отрасли, находящиеся в кризисе);
• по размеру (малое предприятие, в промышленности до 100 человек, в непроизводственной сфере до 30 человек; среднее предприятие от 100 до 300 человек: крупное предприятие свыше 300 человек);
• по типу производства (единичное, мелкосерийное, крупносерийное, массовое);
• по потребности в оборудовании (замена изношенных приборов и устройств, модернизация техники, автоматизация производства).
3. 3. Характеристика покупателя – населения: • по уровню доходов (низкий – до 3 тыс. руб. , средний – 5 8 тыс. руб. , сравнительно высокий – 10 20 тыс. руб. , высокий – свыше 30 тыс. руб. );
• по демографическим признакам (возраст, пол, семейное положение, состав семьи);
• по мотивам покупок (цена, качество, дизайн, сервисное обслуживание, престижность фирмы, удобное месторасположение); • по стилю жизни (спортивный, молодежный, светский, деловой стиль).
Определение объемов сбыта Здесь необходимо определить предполагаемый общий объем продаж продукта. Этот показатель рассчитывается на основании данных о покупках аналогичных научно технических продуктов потенциальными потребителями в каждом из основных рыночных сегментов. Общий размер сбыта следует описать в натуральном и стоимостном выра жении на ближайшие три года.
В первую очередь необходимо сделать прогноз продаж с учетом уровня спроса, конкуренции, условий реализации продукта, используемых способов продвижения продукта на рынке и методов стимулирования спроса. В общем виде жизненный цикл продукта на рынке может быть представ ленв виде кривой, состоящей из трех основных фаз (рис. ). Целесообразно показать потенциальный рост сбыта разработанного (или усовершенствованного) продукта для каждой группы покупателей.
Жизненный цикл продукта на рынке: I – рост продаж, II – стабилизация, снижение объёмов продаж III –
Необходимо также проанализировать основные факторы, влияющие на рост сбыта, а также указать источники информации, из которых можно получить такие сведения. Кроме того, обосновывается необходимость привлечения агентов и дистрибьюторов товара. В каждом потенциальном сегменте рынка, формулируются требования к ним.
Анализ конкурентов Анализируя конкурентоспособность продукта на рынке, необходимо, прежде всего, определить своих главных конкурентов, их сильные и слабые стороны, затем сравнить их научно технический продукт со своим по каждому из основных показателей маркетингового комплекса.
Характеристику конкурентов в бизнес плане можно провести по следующей схеме: • основной и старейший конкурент на рынке; • производитель (поставщик) его товара; • возможности конкурирующих фирм (проектов): объемы продаж; мощности, поставки, технический сервис, имидж и т. п. ;
• доля конкурентов на рынке; • сильные и слабые потребительские свойства продук та конкурента (основные характеристики, уровень качества, дизайн, мнение покупателей);
• уровень цен на продукцию конкурентов. Осведомленность о конкурентах поможет разработчику создать новый или усовершенствованный продукт, который будет в состоянии занять выгодное положение на рынке.
Сравнительные характеристики продукции конкурентов и собственной разрабатываемой продукции Показатели конкурентоспособности 1. Уровень качества. 2. Эксплуатационно - технический уровень. 3. Эксклюзивность обслуживания. 4. Уровень цен. 5. Гарантии после продажного Периода. 6. Местоположение разработчика (продавца), удобство доставки Продукта. 7. Консультативная помощь. 8. Комплектность. 9. Уровень обслуживания, сервис. Продукция конкурент а Новая продукция
План маркетинга как часть бизнес плана не только необходим для внутренней организации деятельности по разработке и реализации проекта, но и служит основой контактов с потенциальными партнерами и инвесторами.
Можно предложить следующую схему написания дан ного плана: 1. Общая стратегия маркетинга Здесь рекомендуется описать свою общую рыночную концепцию и стратегию реализации проекта, исходя из осо бенностейразрабатываемого и предлагаемого на рынок про дукта. Указать, как будет реализовываться продукт на начальном этапе, на каких сегментах рынка, объяснить, почему. Привести планы расширения продаж в будущем, выявить возможность сезонных колебаний в продажах; описать планы получения выгодных контрактов, планы развития продукта;
2. Ценообразование Описать свою стратегию в области ценообразования, опи раясь на анализ сложившихся на рынке тенденций к ценам на научно техническую продукцию. Обосновать выбранный метод ценообразования. Сделать прогноз валовой прибыли и показать, будет ли она достаточной.
Пояснить, в какой степени предполагаемая цена поможет: • проникнуть на рынок; • завоевать и сохранить свою долю на рынке; • сделать продукт доступным для основной группы потребителей; • обеспечить достаточную прибыль. Если цена разрабатываемого продукта ниже цены продукта конкурентов, объяснить, как при этом обеспечить рентабельность своего проекта (например, благодаря низкой стоимости труда, материалов, комплектующих, невысоким накладным расходам и т. п. ). Указать любые скидки цены, позволяющие стимулировать реализацию продукта;
3. Тактика продаж В этом разделе необходимо описать методы реализации продукта (через торговую сеть, посредников и т. д. ) которые могут быть использованы как в ближайшее время, так и в перспективе. Целесообразно проанализировать эффек тивность различных методов реализации, включая поли тику скидок, исключительных прав на распространение и т. п. в сравнении с тактикой конкурентов в этой области.
Описать, какие торговые представители, и какие посред ники будут выбраны, когда они начнут свою деятельность, указать регионы и сегменты, где они начнут действовать. Перечислить условия предлагаемых вами гарантий и пос лепродажного обслуживания;
4. Реклама и продвижение продукта Здесь необходимо показать способы привлечения вни мания потенциальных потребителей к разрабатываемому научно техническому продукту.
Здесь же рекомендуется: • выбрать вид рекламной деятельности, средства и но сители рекламы, наиболее приемлемые для формирования потребительского поведения потенциальных клиентов; • привести ориентировочный расчет затрат на рекламную деятельность на первый год реализации проекта; • выбрать и обосновать приоритетные методы распространения рекламной информации и продвижения продук та на рынок.
Если объектом бизнеса является продукция, то построе ние плана производства необходимо начать с описания производственного процесса с указанием операций, пору чаемых субподрядчику (наименование фирмы, местораспо ложение и адрес). Пример описания производственного процесса изготовления продукции с указанием его струк туры по трудоемкости представлен в таблице. Если объектом бизнеса является предприятие, то пост роение плана производства необходимо начать с описания технологического совершенствования производства. Про гноз объемов производства и реализации продукции (ус луг) осуществляется на основе сопоставления результатов маркетинговых исследований с производственными возмож ностями предприятия. Объем производства в натуральном выражении по отдельным позициям номенклатуры изделий прогнозируется по периодам: первый год – по кварталам (в случае необходимости — по месяцам); второй год по полугодиям; последующие годы — в целом за год
Структура производственного процесса по трудоемкости Наименование продукции Вид работ, % * заготовительн обрабатывающи сборочные прочие ые процессы е операции
Производственная программа Вид Ед. Объем производства по периодам продукции изм. периодам 2020 г. 2020 г. I кв. III кв. IV кв. I п/г II п/г Продукция А Продукция Б 20. . г.
Объем реализации в стоимостном выражении прогнозируется на основе производственной программы с учетом лага, т. е. промежутка времени с момента начала производства до момента первых поступлений денежных средств от реализации продукции (услуг), во многом обусловленной длительностью производственного цикла. Рекомендуется рассчитать три варианта — оптимистический, пессимистический и наиболее вероятный. Необходимо указать потребность в производственных помещениях, в земельных участках, их площадь; описать следующие характеристики объектов: местоположение, площадь, сроки предоставления, необходимость ремонта или реконструкции, является объект собственностью или арендованным предприятием.
Потребность в дополнительном оборудовании и других технических средствах № п/п Наименование оборудования, технических средств Тип или модель Завод изготовитель Срок поставки Стоимость оборудования, тыс. р.
Потребность в материальных ресурсах Наименование вида материальных ресурсов Материалы – всего, в том числе по видам и т. д. Покупные комплектую-щие изделия – всего, в том числе по видам и т. д. Всего Потребность на 20. . г. I кв. II кв. В натуральном выражении Сумма, тыс. р. В натуральном выражении … Сумма, тыс. р. Поставщики
Расчет средств на оплату труда 2000 г. I кв. Категория работников Производств енные рабочие основного производства Вспомогательные рабочие Руководители, специалисты и служащие Всего Численность, чел Фонд оплаты труда, тыс. р. II кв. Фонд … Численоплаты ность, труда, тыс. чел р.
Потребность в инвестициях и источники финансирования Величина показателя по периодам , тыс. р. Наименование показателя 20. . г I кв. Потребность в инвестициях – всего В том числе: – покупка или аренда зданий (помещений); – покупка оборудования; – реконструкция и ремонт основных фондов; – прирост оборотных средств Источники финан-сирования – всего В том числе: – долгосрочный кредит под залог недвижимости; – краткосрочный кредит банка; – кредитная линия; другие источники: –собственные (амортизация, реинвестирование прибыли); – привлеченные II кв. III кв. 20. . г IV кв. I п/г 20. . II п/г …
Смета затрат на производство Величина показателя по периодам , тыс. р. 20. . Статьи затрат I кв. Сырье и материалы Покупные комплектующие изделия и полуфабрикаты Топливо Энергия ФЗП рабочих основного производства Начисления на ФЗП прочих категорий работающих Амортизация основных производственных фондов Расходы на рекламу, представительство, обучение, аудит, консультации и т. д. Проценты за кредит Налоги, включаемые в себестоимость Прочие затраты Себестоимость товарной продукции Прочие налоги и издержки Издержки производства II кв. III кв. 20. . IV кв. I п/г II п/г 20. . …
Организационный план Цель данного плана: доказать потенциальным партнерам и инвесторам, что предприятие в состоянии реально разработать конкурентоспособный продукт (услугу) в необходимые сроки с требуемым качеством. Основные вопросы, разрабатываемые в данном плане: – статус предприятия, осуществляющего разработку продукта (услуги); действующее или вновь создаваемое предприятие, группа предприятий и т. п. ; – организационно правовая форма предприятия; – персонал и управление; – организационная структура управления; – расчет и обоснование потребности в оборудовании, в производственных (офисных, складских) помещениях, в сырье, материалах, комплектующих изделиях и т. п. для разработки и изготовления продукта; – стоимостная оценка затрат на разработку и реализацию научно технического продукта; – сроки начала реализации продукта; – нужна ли правовая охрана, сертификация и т. п.
Необходимо указать форму собственности и статуса предприятия, время его создания, краткую предысторию его развития, его прежние успехи и достижения на рынке. Если предприятие вновь создается, то желательно обосновать выбор его организационно правовой формы, указать собственников. От выбора конкретной формы предприятия зависит размер и сроки уплачиваемых налогов, формы и сроки отчетности, размер выплачиваемых владельцу средств и т. д. Далее необходимо привести принципиальную организационную структуру предприятия, из рассмотрения которой должно быть четко видно, кто и чем будет заниматься, как будут осуществляться взаимодействия, координация и контроль деятельности служб и подразделений. Кроме того, целесообразно дать сведения об общей потребности в рабочей силе, организации набора и специальной подготовки, условиях труда, дополнительных льгот их и т. д. Необходимо установить ключевой персонал, руководящих работников и ответственных лиц за основные направления деятельности, указать, имеют ли ключевые работники необходимое образование, опыт в бизнесе и в организации нового дела. Целесообразно привести матрицу распределения обязанностей по ключевым направлениям.
Цель финансового плана – определить эффективность предлагаемого бизнеса. В данном разделе необходимо представить: • прогноз отчета о прибыли и убытках; • бюджет движения денежных средств; • прогноз баланса активов и пассивов предприятия; • анализ безубыточности; • расчеты экономической эффективности инвестиций; • финансовые коэффициенты и стратегию финансирования. Расчеты рекомендуется выполнять по трем вариантам – оптимистическому, пессимистическому и наиболее вероятному.
Различие в прибылях и денежной наличности при переходе от одного варианта к другому выявят степень возможного риска. • Прогноз отчета о прибыли и убытках показывает, как будет формироваться и изменяться прибыль, и, по существу, является прогнозом финансовых результатов, в нем могут быть учтены также все виды налогообложения (плата за землю, налог на владельцев транспортных средств, налог на имущество, муниципальные налоги и сборы, налог на прибыль и прочие виды налогов). • Бюджет движения денежных средств позволяет оценить, сколько денег необходимо вложить в бизнес с распределением по времени, проверить синхронности поступления и расходования денежных средств, а значит проверить будущую ликвидность (способность своевременно погашать обязательства перед кредиторами за счет средств, поступающих на расчетный счет (выручка от реализации, ссуды, кредиты и др. поступления)). Бюджет денежных расходов и поступлений может быть преобразован в модель денежных потоков с дисконтированием расходов и поступлений для приведения (дисконтирования) их к моменту вложения инвестиций.
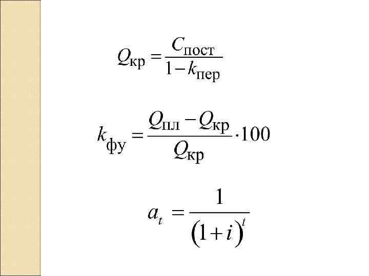
• Прогнозный баланса активов и пассивов предприятия составляется на начало и конец каждого года планируемого периода и имеет чрезвычайно важное значение для инвесторов и кредиторов, так как он позволяет оценить, какие именно активы нарастают в динамике и за счет каких источников. • Анализ безубыточности. Чтобы бизнес план был обоснованным и убедительным необходимо провести анализ безубыточности. Точка безубыточности – это объем продаж, при котором предприятие покрывает свои расходы, не получая прибыли и не неся убытков. Точка безубыточности определяется по формуле. Результаты расчетов необходимо представить на графике
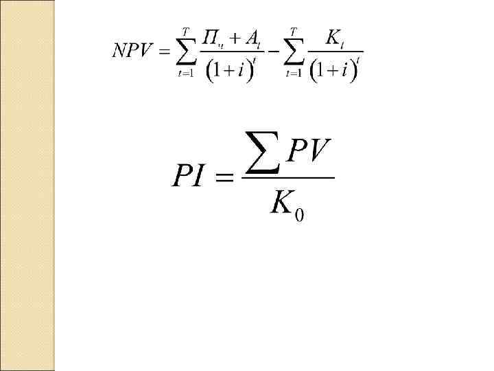
В практике оценки экономической эффективности проекта наибольшее распространение получили расчеты показателей чистой текущей стои мости проекта (NPV Net Cash Flow), внутренней нормы прибыли (IPR Internal Rate of Return) и индекса прибыльности инвестиций (PI Prof tability Index). i Согласно определению ЮНИДО NPV стоимость, по лучаемая путём дисконтирования отдельно за каждый год всех от токов и притоков наличности, накапливающихся за весь период функ ционированияпроекта. Перерасчет всех потоков будущих поступлений и платежей на текущий момент времени (начало осуществления проекта) производится с помощью коэффициента приведения, который рассчитывается с использованием модифицированной формулы сложных процентов:
Выручка от реализации Затраты и результаты, тыс. р. Общие затраты Запас финансовой прочности t Постоянные затраты Объем продаж Qкр Qпл
Показатель внутренней нормы прибыли (IRP) широко использу ется при анализе и оценке эффективности инвестиционного проекта. Внутренняя норма прибыли это ставка дисконтирования, при которой чистая текущая стоимость (NPV) равна нулю. IRP является граничной ставкой ссудного процента, разделяющей эффективные и неэффектив ные варианты (проекты). На практике IRP определяется математиче ским и графическим способами. Логика критерия IRP указывается максимальный уровень затрат данного проекта, т. е. если цена капитала, привлекаемого для финанси рования проекта, больше. IRP, то проект может быть выполнен только в убыток, и следовательно, его надо отвергнуть.
Ряд зарубежных авторов предлагают придерживаться некоторых правил использования IRP: • анализу подлежат инвестиционные проекты, у которых разность до хода и затрат положительная или отношение дохода к затратам больше 1; • для дальнейшего анализа отбираются проекты IRP которых не менее 15 20%; • IRP сопоставляется с процентной ставкой на денежно кредитном рынке; пи обосновании IRP следует учитывать поправки на риск, налоги, инфляцию. Критерий - индекс прибыльности инвестиций (PI) это отношение от дачи капитала к размеру вложенного капитала. Для реальных инвести ций, осуществляемых в течение нескольких лет, критерий PI имеет исключительно важное значение. Один из подходов при определении PI(прибыльность, доходность, рентабельность, выгодность проекта)
Критерий PI предпочтителен для формирования оптимального портфеля проектов в случае ограниченности общего объема инвести ций. Возможны три варианта. PI: • PI > 1, 0 инвестиции доходны и приемлемы в соответствии с вы бранной ставкой дисконтирования; • РI < 1, 0 инвестиции не способны генерировать требуемую ставку отдачи и неприемлемы; • PI = 1, 0 рассматриваемый проект в точности удовлетворяет выбран ной ставке отдачи, которая равна IRP. Рассмотренные критерии (NPV, IRP, PJ) приняты во всем мире при оценке эффективности и привлекательности инвестиционных проектов.
Финансовые коэффициенты и стратегия финансирования. Описывая стратегию финансирования, необходимо изложить план по лучения средств для создания или развития бизнеса, ответив на такие вопросы: • Сколько необходимо средств? • Откуда будут получены средства и в какой форме? • Когда можно ожидать полного возврата средств и получения инве сторами дохода на них (оценка сроков возврата средств)? • Каким будет этот доход? Потребность в инвестициях рассматривается в разделе (Произ водство) с указанием возможных источников их покрытия и оформляет ся в виде таблицы На основе составленного баланса производится расчёт финансовых коэффициентов, оценка ликвидности и финансовой устойчивости предприятия (проекта). Перечень основных показателей и критериев их оценки сведены в табл
Показатели финансовой деятельности Наименование Формула расчета показателя 1. Возврат инвестиций Чистая прибыль / Валюта баланса нетто 2. Рентабельность Чистая прибыль /Выручка от продаж реализации 3. Коэффициент Текущие активы / Текущие покрытия (текущей пассивы ликвидности) Коэффициент автономии Собственный капитал 4. Коэффициент Собственный капитал/ автономии Валюта баланса нетто По годам периода 20. . расчетного и т. д. Эталон: прибыли на капитал Норма Эталон: Уровень и динамика Эталон: Высокая ликвидность > 6. 4 Нормальная 0, 5 + 4. 2 Кризисная < 2 Эталон: Высокая кредитоспособность >0, 5 Нормальная 0, 5 : 0. 35 Кризисная < 0. 2
5. Оборачиваемость средств в расчетах (количество оборотов) 6. Оборачиваемость средств в расчетах, дн. Выручка от реализации / Средняя дебиторская задолженность Эталон: • среднее значение в отрасли Длительность периода(360) • сравнение с конкурентами 7. Коэффициент Привлеченные средства/ Эталон: финансового рычага Собственные средства отлично 100% хорошо 100 -140% удовлетворительно 140200% неудовлетворительно 200° о 8. Коэффициент Прибыль до выплаты налогов Эталон: оплаты процентов и процентов /Сумма выплаты Уровень и динамика процентов 9. Прирост продаж, %. 1. Прирост чистой прибыли, % 11. Прирост активов, %.
В рыночной экономике государство не несет ответственность за обязательства предприятий и последствия риска ложатся на само пред приятие. В тоже время если предприятие не рискует, оно в конце концов потерпит банкротство. Фактор риска мощный стимул повышения эф фективности производства, экономии ресурсов. Данный раздел бизнес плана особенно важен, так как от глубины его проработки в значитель ной степени зависит доверие потенциальных инвесторов, кредиторов и партнеров по бизнесу. Риск - это вероятность убытков или недополучения доходов по сравнению с вариантом, предусмотренным прогнозом, планом, проектом, программой. Риск измеряется как вероятность определенно го уровня потерь, значения вероятности расположены в интервале от О (событие никогда не наступает) до 1 (событие обязательно произойдет). Различают: наиболее вероятный, допустимый, критический и ка тастрофический риски
Уровень Риска P( Наиболее вероятный (потеря части прибыли) Допустимый (потеря всей прибыли) Критический (потеря всей выручки) Катастрофический (потеря имущества, банкротство) Прибыль Типичная кривая распределения потерь
При разработке бизнес планов используется две классификации рисков: по сущности и по месту возникновения. По сущности риски можно разделить на простые или чистые (под влиянием факторов, которые невозможно ограничить или изменить в рамках данного проекта) и спекулятивные, которые имеют неопреде ленный характер проявления, оценки которого изменяются во времени. Главная особенность спекулятивных рисков при увеличении неоп ределенностивозрастает не только сам риск, но и полезный эф фект, связанный с осуществлением риска, По месту возникновения следует учитывать следующие потен циальные риски: производственные, коммерческие, финансовые и рис ки, связанные с форс мажорными обстоятельствами. Производственные риски связаны с различными нарушениями в производственном процессе поставок сырья, материалов, комплектую щих изделий, оборудования. Как правило, мерами по снижению произ водственных рисков являются жесткий контроль за ходом производст венного процесса и усиление влияния на поставщиков путем диверси фикации и дублирования поставщиков ресурсов и другие меры.
Коммерческие риски связаны с реализацией продукции на товар ных рынках (уменьшение размеров и емкости рынков, снижение плате жеспособного спроса, усиление конкуренции и т. п. ). Меры по снижению коммерческих рисков: • мониторинг конъюнктуры рынка; • создание дилерской сети; • создание сети сервисного обслуживания; • грамотная ценовая политика; • формирование общественного мнения (паблик рилейшн) и соз дание собственного фирменного стиля; • реклама и т. д. Финансовые риски вызываются инфляционными процессами, всеобщими неплатежами, колебаниями валютных курсов и др. Их мож но снизить путем создания системы эффективного финансового ме неджментана предприятии, работы с дилерами на условиях предоплаты и т. д. Форс-мажорные риски это риски, обусловленные непредви денными обстоятельствами. Мерой по их снижению является работа предприятия с достаточно высоким запасом финансовой прочности. Для снижения степени влияния рисков на эффективность предпри ятия необходимо предусмотреть в бизнес плане коммерческое страхова ние по действующим системам (страхование имущества, транспортных перевозок, рисков, заложенных в контрактах на заключаемые сделки, пе рестрахование и др. ).
Вероятность каждого типа рисков и убытки, вызываемые ими раз личны, поэтому их необходимо прогнозировать и по возможности рас считывать. Методы расчета рисков: • экспертные; • статистические; • экономические (анализ безубыточности, анализ чувствительности проекта, сценарный анализ и др. ). Эти методы достаточно хорошо освещены в экономической литературе. Наиболее часто для оценки риска используется метод безубыточ ности на основе которого осуществляется моделирование риска. В табл. представлен результат возможного моделирования риска на основе известных в литературе рекомендаций по оценке риска.
Надёжность и риск проекта Отношение производственной мощности к точке безубыточности Характеристика надежности бизнеса (отраслевая) Характеристика уровня риска Рекомендуемая поправочная норма ставки дисконтирования с учетом риска <8 >=6 <6 >=4, 2 <4, 2 >=3, 0 <3, 0 >2, 5 <2, 5 >2, 0 <2, 0 >1, 7 <1, 7 сверх надеж ный высоко надежный достаточно надежный мало надежный ненадежный безнадежный практически отсутствует незначительный малый ниже среднего существенный низко надежный значите ль ный высо кий сверхвысокий 0, 03 0, 05 0, 17 0, 25 0, 33 0, 4 0, 5 >=8
Для большинства проектов рекомендуется построение более сложной модели, например модели роста для установления зависимости итоговых показателей эффективности проекта (NPV, IRP, PI) от изменения следующих факто ров: инвестиционных затрат; объёма производства; издержек сбыта; величины заёмных средств; процента за кредит; прогнозов общего индекса инфляции; прогнозов индекса цен; задержки платежей; длительности расчётного периода.
Если проведении расчетов затруднительно установление пре делов изменения параметров, то рекомендуется провести расчеты для следующих ситуаций: • увеличение на 20 % производственных издержек; • увеличение на 30 % издержек на единицу продукции; • увеличение на 30 % издержек на сбыт; • уменьшение объема выручки на 80 %; • увеличение на 100 % времени задержек платежей за продукцию, поставляемую без предоплаты; • увеличение процента за кредит на 20 % от проектного значения; • увеличение объема инвестиций на 20 %. Составление бизнес плана заканчивается написанием сопроводи тельного письма (на одной странице), в котором указывается: • полное название инвестора; • ф. и. о. того, к кому обращено письмо; • на фирменном бланке и очень красивой бумаге; • со своими полными реквизитами; • ф. и. о. того, кто писал письмо; • кратко изложить просьбу ознакомиться с бизнес планом; • просьба о конфиденциальности. После выполнения указанных процедур бизнес план предоставляется потенциальному инвестору.
Презентация_30.10.2012.ppt