9. Расчет напорных гидротехнических тоннелей.ppt
- Количество слайдов: 5
Расчет напорных гидротехнических тоннелей Напорные гидротехнические тоннели работают на все сечение, поэтому их рассчитывают на внутреннее давление жидкости. Это давление дает растягивающие усилия, поэтому при больших напорах воды обделки выполняют комбинированными: ПР: ж. б. ; металлобетон В последней конструкции металлическая обечайка воспринимает растягивающие усилия. нормальная сила (растягивающая) Обделкам напорных гидротехнических тоннелей, как правило, придают круглое очертание, как наиболее рациональное для восприятия внутренних давлений. В основе расчета таких конструкций с учетом упругого отпора породы лежит решение Галеркина. Рассмотрим упрощенный метод расчета комбинированных конструкций: В основе этого метода лежит приведение многослойной обделки к однослойной, имеющей единый модуль деформации Е. Этот приведенный модуль деформаций зависит от количества слоев материала обделки и определяется по формуле: модуль упругости и толщина i-го слоя многослойной обделки
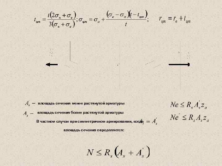
Зная величины Е и t можно определить приведенные напряжения на любом расстоянии r от оси тоннеля как для однослойной конструкции А – фактор упругих характеристик системы «обделка – породный массив» модуль упругости бетонной или ж. б. обделки коэффициент Пуассона коэффициент удельного упругого отпора породы цилиндрической выработки с радиусом rн = 1 м Переход к расчетным напряжениям в каждом i-ом слое на расстоянии r от оси тоннеля определяется: Далее строят эпюру напряжений по сечению. Нормальная сила будет: После определения растягивающей силы N приступают к проектированию конструкции. Если обделки ж. б. , то:
площадь сечения менее растянутой арматуры площадь сечения более растянутой арматуры В частном случае при симметричном армировании, когда площадь сечения определяется:
Задача Ламе о распределении напряжений в полом цилиндре, подверженном внутреннему равномерному давлению
9. Расчет напорных гидротехнических тоннелей.ppt