bc9a58240f44c647f6c85cef5f9ef2dc.ppt
- Количество слайдов: 49
RADIATION DAMAGE IN BIOMOLECULAR SYSTEMS Proton impact on biomolecules and on clusters of biomolecules DNA CLUSTER OF NUCLEOTIDES AND WATER Effets des rayonnements ionisants à l’échelle moléculaire THE GOALS SWIFT PROTON The velocity of the protons corresponds to the Bragg peak (Protontherapy) The main objective isto study the irradiation of cellular materials and to provide, in a comprehensive manner, missing information about the molecular pathways that lead from initial deposition of energy to base modification and strand breaks in DNA. Impacts de protons rapides sur des agrégats de molécules biologiques
Groupe Interactions Particules-matière Bruno Coupier, Doctorant , bourse européenne, thèse en cotutelle Jean Tabet, Etudiant en DEA Bernadette Farizon, Chargée de Recherche au CNRS, Hdr Michel Farizon , Maître de conférences, Hdr Visiteurs étrangers : Saïd Ouaskit, Tilmann Märk
RADIATION DAMAGE IN BIOMOLECULAR SYSTEMS Proton impact on biomolecules and on clusters of biomolecules DNA CLUSTER OF NUCLEOTIDES AND WATER THE GOALS SWIFT PROTON The velocity of the protons corresponds to the Bragg peak (Protontherapy) The main objective isto study the irradiation of cellular materials and to provide, in a comprehensive manner, missing information about the molecular pathways that lead from initial deposition of energy to base modification and strand breaks in DNA.
Agrégats Biomolécules en phase gazeuse GDR « Agrégats : Dynamique et Réactivité » 2000 -2004 Trois thématiques émergentes : - Thermodynamique des agrégats - Spectrométrie de masse et biomolécules - Chimie et réactivité Nouveau cycle de Conférences Européennes et Gordon Conférences Issue spéciale de l’European Journal Phys. D 2002 Mise en place de collaborations locales, nationales et internationales à partir du projet lyonnais Organisation de deux ateliers : Radiobiologie “Regards de physiciens sur des systèmes moléculaires d'intérêt biologique” 5 et 6 Juin 2000 à l’IPNL “Spectrométrie de masse appliquée aux biomolécules” 3 Juillet 2000 à l’IPNL
Dommages radio-induits dans la matière biologique Enjeux des études à l’échelle moléculaire Quelles études ? L’enjeu principal est de faire le lien entre les développements récents de l’étude des molécules biologiques en phase gazeuse et la radiobiologie. Mesures sur des molécules isolées Il est possible d’isoler en phase gazeuse des bases de l’ADN ou de l’ARN mais aussi des nucléotides, des fragments d’ADN ou d’autres éléments de la matière biologique. Ceci permet d’apporter des informations quantitatives sur les premières étapes de l’action des rayonnements ionisants. Mesures sur des agrégats de molécules biologiques et de molécules d’eau Il s’agit d’associer les développements de la physique des agrégats à ceux de l’étude des molécules biologiques en phase gazeuse. Il est possible de produire et de caractériser en laboratoire des agrégats de molécules biologiques entourées d’un nombre donné de molécules d’eau. L’enjeu est de comprendre l’interaction entre les molécules sous l’action des rayonnements ionisants.
Dommages radio-induits dans la matière biologique Enjeux des études à l’échelle moléculaire Pourquoi de telles études? De la physique appliquée : Données pour les simulations : mesure de sections efficaces absolues, caractérisation des gerbes d’ionisation, étude de l’émission d’électrons, de la production de radicaux libres, etc. . . L’utilisation des techniques récentes permet la mesure de nombreuses grandeurs nécessaires pour augmenter la fiabilité des simulations. Ces mesures constitueront un point d’appui solide pour l’identification des mécanismes dominants. Mise en évidence des mécanismes Contribuer à l’identification des mécanismes dommages radio-induits et à la compréhension de l’action de certaines molécules sur la radiosensibilité. Des développements liés aux fondements de la physique : Dynamique des systèmes complexes et physique statistique Les macromolécules et les agrégats de molécules constituent des systèmes modèles liés aux développements récents de la chimie quantique et à ceux de la physique statistique des systèmes de taille finie.
RADIATION DAMAGE IN BIOMOLECULAR SYSTEMS Proton impact on biomolecules and on clusters of biomolecules DNA Expériences sur les molécules isolées - impact de protons (20 -150 ke. V) - impact d’atomes d’hydrogène (20 -150 ke. V) CLUSTER OF NUCLEOTIDES - impact d’électrons (0 -300 e. V) AND WATER THE GOALS SWIFT PROTON The velocity of the protons corresponds to the Bragg peak (Protontherapy) Expériences sur les agrégats de biomolécules The main objective isto study the irradiation of cellular materials and to provide, in a comprehensive manner, missing information about the molecular pathways that lead from initial deposition of energy to base modification and strand breaks in DNA.
RADIATION DAMAGE IN BIOMOLECULAR SYSTEMS Proton impact on biomolecules and on clusters of biomolecules DNA CLUSTER OF NUCLEOTIDES AND WATER THE GOALS SWIFT PROTON The velocity of the protons corresponds to the Bragg peak (Protontherapy) The main objective isto study the irradiation of cellular materials and to provide, in a comprehensive manner, missing information about the molecular pathways that lead from initial deposition of energy to base modification and strand breaks in DNA. Expériences sur les molécules isolées
RADIATION DAMAGE IN BIOMOLECULAR SYSTEMS Proton impact on biomolecules and on clusters of biomolecules Impacts de protons sur des molécules d’eau DNA CLUSTER OF NUCLEOTIDES AND WATER THE GOALS SWIFT PROTON The velocity of the protons corresponds to the Bragg peak (Protontherapy) The main objective isto study the irradiation of cellular materials and to provide, in a comprehensive manner, missing information about the molecular pathways that lead from initial deposition of energy to base modification and strand breaks in DNA.
DISPOSITIF EXPERIMENTAL : MOLECULE ISOLEE Multi-coincidence measurements
Ionisation de molécules d’eau par impact de proton (20 -150 ke. V) Une molécule d’eau peut être ionisée par : - ionisation directe: H+ + (H 2 O) H+ + (H 2 O+)* + e - ionisation avec capture d’un électron par le proton H+ + (H 2 O) H + (H 2 O+)* XSimple ionisation : (H 2 O+)* XDouble ionisation H 2 O+ H* + OH* + H+ O+ + H* ion parent ions produits
Spectre de masse des ions produits par impact de proton sur des molécules d’eau • En haut : en coïncidence avec un projectile neutralisé, H 0 Capture d’un électron • En bas : en coïncidence avec un projectile sans changement d’état de charge, H+ Ionisation directe
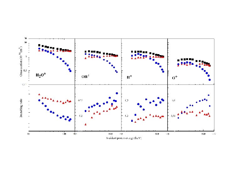
Sections efficaces partielles d’ionisation de l’eau induite par impact de proton (20 -150 ke. V)
Ionisation de molécules d’eau par impact de proton (20 -150 ke. V) • • • Section efficace totale d’ionisation Ionisation directe H+ + H 2 O H+ + (H 2 O +)*+ 2 e. Ionisation avec capture d’un électron par le proton H+ + H 2 O H + (H 2 O +)* + e-
RADIATION DAMAGE IN BIOMOLECULAR SYSTEMS Proton impact on biomolecules and on clusters of biomolecules DNA CLUSTER OF NUCLEOTIDES AND WATER THE GOALS SWIFT PROTON The velocity of the protons corresponds to the Bragg peak (Protontherapy) The main objective isto study the irradiation of cellular materials and to provide, in a comprehensive manner, missing information about the molecular pathways that lead from initial deposition of energy to base modification and strand breaks in DNA. Impacts d’atomes d’hydrogène sur des molécules d’eau
DISPOSITIF EXPERIMENTAL : MOLECULE ISOLEE H° Multi-coincidence measurements
Sections efficaces partielles d’ionisation de l’eau induite par impact d’atome d’hydrogène (20 -150 ke. V)
Ionisation de molécules d’eau par impact de d’atome d’hydrogène(20 -150 ke. V) • • • Section efficace totale d’ionisation Ionisation sans perte d’électron par le projectile H + H 2 O H+ + (H 2 O +)* + 2 e. Ionisation avec perte d’électron par le projectile H + H 2 O H + (H 2 O +)* + e-
Processus d’échange de charge H+ H s 10 Neutralisation d’un faisceau de protons H H+ s 01 Ionisation d’un faisceau de neutres s 01 s 10 • Capture d’un électron par le projectile H+ + H 2 O H + (H 2 O +)* s 10 • Perte d’un électron par le projectile H + H 2 O H+ + (H 2 O +)* s 01
Ionisation de molécules d’eau par impact de proton ou d’atome hydrogène: sections efficaces totales d’ionisation l lll l l l (H+ et H 0) : la proportion relative est calculée pour l’équilibre de charge (section efficace d’échange de charge)
RADIATION DAMAGE IN BIOMOLECULAR SYSTEMS Proton impact on biomolecules and on clusters of biomolecules Impacts de protons sur l’uracile (une base de l’ARN) DNA CLUSTER OF NUCLEOTIDES AND WATER THE GOALS SWIFT PROTON The velocity of the protons corresponds to the Bragg peak (Protontherapy) The main objective isto study the irradiation of cellular materials and to provide, in a comprehensive manner, missing information about the molecular pathways that lead from initial deposition of energy to base modification and strand breaks in DNA.
DISPOSITIF EXPERIMENTAL : MOLECULE ISOLEE Multi-coincidence measurements
Ionisation de molécules d’uracile par impact de proton (20 -150 ke. V) La molécule d’uracile peut être ionisée par - ionisation directe H+ + (C 4 H 4 N 2 O 2) H+ + (C 4 H 4 N 2 O 2 +)* + e - ionisation avec capture d’un électron par le proton H+ + (C 4 H 4 N 2 O 2) H + (C 4 H 4 N 2 O 2 +)*
Ionisation de molécules d’uracile par impact de proton (20 -150 ke. V) Spectre de masse des ions chargés issus de l’uracile Energie du proton incident 80 ke. V
Spectres de masse des ions chargés issus de l’uracile Fragments chargés de l’uracile en coïncidence avec un H+ Fragments chargés de l’uracile en coïncidence avec un H 0
RADIATION DAMAGE IN BIOMOLECULAR SYSTEMS Proton impact on biomolecules and on clusters of biomolecules Impacts d’électrons DNA sur l’uracile CLUSTER OF NUCLEOTIDES AND WATER THE GOALS SWIFT PROTON The velocity of the protons corresponds to the Bragg peak (Protontherapy) The main objective isto study the irradiation of cellular materials and to provide, in a comprehensive manner, missing information about the molecular pathways that lead from initial deposition of energy to base modification and strand breaks in DNA.
Dispositif expérimental : Institut für Ionenphysik Collaboration Lyon/innsbruck
RADIATION DAMAGE IN BIOMOLECULAR SYSTEMS Proton impact on biomolecules and on clusters of biomolecules Ionisation par Impact d’électrons sur l’uracile DNA Comparaison avec l’ionisation par impact de protons CLUSTER OF NUCLEOTIDES AND WATER THE GOALS SWIFT PROTON The velocity of the protons corresponds to the Bragg peak (Protontherapy) The main objective isto study the irradiation of cellular materials and to provide, in a comprehensive manner, missing information about the molecular pathways that lead from initial deposition of energy to base modification and strand breaks in DNA.
Collisions H+/e- sur Uracile PRL 86, 3751 (2001) EPJD 20, 459 -468 (2002)
RADIATION DAMAGE IN BIOMOLECULAR SYSTEMS Proton impact on biomolecules and on clusters of biomolecules Attachement d’électrons sur l’uracile DNA CLUSTER OF NUCLEOTIDES AND WATER THE GOALS SWIFT PROTON The velocity of the protons corresponds to the Bragg peak (Protontherapy) The main objective isto study the irradiation of cellular materials and to provide, in a comprehensive manner, missing information about the molecular pathways that lead from initial deposition of energy to base modification and strand breaks in DNA.
Phys. Rev. Lett. À paraître (2003)
RADIATION DAMAGE IN BIOMOLECULAR SYSTEMS Proton impact on biomolecules and on clusters of biomolecules DNA Expériences sur les agrégats de biomolécules CLUSTER OF NUCLEOTIDES AND WATER THE GOALS SWIFT PROTON The velocity of the protons corresponds to the Bragg peak (Protontherapy) The main objective isto study the irradiation of cellular materials and to provide, in a comprehensive manner, missing information about the molecular pathways that lead from initial deposition of energy to base modification and strand breaks in DNA.
Structure des Agrégats d’Uracile et d’Eau
Les collaborations RADIATION DAMAGE IN BIOMOLECULAR SYSTEMS Proton impact on biomolecules and on clusters of biomolecules T. D. Märk et collaborateurs, AUTRICHE Impact d’électrons sur des biomolecules DNA M. C. Bacchus et collaborateus, FRANCE Chimie quantique CLUSTER OF NUCLEOTIDES AND WATER A. Bordenave et collaborateurs, FRANCE Emission d’électrons après impact de protons THE GOALS SWIFT PROTON A. Vandenberghe, FRANCE, laboratoire de génétique moléculaire et humaine The main objective isto study the irradiation of cellular materials and to provide, in a comprehensive manner, missing information about the molecular pathways that lead from initial deposition of energy to base modification and strand breaks in DNA. L. Sanche CANADA, Radiobiologie The velocity of the protons corresponds to the Bragg peak (Protontherapy) Ce travail est fortement connecté à l’Action COST P 9 « Radiation damage in biomolecular systems »
A European Concerted Research Action Designated as COST Radiation damage in biomolecular systems The main objective of the Actions is to obtain a detailed understanding of the fundamental interaction processes for different types of incident radiation that occur from the initial deposition of radiative energy to the formation of radiation damage in biological material. History of the COST Proposal The proposed action has been developed following two one-day meetings – the first held on March 19, 2001, in the Institute of Radiation Protection of GSF – the second as part of the Symposium on radiation action on bio-molecules at the 13 th International Symposium on Atomic and Surface Physics in Going ( February 17 th 2002). These meetings also led to the establishment of informal research links between many of the research teams listed below. It is also anticipated that arising from these discussions a formal application for a ‘Integrated project in the EU Framework VI programme will be submitted in 2003. COST : European COoperation in the field of Scientific and Technical Research
List of Experts : Agreed Participants of this Cost Action Austria. Pr Tilmann MÄRK Institut für Ionenphysik, Leopold Franzens Universität, Innsbruck Belgium Pr Nathalie VAECK Lab. Chimie Physique Moleculaire, Universite Lib de Bruxelles Denmark Pr David FIELD Institute for Physics and Astronomy, University of Aarhus France Dr Michel FARIZON Institut de Physique Nucléaire de Lyon, Université de Lyon 1 Dr Michèle DESOUTER-LECOMTE Université de Paris-sud Dr Marie-Christine BACCHUS-MONTABONEL Université de Lyon I Germany Pr Herwig PARETZKEInst. Radiation Protection, GSF Neuherberg, München Pr Clemens VON SONNTAG MPI Radiation Chemistry Mülheim Israel Pr Chava LIFSHITZ Institute of Chemistry, Hebrew University of Jerusalem The Netherlands Pr Reinhard MORGENSTERN KVI Atomic Physics, Rijksuniversiteit Groningen Slovakia Dr Stefan MATEJCIK Dept. Plasma Physics, Comenius University, Bratislava Spain Dr Gustavo GARCIA CIEMAT, Avenida Complutense 22, 28040 Madrid, Spain United Kingdom Pr Nigel J MASON Dept of Physics and Astronomy, University College London Pr R W Mc. CULLOUGH Dept. of Physics, The Queen's University of Belfast Dr Barry MICHAEL Gray Cancer Institute, Mount Vernon Hospital
RAdiation Induced DAMage in Biomolecular Systems An Expression of interest for an Integrated project under EU Framework VI In this proposed Integrated Project we plan to assemble an internationally pre-eminent team of researchers to study (in accord with the Thematic theme 2. 3. 2 on Radiation protection) the irradiation of cellular materials and to provide, in a comprehensive manner, missing information about the molecular pathways that lead from initial deposition of radiative energy to base modification and strand breaks in DNA.
Cellular and molecular biology research on the effects of low and protracted doses Different scales Damage in Biomolecular systems Isolated biomolecules (water, d nucleotides bases, sugars, DNA) Molecular clusters Cellular material Tissues Quantitative data for simulations Dissociation dynamics Identification of mechanisms Track simulation
Les collaborations RADIATION DAMAGE IN BIOMOLECULAR SYSTEMS Proton impact on biomolecules and on clusters of biomolecules T. D. Märk et collaborateurs, AUTRICHE Impact d’électrons sur des biomolecules DNA M. C. Bacchus et collaborateus, FRANCE Chimie quantique CLUSTER OF NUCLEOTIDES AND WATER A. Bordenave et collaborateurs, FRANCE Emission d’électrons après impact de protons THE GOALS SWIFT PROTON A. Vandenberghe, FRANCE, laboratoire de génétique moléculaire et humaine The main objective isto study the irradiation of cellular materials and to provide, in a comprehensive manner, missing information about the molecular pathways that lead from initial deposition of energy to base modification and strand breaks in DNA. L. Sanche CANADA, Radiobiologie The velocity of the protons corresponds to the Bragg peak (Protontherapy) Ce travail est fortement connecté à l’Action COST P 9 « Radiation damage in biomolecular systems »
bc9a58240f44c647f6c85cef5f9ef2dc.ppt