ТО 6. Расчёт элемент. зажимн. устр.ppt
- Количество слайдов: 42
Расчёт элементарных зажимных устройств Смагин А. С. 2011 1
Рычажный механизм Особенности: 1. Простота конструкции; 2. Постоянство силы зажима; 3. Удобство эксплуатации; 4. Надежность; 5. Возможность закрепления заготовки в труднодоступном месте; Смагин А. С. 2011 2
Приспособление с рычажным зажимом Смагин А. С. 2011 3
Установочно-зажимное приспособление с рычажным зажимом Смагин А. С. 2011 4
Конструкции рычагов в приспособлениях Смагин А. С. 2011 5
Расчет рычажного механизма Условие равновесия рычажного механизма: (1) Смагин А. С. 2011 6
Сумма моментов относительно т. О: (2) Из рисунка определяем: - сила трения между рычагом и деталью; - сила трения между рычагом и плунжером; - сила трения в шарнире рычага, f 3=0, 18… 0, 20. Смагин А. С. 2011 7
Подставим полученные силы трения в формулу (2): (3) Подставим в формулу (3) значение параметра N из формулы (1): Смагин А. С. 2011 8
Смагин А. С. 2011 9
Резьбовой зажим Особенности: 1. Просты; 2. Компактны; 3. Надежны в работе. Применяются: 1. в приспособлениях с ручным закреплением заготовки; 2. в приспособлениях механизированного типа; автоматических линиях при использовании приспособлений-спутников. Смагин А. С. 2011 10
Конструкции резьбовых зажимов Смагин А. С. 2011 11
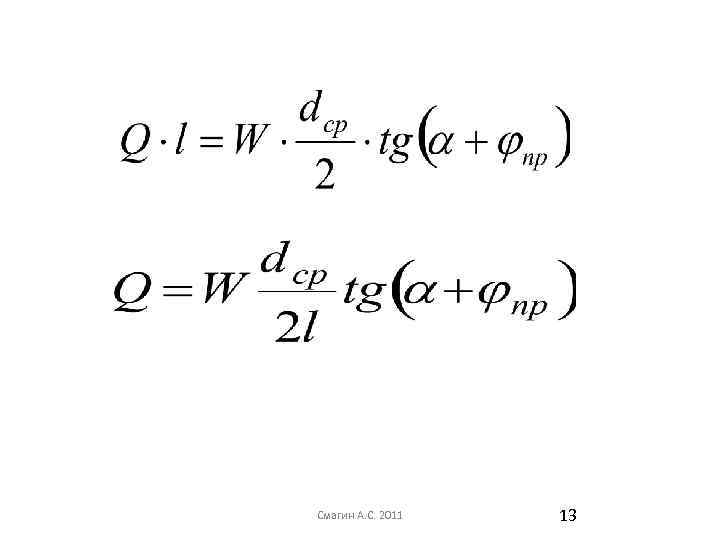
Расчет резьбового зажима dср – средний диаметр резьбы α – угол подъема резьбы; t – шаг резьбы; f – коэффициент трения на плоскости; β – половина угла при вершине профиля витка резьбы. Для треугольной резьбы β=30˚, для трапециидальной резьбы β=15˚. Смагин А. С. 2011 12
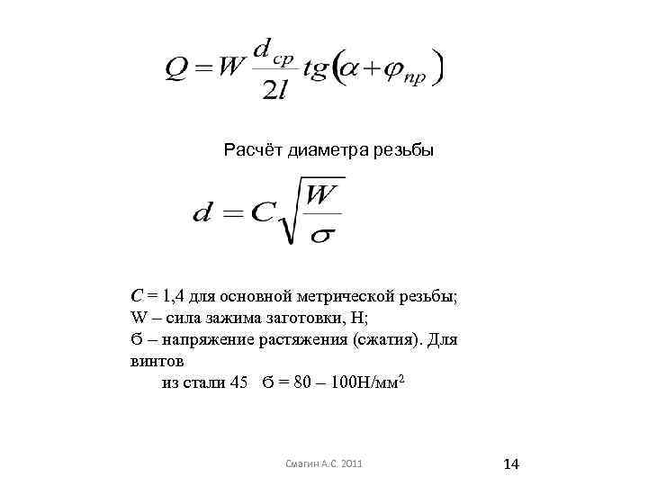
Смагин А. С. 2011 13
Расчёт диаметра резьбы С = 1, 4 для основной метрической резьбы; W – сила зажима заготовки, Н; Ϭ – напряжение растяжения (сжатия). Для винтов из стали 45 Ϭ = 80 – 100 Н/мм 2 Смагин А. С. 2011 14
Клиновой зажим Особенности: 1. Прост в изготовлении; 2. Компактен; 3. Легко размещается в приспособлении; 4. Позволяет увеличивать исходное усилие; 5. Позволяет изменить направление исходного усилия. Смагин А. С. 2011 15
Приспособление с клиновым зажимом Смагин А. С. 2011 16
Расчет клинового зажима Q – исходное усилие; W – сила зажима; F – сила трения; N – реакция опоры; P – сила обратного действия; α – угол наклона клина. Смагин А. С. 2011 17
Условия равновесия клина: (1) Из рисунка определяем: (2) (3) Подставляем найденные параметры в формулу (1): Смагин А. С. 2011 18
Смагин А. С. 2011 19
Эксцентриковый зажим Особенности: 1. Быстродействующие; 2. Обладают свойством самоторможения; 3. Сила зажима невелика; 4. Сила зажима зависит от колебания расстояния между эксцентриком и заготовкой. Смагин А. С. 2011 20
Рычажно-эксцентриковый зажим Смагин А. С. 2011 21
Конструкции кулачков в приспособлениях Смагин А. С. 2011 22
Расчет эксцентрикового зажима е – эксцентриситет R – радиус эксцентрика; ρ – радиус вращения эксцентрика; l - расстояние от линии приложения усилия до оси вращения эксцентрика Смагин А. С. 2011 23
Развёртка эксцентрика Смагин А. С. 2011 24
Условия равновесия эксцентрика: (1) Из рисунка определяем: Подставим полученную силу трения в формулу (1): Смагин А. С. 2011 25
ρ – расстояние от оси вращения эксцентрика до точки соприкосновения эксцентрика с зажимаемой поверхностью; R – радиус эксцентрика; β – угол поворота эксцентрика при зажима детали; е - эксцентриситет; α – угол подъёма эксцентрика Смагин А. С. 2011 26
Г - образный прихват (ГОСТ 14733 -69). Особенности: 1. Конструкция Г-образного прихвата обеспечивает автоматический поворот зажимного элемента в рабочее положение и его отвод в исходное положение до упоров действием момента закрепления. 2. По закону силовых треугольников, равнодействующие N приложены к прихвату на расстоянии, равном H/3 от вершины треугольника. Смагин А. С. 2011 27
Г – образные прихваты Т – образный прихват Смагин А. С. 2011 28
Г – образный прихват Смагин А. С. 2011 29
Приспособление с Г-образными прихватами Смагин А. С. 2011 30
Расчёт Г-образного прихвата Схема сил и моментов, действующих на прихват Смагин А. С. 2011 31
Расчёт Г-образного прихвата Уравнение равновесия сил на ось прихвата: 1 2 Уравнение моментов сил, действующих на прихват относительно точки О: 3 Смагин А. С. 2011 32
1 Система уравнений 3 Из уравнения 3: В уравнение 2: Смагин А. С. 2011 33
После подстановки всех значений в уравнение 1: Окончательный вид уравнения: Смагин А. С. 2011 34
Рычажно-клиновой зажим 1 – заготовка, 2 – рычаг, 3 – плунжер, 4 – клин, 5 – пневмоцилиндр. Смагин А. С. 2011 35
Расчет комбинированного зажима: • На клиновой механизм (4) воздействует шток пневмоцилиндра (5) с усилием Q. Клин толкает плунжер (3) с силой Q 1. - формула для клинового механизма с роликами на опорах. Из этой формулы выразим Q 1 • Через плунжер сила Q 1 воздействует на рычаг. Для рычага составляем уравнение моментов относительно т. O. Смагин А. С. 2011 36
Подставляем в формулу значение параметра Q 1: Смагин А. С. 2011 37
Рычажно-эксцентриковый зажим 1 – заготовка, 2 – рычаг, 3 – эксцентрик, 4 – пневмоцилиндр. Смагин А. С. 2011 38
Расчет комбинированного зажима: • На эксцентрик (3) воздействует пневмоцилиндр (4) с усилием Q. Эксцентрик толкает рычаг (2) с силой Q 1 - Формула для эксцентрикового зажима. • Для рычага составляем уравнение моментов относительно т. O: Смагин А. С. 2011 39
Подставляем в формулу значение параметра Q 1: Смагин А. С. 2011 40
Контрольное задание Задание: Рассчитать силу зажима заготовки в буквенном выражении Смагин А. С. 2011 41
Литература: 1. Ансёров М. А. Приспособления для металлорежущих станков. М. : Машиностроение, 1975. – 656 с. 2. Станочные приспособления: Справочник. В 2 -х т. /Ред. совет: Б. Н. Вардашкин (пред. ) и др. – М. : Машиностроение, 1984. – Т. 1 /Под ред. Б. Н. Вардашкина, А. А. Шатилова, 1984. 592 с. , ил. 3. Горошкин А. К. Приспособления для металлорежущих станков: Справочник. – М. : Машиностроение, 1979. – 303 с. Смагин А. С. 2011 42


